Kontroly zaúčtování
Pro kontrolu a návaznost účetnictví na prvotní doklady se v IS K2 používají funkce kontrol zaúčtování a sestavy křížových kontrol.
Kontrola zaúčtování pohledávek, závazků a plateb
Po zaúčtování faktur, ostatních závazků a pohledávek, bankovních výpisů, pokladních a interních dokladů zkontrolujeme pomocí funkce Kontrola zaúčtování pohledávek, závazků a plateb, zda jsou tyto doklady správně zaúčtovány.
Kontrola respektuje doplňující filtry pro knihu Nezaúčtováno nastavené ve Správě multi company.
Funkci Kontrola zaúčtování pohledávek, závazků a plateb spustíme ze stromového menu Účetnictví - Kontroly zaúčtování. Zobrazí se formulář funkce, ve kterém v pravém panelu (náhledu záznamu) zadáme:
- Doklady - typy dokladů, které chceme zkontrolovat (můžeme označit vybrané),
- Účty - výběr sběrných i analytických účtů z účetního rozvrhu. Pokud je nějaký účet zadán, kontrola se provede jen pro zadané účty, při zadání sběrného účtu se zkontrolují všechny podřízené analytiky.
- Od data, Do data (po spuštění se nabízí minulý měsíc),
- Minimální rozdíl,
- Kontrolovat
- pokud je zatrženo, mezi chybami se zobrazí i zaúčtované doklady s nulovým rozdílem, které byly po zaúčtování změněny (mají příznak
).
Po spuštění funkce Zkontrolovat zaúčtování proběhne kontrola zaúčtování na označených typech dokladů a v případě zadaných účtů, jen u těchto účtů.
Doklady s chybou se zobrazí ve formuláři.

Obr.: Kontrola zaúčtování pohledávek, závazků a plateb
V tabulce Kontroly zaúčtování pohledávek, závazků a plateb jsou na řádcích zobrazeny Typy dokladů, Prvotní doklady, Účty, na které jsou zaúčtovány, Částky, Datum. Dále jsou zobrazeny Účetní doklady. Ve výsledcích kontroly se zobrazují doklady, které jsou zaúčtovány na jiný účet, než by měly být, doklady, na kterých je částka na prvotním dokladu jiná než na účetním dokladu, doklady, které mají jiné Datum úč. případu než je na účetním dokladu. Pokud jsou všechny doklady zaúčtovány správně, je formulář prázdný.
Ve formuláři můžeme spustit funkce:
- Prvotní doklad (F7) - zobrazí se prvotní doklad,
- Účetní doklad (F8) - zobrazí se účetní doklad,
- Kontejner prvotních dokladů (Shift + F7) - zobrazí se kontejner prvotních dokladů (pokud je ve formuláři nastaveno pravítko např. na vydané faktuře, zobrazí se kontejner vydaných faktur),
- Kontejner účetních dokladů (Shift + F8) - zobrazí se kontejner účetních dokladů,
- Funkce a tisk (F9) - lze vytisknout sestavu Kontrola zaúčtování pohledávek, závazků a plateb (CHECKRELATIONSPAYMENTS_LIST.AM),
- Zaplánovat (záložka Systém) - Kontrola zaúčtování pohledávek, závazků a plateb se zařadí do plánovaných akcí.
Kontrola zaúčtování záloh a plateb
Zkontrolujeme, zda ve sledovaném období jsou v K2 nedoplacené nebo přeplacené zálohy. Nad knihou přijatých a poskytnutých záloh spustíme filtr Nedoplacené/Přeplacené zálohy. Nedoplacené a přeplacené zálohy je třeba upravit dle výše platby (pomocí funkce Alt+Shift+F3).
Po zaúčtování záloh, jejich plateb a faktur, na kterých jsou zálohy čerpány, zkontrolujeme pomocí funkce Kontrola zaúčtování pohledávek, závazků a plateb, zda jsou všechny tyto doklady správně zaúčtovány (popis funkce je v předchozí kapitole).
Záloha se účtuje až po zaplacení - zaúčtovaná nezaplacená záloha se zobrazuje jako chyba.
Kontrola zaúčtování DPH
Zaúčtování DPH kontroluje funkce Kontrola zaúčtování DPH. Tato funkce zkontroluje zaúčtování DPH na dokladech aktuální firmy mandanta na základě Nastavení účtování DPH (funkci s nastavením lze spustit ze stromového menu Účetnictví - Základní nastavení účetnictví).
Kontrola respektuje také doplňující filtry pro knihu Nezaúčtováno nastavené ve Správě multi company.
Funkci Kontrola zaúčtování DPH spustíme ze stromového menu Účetnictví - Kontroly zaúčtování. Zobrazí se formulář funkce, ve kterém v pravém panelu (náhledu záznamu) zadáme:
- Doklady - typy dokladů, které chceme zkontrolovat (můžeme označit vybrané),
- Účty - výběr sběrných i analytických účtů z účetního rozvrhu. Pokud je nějaký účet zadán, kontrola se provede jen pro zadané účty, při zadání sběrného účtu se zkontrolují všechny podřízené analytiky.
- Od data, Do data (po spuštění se nabízí minulý měsíc),
- Minimální rozdíl,
- Kontrolovat
- pokud je zatrženo, mezi chybami se zobrazí i zaúčtované doklady s nulovým rozdílem, které byly po zaúčtování změněny (mají příznak
), - Kontrolovat dle data UZP, pokud je zatrženo, prvotní doklady se filtrují zároveň dle data UZP (pro kontrolu dokladů, které mají v daném měsíci v DPH),
- Kontrolovat zaúčtování DPH pro typ daně nezařazený do DPH a OSS - pokud je zatrženo, mezi chybami se zobrazí zaúčtované doklady, na kterých je u typu daně, který nevstupuje do přiznání k DPH, nenulová částka DPH (týká se typů daní N, NT, NI) a vyloučí se typy daně zadané v aktuální multi company v parametru OSS (OG, OS, OI, OM).
Po spuštění funkce Zkontrolovat zaúčtování DPH proběhne kontrola zaúčtování DPH na označených typech dokladů a v případě zadaných účtů, jen u těchto účtů.
Doklady s chybou se zobrazí ve formuláři.

Obr.: Formulář funkce Kontrola zaúčtování DPH
V tabulce Kontroly zaúčtování DPH jsou na řádcích zobrazeny Typy dokladů, Prvotní doklady, které mají být účtovány na účty DPH, Částky, Datum. Dále jsou zobrazeny Účetní doklady, které jsou na stejné účty účtovány. Ve výsledcích kontroly se zobrazují doklady, které jsou zaúčtovány na jiný účet, než by měly být, doklady, na kterých je částka na prvotním dokladu jiná než na účetním dokladu, doklady, které mají jiné Datum úč. případu než je na účetním dokladu, nebo doklady ke kterým neexistuje prvotní doklad nebo jeho položky. Pokud jsou všechny doklady zaúčtovány správně, je formulář prázdný.
Ve formuláři můžeme spustit funkce:
- Prvotní doklad (F7) - zobrazí se prvotní doklad,
- Účetní doklad (F8) - zobrazí se účetní doklad,
- Kontejner prvotních dokladů (Shift + F7) - zobrazí se kontejner prvotních dokladů (pokud je ve formuláři nastaveno pravítko např. na vydané faktuře, zobrazí se kontejner vydaných faktur),
- Kontejner účetních dokladů (Shift + F8) - zobrazí se kontejner účetních dokladů,
- Funkce a tisk (F9) - lze vytisknout sestavu Kontrola zaúčtování DPH (CHECKVAT_LIST.AM).
- Zaplánovat (záložka Systém) - Kontrola zaúčtování DPH se zařadí do plánovaných akcí.

Obr.: Sestava Kontrola zaúčtování DPH
Kontrola zůstatků účtů DPH
Pokud je Datum UZP vyplněno, vstupuje faktura, záloha a interní doklad do přiznání k DPH dle tohoto data. Pokud je Datum UZP nulové, doklad do přiznání k DPH nevstupuje. Do účetnictví vstupuje doklad vždy podle Data úč. případu.
Doklady, které mají datum účetního případu a datum UZP v různých obdobích, můžeme vyhledat pomocí sestavy Doklady s Datem účetního případu a UZP v různém období. Po spuštění sestavy zadáme kontrolované období. V 1. části sestavy se zobrazí doklady, které mají Datum úč. případu a nemají Datum UZP ve zvoleném období a jsou zaúčtovány na účet zadaný v parametru VatAccount (účet "343"). V 2. části se zobrazí doklady, které nemají Datum úč. případu a mají Datum UZP v období (a jsou zaúčtované na příslušný účet). V 3. části se zobrazí rekapitulace za jednotlivé analytické účty a vyčíslí se Rozdíl mezi částí 1 a 2. Tento Rozdíl představuje rozdíl mezi částkou DPH v účetnictví a v Přiznání k DPH. Prvotní doklady, zobrazené v sestavě, se vloží do kontejneru.

Obr.: Sestava Doklady s datem účetního případu a UZP v různém období
Pokud je ve funkci Nastavení účtování DPH zapnuto Automaticky přeúčtovat DPH uplatněné v jiném měsíci, pak se k dokladům, které se v sestavě zobrazily, automaticky vytvořily interní doklady s přeúčtováním DPH a částka DPH v účetnictví je shodná s částkou v Přiznání k DPH. Částka DPH neuplatněná v daném měsíci je v takovém případě na jiném účtu DPH (Saldo běžného měsíce).
Pokud je ve funkci Nastavení účtování DPH vypnuto Automaticky přeúčtovat DPH uplatněné v jiném měsíci, pak:
- K poslednímu dni zdaňovacího období přeúčtujeme interním dokladem (nebo obecným účetním dokladem) tyto částky z jednotlivých analytik na pomocný analytický účet pro DPH. Částky DPH v účetnictví pak budou odpovídat částkám v Přiznání k DPH.
- K prvnímu dni následujícího zdaňovacího období částky přeúčtujeme zpět (zkopírujeme interní doklad, který jsme vytvořili k poslednímu dni, pomocí kláves Ctrl+F3 otočíme znaménko na položkách, pomocí kláves Ctrl+D změníme Datum účetního případu na položkách).
Převedení zůstatků na účtech DPH
Číslo procesu: UCT033 |
Id. číslo skriptu: FUCT068 |
Soubor: ACC_BalanceVAT.PAS |
Popis skriptu: Převedení zůstatků na účtech DPH interním dokladem na účet zúčtování DPH s finančním úřadem. |
||
Adresa ve stromu: [Účetnictví][DPH][DPH] |
||
Parametry skriptu:
Bez parametrů. |
Po zaúčtování prvotních dokladů s DPH, kontrole zaúčtování DPH a přeúčtování částek DPH, které představují rozdíl mezi Přiznáním k DPH a částkami v účetnictví ve zvoleném období, spustíme funkci Převedení zůstatků na účtech DPH.
Funkci spustíme nad Hlavní knihou, ve které nastavíme Periodu do dle zvoleného období. Po odsouhlasení dotazu "Přejete si převést zůstatky účtů DPH?" se vytvoří interní doklad:
- pro každý účet z Nastavení účtování DPH aktuální firmy mandanta (část Účty DPH), se vytvoří položka interního dokladu (typ "VS") s částkou, která odpovídá zůstatku v Hlavní knize,
- pokud je zůstatek účtu DPH v Hlavní knize kladný, v poli Účet MD je Účet pro zúčtování plateb s FÚ (z parametru funkce) a v poli Účet D je účet DPH,
- pokud je zůstatek účtu DPH v Hlavní knize záporný, v poli Účet MD je účet DPH a v poli Účet D je Účet pro zúčtování plateb s FÚ, částka na položce je kladná,
- Datum úč. případu na položkách odpovídá poslednímu dni zvoleného období.
Interní doklad zaúčtujeme.
Pozn.: Před prvním spuštěním funkce je třeba nastavit parametry. Ve stromovém menu Účetnictví - Základní nastavení účetnictví - Nastavení účtování DPH v části Přeúčtování DPH nastavíme:
- Účet pro zúčtování plateb s FÚ - vybereme účet z Účetního rozvrhu,
- Kniha interních dokladů pro zúčtování - vybereme knihu interních dokladů (není třeba vytvářet samostatnou knihu, lze vybrat knihu s nastavenou kontací "O" - Obecný pohyb interního dokladu).
V části Účty DPH lze ve sloupci Účet pro zúčtování plateb s FÚ nastavit účet pro zúčtování konkrétního účtu DPH. Pokud je pole v tomto sloupci vyplněno, při spuštění funkce Převedení zůstatků na účtech DPH se přednostně převedou zůstatky na tento nastavený účet. Pokud nebude vyplněn Účet pro zúčtování plateb s FÚ v tomto poli u jednotlivých účtů DPH, dojde k přeúčtování dle nastaveného účtu pro zúčtování na záložce Přeúčtování DPH.
Křížové kontroly - „311 - Pohledávky“
Na účtu 311 - Pohledávky jsou zachycovány běžné pohledávky k zákazníkům, tedy vydané faktury, jejich platby a kurzové rozdíly. Pro využití křížových kontrol při práci s IS K2 je nutno zásadně účtovat nárůst pohledávek (vystavení vydané faktury) na straně Má dáti, a to včetně záporných částek v případě opravných daňových dokladů. Na straně Dal je zachycováno čerpání záloh na fakturách a úhrady pohledávek.
Na účtu 311 je obrat na straně Má dáti za určité období roven součtu celkových částek z vydaných faktur bez netto částek záloh čerpaných na těchto fakturách a kurzového zisku při platbě faktur a z přecenění nezaplacených faktur. Obrat na straně Dal je pak roven součtu všech plateb na vydané faktury, čerpání záloh za toto období a kurzové ztráty při platbě faktur a z přecenění nezaplacených faktur.
Vytištění saldokonta faktur vydaných k poslednímu dni kontrolovaného období se pak rovná zůstatku na účtu 311 (za podmínky, že byl odsouhlasen i počáteční stav pohledávek k tomuto kontrolovanému období).
V modulu Účetnictví v Hlavní knize nastavíme periody dle kontrolovaného období (klávesami Alt+F10). Najdeme příslušný pohledávkový účet. Zůstatek v Hlavní knize musí odpovídat zůstatku v sestavě Saldo faktur vydaných podle účtu.
311 - Kontrola zůstatku
Ověříme zůstatky na účtech 311.
Ze stromového menu v modulu Účetnictví - Kontroly zaúčtování vytiskneme sestavu Saldo FV podle účtu. Po spuštění sestavy nejprve zadáme datum konce kontrolovaného období a minimální rozdíl.
Saldo za jednotlivé účty v této sestavě se musí rovnat zůstatku na účtech v Hlavní knize v daném období.
311 - Kontrola Obratu Má dáti
Na fakturách vydaných vytvoříme filtr na potvrzené faktury, můžeme přidat podmínku na konkrétní účet. Vytiskneme sestavu KK Obrat MD faktur vydaných, do vstupního formuláře zadáme kontrolované období.
Sestava s nastaveným výběrem je zařazena ve stromovém menu Účetnictví - Kontroly zaúčtování - Kontrola obratu MD VF.
Částka Obrat MD celkem za jednotlivé účty v této sestavě se musí rovnat Obratu „Má dáti“ v sestavě Hlavní kniha - analytické účty. Pokud tomu tak není, v sestavě Hlavní kniha - analytické účty lze sledovat kumulaci Obratu Má dáti, který by měl při správném zaúčtování za každý den přesně odpovídat kumulaci obratu MD v sestavě KK Obrat MD faktur vydaných. V případě chyby účtování lze po dnech rychle nalézt chybu a tuto opravit.
311 - Kontrola Obratu Dal
Na fakturách vydaných vytvoříme filtr na potvrzené faktury, přidáme podmínku na konkrétní účet. Ze stromového menu Účetnictví - Kontroly zaúčtování spustíme sestavu Kontrola obratu D VF. Po spuštění sestavy ve vstupním formuláři zadáme datum podle kontrolovaného období a necháme zatrženou volbu Použít filtr faktur vydaných.

Obr.: Formulář sestavy Kontrola obratu D VF
Částka Celkem v této sestavě se musí rovnat Obratu „Dal“ v sestavě Hlavní kniha - analytické účty. Pokud tomu tak není, lze v sestavě Hlavní kniha - analytické účty sledovat kumulaci Obratu Dal, který by měl při správném zaúčtování za každý den přesně odpovídat kumulaci částky celkem v sestavě Kontrola obratu D VF. V případě chyby účtování lze po dnech rychle nalézt chybu a tuto opravit.
Křížové kontroly - „321 - Závazky“
Na účtu 321 - Závazky jsou zachycovány běžné závazky k dodavatelům, tedy přijaté faktury, jejich platby a kurzové rozdíly. Pro využití křížových kontrol při práci s IS K2 je nutno zásadně účtovat nárůst závazků (pořízení přijaté faktury) na straně Dal, a to včetně záporných částek v případě opravných daňových dokladů. Na straně Má Dáti je zachycován čerpání záloh a úhrady závazků.
Na účtu 321 je obrat na straně Dal za určité období roven součtu brutto částek z přijatých faktur bez netto částek záloh čerpaných na těchto fakturách, a kurzové ztráty při platbě faktur a z přecenění nezaplacených faktur. Obrat na straně Má Dáti je pak roven součtu všech plateb přijatých faktur, čerpání záloh za toto období a kurzového zisku při platbě faktur a z přecenění nezaplacených faktur.
Vytištění saldokonta na přijatých fakturách ke dni konce kontrolovaného období se pak rovná zůstatku na účtu 321, což je vlastní doložení salda závazků (za podmínky, že byl odpovídajícím způsobem odsouhlasen i počáteční stav závazků k tomuto kontrolovanému období).
V modulu Účetnictví v Hlavní knize nastavíme periody dle kontrolovaného období (klávesami Alt+F10). Najdeme příslušný závazkový účet. Zůstatek v Hlavní knize musí odpovídat zůstatku v sestavě Saldo faktur přijatých podle účtu.
321 - Kontrola zůstatku
Ověříme zůstatky na účtech 321.
Ze stromového menu v modulu Účetnictví - Kontroly zaúčtování vytiskneme sestavu Saldo PF podle účtu. Po spuštění sestavy nejprve zadáme datum konce kontrolovaného období a minimální rozdíl.
Saldo za jednotlivé účty v této sestavě se musí rovnat zůstatku na účtech v Hlavní knize v daném období.
321 - Kontrola Obratu Dal
Kontrola obratu Dal u závazkových účtů probíhá obdobně jako kontrola obratu Má dáti u pohledávek. Na fakturách přijatých vytvoříme filtr na potvrzené faktury, můžeme přidat podmínku na konkrétní účet. Ze stromového menu Účetnictví - Kontroly zaúčtování spustíme sestavu Kontrola obratu D PF, do vstupního formuláře zadáme kontrolované období.
Částka Obrat D celkem za jednotlivé účty v této sestavě se musí rovnat Obratu „Dal“ v sestavě Hlavní kniha - analytické účty. Pokud tomu tak není, lze v sestavě Hlavní kniha - analytické účty sledovat kumulaci Obratu Dal, který by měl při správném zaúčtování za každý den přesně odpovídat kumulaci obratu D v sestavě Kontrola obratu D PF. V případě chyby účtování lze po dnech rychle nalézt chybu a tuto opravit.
321 - Kontrola Obratu Má dáti
Na fakturách přijatých vytvoříme filtr na potvrzené faktury, přidáme podmínku na konkrétní účet. Ze stromového menu Účetnictví - Kontroly zaúčtování spustíme sestavu Kontrola obratu MD PF. Po spuštění sestavy ve vstupním formuláři zadáme datum podle kontrolovaného období a necháme zatrženou volbu Použít filtr faktur přijatých.
Částka Celkem v této sestavě se musí rovnat Obratu „Má dáti“ v sestavě Hlavní kniha - analytické účty. Pokud tomu tak není, lze v sestavě Hlavní kniha - analytické účty sledovat kumulaci Obratu Má dáti, který by měl při správném zaúčtování za každý den přesně odpovídat kumulaci částky celkem v sestavě Kontrola obratu MD PF. V případě chyby účtování lze po dnech rychle nalézt chybu a tuto opravit.
Křížové kontroly - "324, 314 - Zálohy"
Kontrola zůstatků
Celkovou výši přijaté zálohy včetně DPH účtujeme na stranu Má dáti analytického účtu 324 (324__1, Účet MD z hlavičky přijaté zálohy). Saldo účtu 324__1 je vyrovnáno zaúčtováním platby přijaté zálohy. Na účtu 324_1 by měl být nulový zůstatek.
Výši zálohy bez daně účtujeme na stranu Dal analytického účtu 324 (324__2, Účet D z položky/hlavičky přijaté zálohy). Saldo účtu 324__2 je vyrovnáno po přecenění zálohy a po celkovém vyčerpání zálohy na faktuře vydané. Zůstatek na účtu 324_2 se rovná částce nevyčerpaných záloh.
Pro kontrolu zůstatku účtu 324_2 spustíme ze stromového menu Účetnictví – Kontroly zaúčtování sestavu Nevyčerpané zálohy podle účtu k datu. Ve vstupním formuláři zadáme datum. Celková částka ve sloupci Zbývá dočerpat by měla být shodná se zůstatkem na účtu 324_2.
Kontrola obratů
Kontrolu obratů účtů 324__1 a 324__2 provedeme pomocí sestavy KK záloh. Vytvoříme filtr všech přijatých záloh a ze stromového menu Účetnictví – Kontroly zaúčtování spustíme sestavu KK záloh přijatých/poskytnutých. Po spuštění zadáme kontrolované období.
Sestava zobrazuje:
- seznam přijatých záloh s datem uskutečnění v zadaném období, které jsou potvrzené a zaplacené,
- seznam plateb přijatých záloh (pokladní doklady, bankovní výpisy) s datem vystavení v zadaném období,
- seznam čerpání přijatých záloh (faktury vydané) s datem uskutečnění v zadaném období,
- seznam přecenění přijatých záloh (kurzové pokladní doklady) s datem vystavení v zadaném období.
Na každém řádku je uvedeno číslo přijaté zálohy a ve sloupci Má dáti nebo Dal je uvedena příslušná částka. Je-li v řádku zobrazena částka platby, přecenění nebo čerpání, pak se zobrazí vedle čísla zálohy i číslo příslušného dokladu (pokladního dokladu, bankovního výpisu nebo faktury vydané).
Řádky jsou na sestavě roztříděny podle účtu, na který by měly být uvedené hodnoty zaúčtovány. V každém řádku je uvedena i kumulovaná hodnota sloupců Má dáti a Dal. Sloupce Má dáti a Dal mají za každý účet zobrazený součet Celkem. Tento součet by měl odpovídat obratu Má dáti a Dal příslušného účtu přijatých záloh v Hlavní knize.

Obr.: Sestava KK záloh
Pokud se hodnoty liší, pak je nutné provést porovnání sestavy KK záloh a sestavy Hlavní kniha - analytické účty setříděné podle data a prvotního dokladu vytištěné na kontrolovaném účtu na záložce Pohyby v Hlavní knize. Sestava KK záloh zobrazuje seznam záloh, jejich plateb, přecenění a čerpání, které by na kontrolovaný účet měly být zaúčtovány, a to v setřídění podle data. Sestava Hlavní kniha - analytické účty zobrazuje v setřídění podle data všechny účetní doklady, které byly na kontrolovaný účet zaúčtovány.

Obr.: Sestava Hlavní kniha - analytické účty setříděné zobrazující účet 324000

Obr.: Sestava Hlavní kniha - analytické účty setříděné zobrazující účet 324100
Při porovnávání sestav je možné postupovat následovně. Nejprve zkontrolovat konečný obrat Dal nebo Má dáti ze sestavy Hlavní kniha - analytické účty setříděné s příslušnou konečnou sumou sestavy KK zálohy. Pokud se hodnoty liší, pak je třeba najít datum, od kterého se rozdíl začíná objevovat. Kontrolované období se tedy rozdělí na polovinu a provedeme kontrolu obratu účtu k tomuto dni (porovnáváme hodnoty ve sloupcích Kumulovaně Má dáti nebo Dal a Kumulace obratu Má dáti nebo Dal). Pokud obrat souhlasí, pak bude chyba v druhé polovině intervalu, pokud nesouhlasí, pak bude chyba v první polovině intervalu. Takto postupujeme, dokud nenajdeme den, ve kterém začíná docházet k rozdílu v saldu účtu. Zjištěné chyby je nutné opravit.
Pro kontrolu účtů poskytnutých záloh se použije obdobně tato popsaná metodika.
131 - Pořízení zboží
Na účet 131 - Pořízení zboží se účtují přijaté faktury za zboží a příjemky. Na straně Má Dáti se účtují faktury přijaté. Na stranu Dal se účtují příjemky.
Znamená to tedy, že na účtu 131 musí být obrat na straně Má Dáti za určité období roven součtu celkových částek bez DPH z přijatých faktur za zboží (případně s vedlejšími náklady). Obrat na straně Dal je pak roven součtu všech částek z příjemek za toto období. Kontrolujeme tedy obraty na tomto účtu za určité období.
Na účtu 131 může být zůstatek v případě, že existuje příjemka a k ní neexistuje faktura přijatá nebo naopak. Zůstatek dále vzniká, pokud se cena na příjemce nerovná ceně na faktuře přijaté.
Pro kontrolu správnosti účtování na účtu 131 je nejvhodnější používat párovací symboly (viz kapitola Párovací symboly). Stejně provádíme kontrolu účtu 111 a dalších účtů, u kterých používáme párovací symboly.
Pro výpis všech nespárovaných dokladů se používá sestava Hlavní kniha – analytické účty podle setřídění, která se spouští nad Hlavní knihou na záložce Pohyby příslušného saldokontního účtu. Na sestavě nastavíme parametry Setrideni = "1“ (párovací symboly) a PouzeNesparovane = "Ano“ a sestavu vytiskneme.
Haléřové zůstatky na párovacích symbolech převedeme skriptem Korekce haléřových zůstatků pár. symbolů na korekční párovací symbol.
Při uzavírání účetních knih však na tomto účtu nesmí být zůstatek. Fakturu, ke které neexistuje příjemka, účtujeme na účet 139 - Zboží na cestě. Nevyfakturované dodávky se účtují ve prospěch účtu 389 - Dohadné účty pasivní.
Korekce haléřových zůstatků pár. symbolů
Číslo procesu: UCT025 |
Id. číslo skriptu: FUCT077 |
Soubor: MatchSymb_BalanceCorrection.pas |
Popis skriptu: Po spuštění skriptu se zobrazí formulář, ve kterém se zvolí saldokontní analytický účet, párovací symbol pro korekci, maximální částka pro korekci, kniha účetnictví a datum účetního případu. Pro vybraný analytický účet se najdou párovací symboly se saldem v rámci zadané částky a obecným účetním dokladem se převedou zůstatky na vybraný párovací symbol. Korekce se provede u párovacích symbolů, které nemají pohyb po datu korekce (Datum úč. případu ze vstupního formuláře). |
||
Adresa ve stromu: |
||
Parametry skriptu:
Amount - 0,03 Maximální částka pro korekci. |
BookAcc - U Kniha účetnictví, ve které se vytvoří obecný účetní doklad. |
DateAcc - aktuální datum Datum účetního případu. |
Sklady
Kontrola probíhá v následujících krocích:
- kontrola, zda jsou všechny doklady v daném období zaúčtovány,
- kontrola, zda zůstatky skladových účtů souhlasí s inventurou skladů.
Kontrola zaúčtování skladových dokladů
Po zaúčtování skladových dokladů zkontrolujeme pomocí funkce Kontrola zaúčtování skladů, zda jsou doklady zaúčtovány na správných skladových účtech.
Kontrola respektuje doplňující filtry pro knihu Nezaúčtováno nastavené ve Správě multi company.
Funkci Kontrola zaúčtování skladů spustíme ze stromového menu Účetnictví - Kontroly zaúčtování. Zobrazí se formulář funkce, ve kterém v pravém panelu (náhledu záznamu) zadáme:
- Doklady - Typy dokladů, které chceme zkontrolovat (můžeme označit vybrané),
- Účty - výběr sběrných i analytických účtů z účetního rozvrhu. Pokud je nějaký účet zadán, kontrola se provede jen pro zadané účty, při zadání sběrného účtu se zkontrolují všechny podřízené analytiky.
- Od data, Do data (po spuštění se nabízí minulý měsíc),
- Minimální rozdíl,
- Kontrolovat
- pokud je zatrženo, mezi chybami se zobrazí i zaúčtované doklady s nulovým rozdílem, které byly po zaúčtování změněny (mají příznak
), - Nekontrolovat tyto druhy účtování - lze vybrat druhy účtování, které se nezahrnou do kontroly.
Po spuštění funkce Zkontrolovat zaúčtování proběhne kontrola zaúčtování na označených typech dokladů a v případě zadaných účtů, jen u těchto účtů.
Doklady s chybou se zobrazí ve formuláři.

Obr.: Kontrola zaúčtování skladů
V tabulce Kontroly zaúčtování skladů jsou na řádcích zobrazeny Typy dokladů, Prvotní doklady, Účty, na které jsou doklady zaúčtovány, Částky, Datum. Dále jsou zobrazeny Účetní doklady. Ve výsledcích kontroly se zobrazují doklady, které jsou zaúčtovány na jiný účet, než by měly být, doklady, na kterých je částka na prvotním dokladu jiná než na účetním dokladu, doklady, které mají jiné Datum úč. případu než je na účetním dokladu. Pokud jsou všechny doklady zaúčtovány správně, je formulář prázdný.
Ve formuláři můžeme spustit funkce:
- Prvotní doklad (F7) - zobrazí se prvotní doklad,
- Účetní doklad (F8) - zobrazí se účetní doklad,
- Kontejner prvotních dokladů (Shift + F7) - zobrazí se kontejner prvotních dokladů (pokud je ve formuláři nastaveno pravítko např. na vydané faktuře, zobrazí se kontejner vydaných faktur),
- Kontejner účetních dokladů (Shift + F8) - zobrazí se kontejner účetních dokladů,
- Funkce a tisk (F9) - lze vytisknout sestavu Kontrola zaúčtování skladů (CHECKSTOCKLIST.AM).
- Zaplánovat (záložka Systém) - Kontrola zaúčtování skladů se zařadí do plánovaných akcí.
Kontrola zůstatků skladových účtů
Dalším krokem kontroly zaúčtování je kontrola zůstatků skladových účtů. Znamená to, že je potřeba odsouhlasit účetní zůstatky skladů vykázané inventurami jednotlivých listových skladů se zůstatky skladových účtů hlavní knihy za kontrolované období.
1/ Kontrolu je možno provést sestavou Inventura zboží podle účtů (sestavu pustíme na filtru všech zbožních položek). Účetní hodnota z inventury (za jednotlivé účty) musí odpovídat zůstatku účtů v hlavní knize.
2/ V případě, že kontrolovaná čísla nejsou shodná, je potřeba provést Křížovou kontrolu skladové evidence. Tato se provádí standardními sestavami KK Skladová evidence a Hlavní kniha - analytické účty setříděné (setřídění 0 - Datum Doklad). Princip spočívá v tom, že sestava KK Skladová evidence vyhodnocuje prvotní doklady skladové evidence z hlediska „jak by měly být zaúčtovány“ a tiskne je v podobě hlavní knihy - v setřídění dle skladových účtů a data skladového pohybu. V rámci jednoho data již není setřídění sestav shodné. Porovnávají se zůstatky (KK Skladová evidence) se saldem (Hlavní kniha - analytické účty setříděné) a pokud nesouhlasí, hledá se den, ve kterém nastala chyba v zaúčtování skladového pohybu a to tak, že je porovnán zůstatek v sestavě KK Skladová evidence v polovině období, který je zobrazen na posledním pohybu toho dne ve sloupci Mezisoučet - rozdíl s údajem saldo v sestavě Hlavní kniha - analytické účty setříděné. Pokud souhlasí, hledá se chyba v dolní polovině vzniklého intervalu. Pokud nesouhlasí, hledá se v horní polovině vzniklého intervalu. Tímto způsobem se pokračuje tak dlouho, dokud není nalezen konkrétní den, ve kterém údaje začaly nesouhlasit. V rámci tohoto dne pak se musí najít pohyb, který není souhlasný na obou sestavách. Tento pohyb se opraví (přeúčtováním konkrétního chybného účetního záznamu) a sestavy se spustí znovu pro další kontrolu. Postup je opakován, dokud obě sestavy nemají stejné zůstatky.
3/ Pokud nastane situace popsána v bodu 1/, je provedeno dohledání chyby podle bodu 2/ a toto dohledání neodhalí žádnou chybu, všechny doklady se jeví jako správně zaúčtované, ale údaje v účetnictví se neshodují se zůstatky na listovém skladě, lze přistoupit ke kontrole skladových dokladů pomocí standardní sestavy Kontrola skladových dokladů. Sestava vypíše všechny skladové doklady, které nemají shodné číslo skladu a datum potvrzení mezi položkami a hlavičkou daného dokladu. Doklady, které sestavy vypíše je potřeba opravit a poté spustit sestavu znovu. Pokud se datum potvrzení a číslo skladu v hlavičce shoduje s číslem skladu a datem potvrzení na všech dokladech, je sestava prázdná a je potřeba provést opět kontrolu podle bodu1/.
Příklad: Je potřeba zkontrolovat zaúčtování skladových pohybů za říjen 2004 - účet 123000. Je spuštěna sestava pro křížovou kontrolu KK Skladová evidence. Ve vstupním formuláři sestavy je zadáno období 01.10.2004 - 31.10.2004. Dále je spuštěna sestava Hlavní kniha - analytické účty setříděné na účtu 123000 setříděná dle data a prvotního dokladu. Hlavní kniha je zobrazena v období Říjen 2004 - Říjen 2004.

Obr.: Sestava KK Skladová evidence za říjen 2004

Obr.: Sestava Hlavní kniha - analytické účty setříděné účtu 123000 za období říjen 2004 - říjen 2004
Příklad: Dle výše zobrazených sestav je zřejmé, že chyba nastala kvůli nezaúčtování výdejky „10/2004/9“ ze 16.10.2004, která je v sestavě KK Skladová evidence (výdej 49,00 Kč). Výdejku je nutno zaúčtovat a sestavu Hlavní knihy setříděné znovu spustit.
211 - Pokladní doklady
Po zaúčtování všech pokladních dokladů za dané období zkontrolujeme zůstatek v pokladně. Zůstatek k poslednímu dni daného období musí být shodný se zůstatkem na účtu v Hlavní knize.
Jestliže jsou zůstatky rozdílné, pustíme sestavu KK Pokladní doklady a porovnáme ji se sestavou Hlavní kniha - analytické účty.
Zůstatky pokladen ke dni
Číslo procesu: FIN001,UCT006 |
Ident. číslo sestavy: SFIN035 |
Soubor: CashBalance.AM |
Popis sestavy: Sestava zobrazí zůstatky pokladen ke zvolenému dni. Po spuštění sestavy se zobrazí vstupní formulář pro zadání "K datu". Na formuláři je možné si zatrhnout zobrazení v měně, částky dokladu se pak zobrazují v měně dokladu i v měně firmy. |
||
Adresa ve stromu: [Finance] [Pokladna] [Tisk dokladů - seznamy] |
||
Parametry sestavy:
AccBooks - U Knihy účetnictví (oddělené středníkem), ze kterých se zůstatek hlavní knihy napočte. |
Account - Ano Ano - pokud je zvoleno setřídění dle zkratky pokladny, zobrazí se účet pokladny. |
BothCurr - Ne Ano - zobrazí obě měny - částky dokladu v měně pokladny i v měně firmy. |
CurrentOwnCompanyAccountingBook - Ne Ano - pokud je v nastavení pro firmy uvedená kniha účetnictví (Správa multi company/Účtování/ Zaúčtovat do knihy), pak se ignoruje hodnota parametru AccBooks - "[U] Knihy účetnictví odděleny středníkem" a zůstatek "Hlavní knihy" se napočte pro tuto účetní knihu. |
DateTo - 0.0.0000 K datu. |
IgnoreBooks - Zkratky knih (oddělené středníkem), které se nemají zobrazit. |
Interactive - Ano Ano - zobrazí vstupní formulář;Ne - nezobrazí vstupní formulář. |
Title - Název sestavy. |
ShowGenLedgerBalance - Ano Ano - u každého účtu pokladny se zobrazí zůstatek na účtu z Hlavní knihy a vyčíslí se rozdíl mezi částkou salda účtu a hlavní knihou. |
ShowTotalAmount - Ne Ano - zobrazí součet pokladen v měně vlastní firmy. |
SortBy - 0 Setřídit podle: 0 - účet pokladny; 1 - zkratka pokladny. |
ZeroBalance - Ne Ano - zobrazí i pokladny s nulovým zůstatkem. |

221 - Bankovní výpisy
Po zaúčtování všech bankovních výpisů za dané období zkontrolujeme zůstatek na účtu. Zůstatek k poslednímu dni daného období musí být shodný se zůstatkem na účtu v Hlavní knize.
Jestliže jsou zůstatky rozdílné, pustíme sestavu KK Bankovních výpisů a porovnáme ji se sestavou Hlavní kniha - analytické účty.
Zůstatky bankovních účtů ke dni
Číslo procesu: FIN002,UCT007 |
Ident. číslo sestavy: SFIN036 |
Soubor: BankAccountBalance.AM |
Popis sestavy: Sestava zobrazí zůstatky bankovních účtů ke zvolenému dni. Po spuštění sestavy se zobrazí vstupní formulář pro zadání "K datu". Na formuláři je možné si zatrhnout zobrazení v měně, částky dokladu se pak zobrazují v měně dokladu i v měně firmy. |
||
Adresa ve stromu: [Finance] [Banka] [Tisk dokladů - seznamy] |
||
Parametry sestavy:
AccBooks - U Knihy účetnictví (oddělené středníkem), ze kterých se zůstatek hlavní knihy napočte. |
Account - Ano Ano - pokud je zvoleno setřídění dle zkratky bankovního účtu, zobrazí se účet bankovního účtu. |
BothCurr - Ne Ano - zobrazí obě měny - částky dokladu v měně bankovního účtu i v měně firmy. |
CurrentOwnCompanyAccountingBook - Ne Ano - pokud je v nastavení pro firmy uvedená kniha účetnictví (Správa multi company/Účtování/ Zaúčtovat do knihy), pak se ignoruje hodnota parametru AccBooks - "[U] Knihy účetnictví odděleny středníkem" a zůstatek "Hlavní knihy" se napočte pro tuto účetní knihu. |
DateTo - 0.0.0000 K datu. |
IgnoreBooks - Zkratky knih (oddělené středníkem), které se nemají zobrazit. |
Interactive - Ano Ano - zobrazí vstupní formulář;Ne - nezobrazí vstupní formulář. |
Title - Název sestavy. |
ShowGenLedgerBalance - Ano Ano - u každého účtu banky se zobrazí zůstatek na účtu z Hlavní knihy a vyčíslí se rozdíl mezi částkou salda účtu a hlavní knihou. |
ShowTotalAmount - Ne Ano - zobrazí součet bankovních účtů v měně vlastní firmy. |
SortBy - 0 Setřídit podle: 0 - účet bankovního účtu; 1 - zkratka bankovního účtu. |
ZeroBalance - Ne Ano - zobrazí i bankovní s nulovým zůstatkem. |

Kontrola zaúčtování majetku
Pro kontrolu zaúčtování majetku musíme mít nastavené správné období, do kterého chceme zaúčtování kontrolovat (načte se aktuální stav ke zvolené periodě).
Kontrolu, zda jsou všechny pohyby v majetku zaúčtované, provedeme pomocí funkce Kontrola zaúčtování majetku.
Kontrolu obratů a zůstatků provedeme porovnáním sestavy Výpis majetku (spouští se v knize Majetku za zvolené období) s obratem na příslušném účtu v Hlavní knize (za stejné období).
Pro kontrolu zaúčtování pohybů majetku lze použít také sestavu KK majetku.
Kontrola zaúčtování majetku
Po zaúčtování pohybů majetku zkontrolujeme pomocí funkce Kontrola zaúčtování majetku, zda jsou pohyby zaúčtovány na správných účtech. Kontrolují se účty zadané v oborech majetku.
Funkci Kontrola zaúčtování majetku spustíme ze stromového menu Účetnictví - Kontroly zaúčtování. Zobrazí se formulář funkce, ve kterém v pravém panelu (náhledu záznamu) zadáme:
- Doklady - typy dokladů, které chceme zkontrolovat (můžeme označit vybrané),
- Účty - výběr sběrných i analytických účtů z účetního rozvrhu. Pokud je nějaký účet zadán, kontrola se provede jen pro zadané účty, při zadání sběrného účtu se zkontrolují všechny podřízené analytiky.
- Od data, Do data (po spuštění se nabízí minulý měsíc),
- Minimální rozdíl,
- Kontrolovat
- pokud je zatrženo, mezi chybami se zobrazí i zaúčtované doklady s nulovým rozdílem, které byly po zaúčtování změněny (mají příznak
),
Po spuštění funkce Zkontrolovat zaúčtování proběhne kontrola zaúčtování na označených typech dokladů a v případě zadaných účtů, jen u těchto účtů.
Doklady s chybou se zobrazí ve formuláři.

Obr.: Kontrola zaúčtování majetku
V tabulce Kontroly zaúčtování majetku jsou na řádcích zobrazeny Karty majetku, Prvotní doklady, Typy pohybu, Účty, na které jsou doklady zaúčtovány, Částky, Datum. Dále jsou zobrazeny Účetní doklady. Ve výsledcích kontroly se zobrazují doklady, které jsou zaúčtovány na jiný účet, než by měly být, doklady, na kterých je částka na prvotním dokladu jiná než na účetním dokladu, doklady, které mají jiné Datum úč. případu než je na účetním dokladu. Pokud jsou všechny doklady zaúčtovány správně, je formulář prázdný.
Ve formuláři můžeme spustit funkce:
- Prvotní doklad (F7) - zobrazí se prvotní doklad,
- Účetní doklad (F8) - zobrazí se účetní doklad,
- Kontejner prvotních dokladů (Shift + F7) - zobrazí se kontejner prvotních dokladů (karet majetku),
- Kontejner účetních dokladů (Shift + F8) - zobrazí se kontejner účetních dokladů,
- Funkce a tisk (F9) - lze vytisknout sestavu Kontrola zaúčtování majetku (CHECKASSET.AM).
- Zaplánovat (záložka Systém) - Kontrola zaúčtování majetku se zařadí do plánovaných akcí.
KK majetek
Číslo procesu: UCT037 |
Ident. číslo sestavy: SMAJ038 |
Soubor: AssetCrossCheck.AM |
Popis sestavy: Křížová kontrola majetku. |
||
Adresa ve stromu: [Majetek] [Kniha majetku] [Kontroly účtování] [Účetnictví] [Kontroly zaúčtování] |
||
Parametry sestavy:
DateFrom Datum od. Hodnota se předvyplní do pole ve formuláři. |
DateTo Datum do. Hodnota se předvyplní do pole ve formuláři. |
GroupByAccount - 0 Seskupí podle účtu 0 - majetkového, 1 - pořízení, 2 - odpisového, 3 - oprávkového. |
Interactive - Ano Ano - zobrazí vstupní formulář; Ne - nezobrazí vstupní formulář. |
InventoryNumber - Ne Ne - tiskne číslo karty majetku; Ano - místo čísla se tiskne inventární číslo karty. |
PlanTypeAbbr - U Zkratka typu plánu, jehož hodnoty se mají zobrazit (lze zadat více typů plánů, oddělených středníkem). |
Title Text vyplněný v hodnotě parametru, se zobrazí jako název sestavy při tisku. |

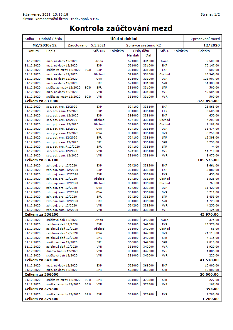
Kontrola zaúčtování mezd
Kontrola správnosti zaúčtování mezd se provádí porovnáním sestavy Rekapitulace mezd (tiskne se v knize Mzdové údaje) se sestavou Kontrola zaúčtování mezd (tiskne se v knize Zaúčtování mezd).

Obr.: Sestava Kontrola zaúčtování mezd za období 12/2020

Obr.: Sestava Rekapitulace mezd za období 12/2020
Kontrola zůstatků účtů mzdových závazků
V knize Závazky z mezd spustíme ze stromového menu Účetnictví - Kontroly zaúčtování sestavu Saldo závazků z mezd. Po spuštění sestavy nejprve zadáme datum konce kontrolovaného období a minimální rozdíl.
Saldo za jednotlivé účty v této sestavě se musí rovnat zůstatku na účtech v Hlavní knize v daném období.
Pozn.: Pokud evidujeme závazky z mezd ve více knihách, před spuštěním sestavy vytvoříme filtr nebo kontejner všech závazků.