Finance
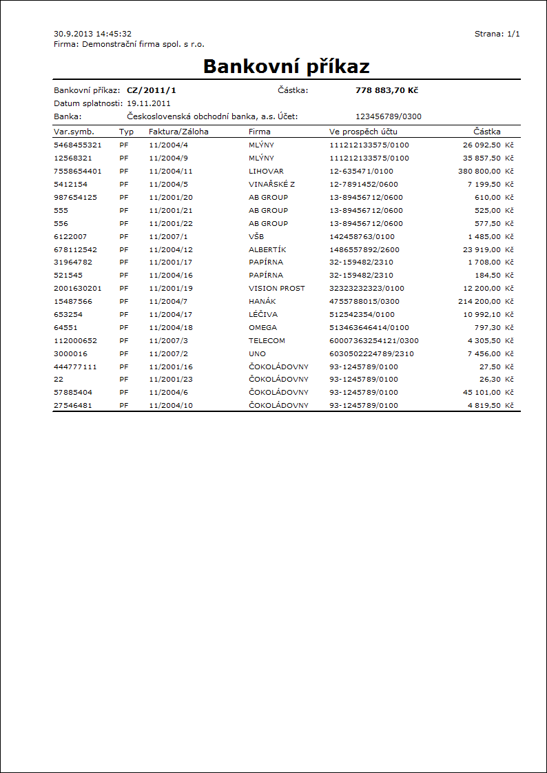
Bankovní příkazy
Bankovní příkaz
Číslo procesu: FIN003 |
Ident. číslo sestavy: SFIN024 |
Soubor: BPR_DOK02.AM |
Popis sestavy: Bankovní příkaz. Setřídění podle K2. |
||
Adresa ve stromu: [Finance] [Banka] [Tisk dokladů - seznamy] |
||
Parametry sestavy:
Grouping - Ne Ano - seskupí položky podle sumace; Ne - neseskupí. |
OnlyConfirmed - Ne Ano - zpracuje pouze potvrzené doklady. |
PublishedAccount - Ne Ano - před účtem, který je zveřejněn v registru plátců DPH, zobrazí hvězdičku. |
ShowBothCurrs - Ne Ano - zobrazí obě měny. Zobrazí částku dokladu v měně i částku přepočtenou na měnu mandanta podle aktuálního kurzu. |
ShowFirm - Ano Ano - zobrazí sloupec Firma, Ne - nezobrazí. |
ShowSwiftAndIBAN - Ne Ano - IBAN a SWIFT se zobrazí, pro každou knihu bank. účtů je musíme zadat do knihy s nulovým prefixem. |
ShowSwiftAndIBANInItem - Ne Ano - zobrazí IBAN a SWIFT pro jednotlivé položky bankovního příkazu. |
ShowTradingPartnerName - Ne Ano - zobrazí místo Zkratky firmy Název firmy (ořezaný). |
ShowTradingPartnerNameCanGrow - Ne Ano - zobrazí celý název firmy (i na více řádků). |
Sorting - 3 V závislosti na hodnotě se setřídí položky. Hodnota parametru 0 setřídí podle zákazníka; 1 - podle částky (vzestupně); 2 - podle účtu; 3 - podle K2. |

Bankovní příkaz - seskupené platby
Číslo procesu: FIN003 |
Ident. číslo sestavy: SFIN031 |
Soubor: BPR_DOK02.AM |
Popis sestavy: Bankovní příkaz. Položky zobrazí seskupené podle zákazníků |
||
Adresa ve stromu: [Finance] [Banka] [Tisk dokladů - seznamy] |
||
Parametry sestavy:
Viz parametry sestavy Bankovní příkaz. Odlišně jsou nastaveny tyto parametry:
Grouping - Ano |

Platební avízo
Číslo procesu: FIN003 |
Ident. číslo sestavy: SFIN037 |
Soubor: HB_PaymentNotice.AM |
Popis sestavy: Platební avízo. Sestava zobrazí rozpis seskupených plateb dle konkrétního dodavatele.V datu dokladu se uvádí Datum KH, pokud je nulové, tak Datum účetního případu. |
||
Adresa ve stromu: [Finance] [Banka] [Tisk dokladů - seznamy] |
||
Parametry sestavy:
SupplFromMandant- Zobrazí typ dodatku z parametru mandanta. |
PrintAlll - vytiskne seskupené platby pro všechny skupiny |

Bankovní příkaz - třídění dle dodavatele
Číslo procesu: FIN003 |
Ident. číslo sestavy: SFIN029 |
Soubor: BPR_DOK02.AM |
Popis sestavy: Bankovní příkaz. Setřízeno podle dodavatele. |
||
Adresa ve stromu: [Finance] [Banka] [Tisk dokladů - seznamy] |
||
Parametry sestavy:
Viz parametry sestavy Bankovní příkaz. Odlišně jsou nastaveny tyto parametry:
Sorting - 0 |

Bankovní příkaz - třídění dle čísla účtu
Číslo procesu: FIN003 |
Ident. číslo sestavy: SFIN030 |
Soubor: BPR_DOK02.AM |
Popis sestavy: Bankovní příkaz. Setřízeno podle čísla účtu. |
||
Adresa ve stromu: [Finance] [Banka] [Tisk dokladů - seznamy] |
||
Parametry sestavy:
Viz parametry sestavy Bankovní příkaz. Odlišně jsou nastaveny tyto parametry:
Sorting - 2 |

Hromadný příkaz k úhradě
Číslo procesu: ZAS014 |
Ident. číslo sestavy: SFIN005 |
Soubor: BPR_DOK01.AM |
Popis sestavy: Bankovní příkaz |
||
Adresa ve stromu: [Finance] [Banka] [Tisk dokladů - seznamy] |
||
Parametry sestavy:
VetsiMezeryMeziRadky - Ne Ne - zachová standardní řádkování; Ano - zvětší mezery mezi řádky. |

Bankovní výpisy
Bankovní výpis
Číslo procesu:FIN002, EXP010, ZAS015 |
Id. číslo sestavy: SFIN006 |
Soubor: BVY_DOK01.AM |
Popis sestavy: Bankovní výpis |
||
Adresa ve stromu: [Finance] [Banka] [Tisk dokladů - seznamy] |
||
Parametry sestavy:
DisplayAssignement - Ne Ano - zobrazí zaúčtování dokladu. |
ShowBothCurrs- Ne Ano - zobrazí obě měny, částky v měně i přepočet na měnu mandanta podle aktuálního kurzu. |

Bankovní výpisy dle protiúčtu
Číslo procesu: FIN002 |
Identifikační číslo sestavy: SFIN028 |
Soubor: BVY_SEZ03.AM |
Popis sestavy: Bankovní výpisy - dle protiúčtu. Sestava zobrazuje položky bankovních výpisů setříděné dle protiúčtu. Pozn.: Do sestavy nejsou zahrnuty všechny doklady z knihy bankovních výpisů. |
||
Adresa ve stromu: [Finance] [Banka] [Tisk dokladů - seznamy] |
||
Parametry sestavy:
CompanySorting - Ano Ano - setřídí podle firmy. |
CounterAccountFilter - Ano Filtr protiúčtů (oddělte středníkem). |
Currency Ano - Setřídění podle měny. |
DateFrom - 0.0.0000 Datum od. |
DateTo - 0.0.0000 Datum do. |
ChooseCustomer Ano - umožní zadat do formuláře zákazníky, za které se pak zobrazuje výstup. Podmínkou je mít nastavený parametr CompanySorting na True. |
NewPage - Ano Ano - nová stránka. |
NoInteractive - Ano Ano - nezobrazovat vstupní formulář. |
ShowBothCurrs - Ne Ano - zobrazí obě měny, částky v měně dokladu i přepočtené na měnu mandanta. |

Seznam bankovních výpisů
Číslo proces: FIN002 |
Ident. číslo sestavy: SFIN007 |
Soubor: BVY_SEZ01.AM |
Popis sestavy: Seznam bankovních výpisů, rozdělených podle příslušného účtu včetně sumáře. |
||
Adresa ve stromu: [Finance] [Banka] [Tisk dokladů - seznamy] |
||
Parametry sestavy:
ShowBothCurrs - Ne Ano - zobrazí obě měny, částky v měně dokladu i přepočtené na měnu mandanta. |

Kniha bankovních dokladů - podrobná
Číslo procesu: FIN002 |
Ident. číslo sestavy: SFIN008 |
Soubor: BVY_SEZ02.AM |
Popis sestavy: Po spuštění sestavy zadáte parametry od - do (tj., od kterého do kterého data se mají doklady zobrazit). Údaje se zobrazují v měně bankovního účtu a v měně firmy. Je-li měna bankovního účtu shodná s měnou firmy, pak se zobrazují údaje pouze jednou. Celkový součet je pouze v měně firmy, protože nelze sčítat různé měny dohromady. V případě že používáte k přecenění bankovních účtů položku typu P (příjmovou) nebo V (výdajovou) bez hodnoty v měně, kde je vyčíslený pouze kurzový rozdíl, tato částka se napočítá do počátečních stavů účtu. |
||
Adresa ve stromu:[Finance] [Banka] [Tisk dokladů - seznamy] |
||
Parametry sestavy:
FromDate - 0.0.0000 Od data. |
ToDate - 0.0.0000 Do data. |
ShowBothCurrs - Ne Ano - zobrazí obě měny, částky v měně dokladu i přepočtené na měnu mandanta. |
SortBy - 0 Třídí položky podle: 0 - čísla dokladu a čísla položky dokladu; 1 - čísla dokladu, data vystavení položky a podle čísla položky. |

Výpis bankovních dokladů
Číslo procesu: FIN002 |
Ident. číslo sestavy: SFIN009 |
Soubor: BVY_VYP01.AM |
Popis sestavy: Výpis bankovních výpisů za sebou, včetně položek. |
||
Adresa ve stromu: [Finance] [Banka] [Tisk dokladů - seznamy] |
||
Parametry sestavy:
ShowBothCurrs - Ne Ano - zobrazí obě měny, částky v měně dokladu i přepočtené na měnu mandanta. |

Zostatky bankových účtov ku dňu
Číslo procesu: FIN002,UCT007 |
Ident. číslo zostavy: SFIN036 |
Súbor: BankAccountBalance.AM |
Popis zostavy: Zostava zobrazí zostatky bankových účtov k zvolenému dňu. Po spustení zostavy sa zobrazí vstupný formulár pre zadanie „K dátumu“. Na formulári je možné si začiarknuť zobrazenie v mene, čiastky dokladu sa potom zobrazujú v mene dokladu aj v mene firmy. |
||
Adresa v strome: [Financie] [Banka] [Tlač dokladov - zoznamy] |
||
Parametre zostavy:
AccBooks - U Knihy účtovníctva (oddelené bodkočiarkou), z ktorých sa zostatok hlavnej knihy napočíta. |
Account - Ano Ano - pokiaľ je zvolené zotriedenie podľa skratky bankového účtu, zobrazí sa účet bankového účtu. |
BothCurr - Nie Ano - zobrazí obe meny - čiastky dokladu v mene bankového účtu aj v mene firmy. |
CurrentOwnCompanyAccountingBook - Nie Áno - pokiaľ je v nastavení pre firmy uvedená kniha účtovníctva (Správa multi company/Účtovanie/ Zaúčtovať do knihy), potom sa ignoruje hodnota parametra AccBooks - "[U] Knihy účtovníctva oddelené bodkočiarkou" a zostatok "Hlavnej knihy" sa napočíta pre tuto účtovnú knihu. |
DateTo - 0.0.0000 K dátumu. |
IgnoreBooks - Skratky kníh (oddelené bodkočiarkou), ktoré sa nemajú zobraziť. |
Interactive - Áno Áno - zobrazí vstupný formulár; Nie - nezobrazí vstupný formulár. |
Title - Názov zostavy. |
ShowGenLedgerBalance - Áno Áno - u každého účtu banky sa zobrazí zostatok na účte z Hlavnej knihy a vyčísli sa rozdiel medzi čiastkou salda účtu a hlavnou knihou. |
ShowTotalAmount - Nie Áno - zobrazí súčet bankových účtov v mene vlastnej firmy. |
SortBy - 0 Zotriediť podľa: 0 - účet bankového účtu; 1 - skratka bankového účtu. |
ZeroBalance - Nie Ano - zobrazí aj banky s nulovým zostatkom. |

Pokladní doklady
Pokladní doklad
Číslo procesu:FIN001, EXP010, ZAS015 |
Ident. č. sestavy: SFIN001 |
Soubor: PDO_DOK01.AM |
Popis sestavy: Pokladní doklad (pokud bude parametr "DisplayAssignement" nastaven na hodnotu "Ano", zobrazí i zaúčtování dokladu). |
||
Adresa ve stromu: [Finance] [Pokladna] [Tisk dokladů - seznamy] |
||
Parametry sestavy:
BarCode - Ne Ano - zobrazí čárový kód. |
BusinessRegister - 1 Zobrazí se informace o obchodním rejstříku z Nastavení vlastních firem. 0 – nezobrazí informace o obchodním rejstříku, 1 – zobrazí maximálně dvouřádkový text o obchodním rejstříku, 2 – zobrazí maximálně čtyřřádkový text o obchodním rejstříku. |
DisableItemFilter - Ne Vypnout zobrazovací filtr na položkách. |
DisplayAssignement - Ne Ano - zobrazí zaúčtování pokladních dokladů. |
K2Info - Ano Ano - Zobrazí informativní text o dokladu vystaveném systémem K2. |
LogoPictureFooter - 0 Parametr upravuje zobrazení loga patičky. Pokud je parametr prázdný, zobrazí logo podle nastavení parametru Obrázek v patičce ve funkci Správce - Systém - Správa vlastních firem. 0 - nezobrazí se nic, ale místo zůstane volné (pro hlavičkový papír), 1 - žádný obrázek ani prázdné místo. Název souboru s příponou png - konkrétní obrázek v adresáři Pictures dané firmy. |
LogoPictureHeader - Parametr upravuje zobrazení loga hlavičky. Pokud je parametr prázdný, zobrazí logo podle nastavení parametru Obrázek v patičce ve funkci Správce - Systém - Správa vlastních firem. 0 - nezobrazí se nic, ale místo zůstane volné (pro hlavičkový papír), 1 - žádný obrázek ani prázdné místo. Název souboru s příponou png - konkrétní obrázek v adresáři Pictures dané firmy. |
OneAddress - Ne Ano - firma a adresa se na vícepoložkovém dokladu se stejnou firmou zobrazí jen jednou (u první položky). |
OneLineItem - Ne Ano - zobrazí položku do jednoho řádku, Ne - zobrazí rozšířené informace k položce včetně například adresy. |
ShowAccInfo - Ne Ano - zobrazovat středisko, kód zakázky, kód zboží. |
ShowDescription - Ne Ano - zobrazit popis z hlavičky dokladu. |
ShowRate - Ne Ano - zobrazí kurz platby. |
Sign - @Vyst;;; Parametr má 5 pozic: 1. pozice určuje osobu, jejíž podpis se má zobrazit. Může jít o obrázek pojmenovaný dle Logname uživatele, který doklad vystavil (@Vyst) nebo doklad tiskne - tedy dle aktuálního přihlášení (@akt), nebo konkrétní Logname.
Implicitně se bere hodnota zadaná v poli Razítko v Nastavení vlastních firem. Zde se zadá cesta a název souboru. Cestu lze zadat pomocí aliasu. Místo komkrétního názvu souboru lze zadat %s. Obrázek musí být vždy ve formátu xxx.png. Pokud není vyplněno v Nastavení vlastních firem, pak se hledá soubor v adresáři Pictures.
Příklad zadání v poli Razítko v Nastavení vlastních firem: pomocí alias: k2*DEMO\Pictures\razitko.png (hledá se obrázek v cestě mandanta. Soubor razitko.png v adresáři Pictures) pomocí %s: k2*DEMO\Razitka\%s.png (takto zadaná hodnota umožní zobrazit bitmapy s podpisem všem uživatelům, kteří doklady vystavují nebo jsou aktuálně přihlášení a mají soubor ve formátu PNG v adresáři (v tomto případě uživatelem vytvořený adresář Razitka).
2. pozice: výška obrázku. 3. pozice: vzdálenost od levého okraje. 4. pozice: vzdálenost obrázku od horního okraje dané sekce. 5. pozice: šířka obrázku. Příklad: (Sign - @vyst;27;47;0;83) Tiskne podpis uživatele, který doklad vystavil, vysoký 27 bodů, odsazený zleva o 47 bodů, u horního okraje. Obrázek je široký 83 bodů.
Pokud je parametr nastavený na hodnotu 0, pak se razítko nezobrazí. |

Pokladní kniha
Číslo procesu: FIN001 |
Ident. číslo sestavy: SFIN002 |
Soubor: PDO_SEZ01.AM |
Popis sestavy: Po spuštění sestavy se zobrazí vstupní formulář pro zadání "Data od" a "Data do". Na formuláři je možné si zatrhnout zobrazení v měně, částky dokladu se potom zobrazují v měně dokladu i v měně mandanta. Je-li měna pokladny shodná s měnou mandanta, údaje se zobrazují pouze jednou. |
||
Adresa ve stromu: [Finance] [Pokladna] [Tisk dokladů - seznamy] |
||
Parametry sestavy:
FromDate - 0.0.0000 Od data. |
NoInteractive - Ne Ano - nezobrazovat vstupní formulář. |
ShowBothCurrs - Ne Ano - zobrazí obě měny, částky dokladu v měně dokladu i přepočtené na měnu mandanta. |
ShowVarSym - Ano Ano - zobrazí var. symbol; Ne - zobrazí číslo faktury. |
ToDate - 0.0.0000 Do data. |

Pokladní kniha na šířku
Číslo procesu: FIN001 |
Ident. číslo sestavy: SFIN002 |
Soubor: PDO_SEZ02.AM |
Popis sestavy: Po spuštění sestavy se zobrazí vstupní formulář pro zadání "Data od" a "Data do". Na formuláři je možné si zatrhnout zobrazení v měně, částky dokladu se potom zobrazují v měně dokladu i v měně mandanta. Je-li měna pokladny shodná s měnou mandanta, údaje se zobrazují pouze jednou. |
||
Adresa ve stromu: [Finance] [Pokladna] [Tisk dokladů - seznamy] |
||
Parametry sestavy:
FromDate - 0.0.0000 Od data. |
NoInteractive - Ne Ano - nezobrazovat vstupní formulář. |
ShowBothCurrs - Ne Ano - zobrazí obě měny, částky v měně dokladu i částky přepočtené na měnu mandanta. |
ToDate - 0.0.0000 Do data. |

Zostatky pokladníc ku dňu
Číslo procesu: FIN001,UCT006 |
Ident. číslo zostavy: SFIN035 |
Súbor: CashBalance.AM |
Popis zostavy: Zostava zobrazí zostatky pokladníc k zvolenému dňu. Po spustení zostavy sa zobrazí vstupný formulár pre zadanie „K dátumu“. Na formulári je možné si začiarknuť zobrazenie v mene, čiastky dokladu sa potom zobrazujú v mene dokladu aj v mene firmy. |
||
Adresa v strome: [Financie] [Banka] [Tlač dokladov - zoznamy] |
||
Parametre zostavy:
AccBooks - U Knihy účtovníctva (oddelené bodkočiarkou), z ktorých sa zostatok hlavnej knihy napočíta. |
Account - Ano Ano - pokiaľ je zvolené zotriedenie podľa skratky pokladnice, zobrazí sa účet pokladnice. |
BothCurr - Nie Ano - zobrazí obe meny - čiastky dokladu v mene pokladnice aj v mene firmy. |
CurrentOwnCompanyAccountingBook - Nie Áno - pokiaľ je v nastavení pre firmy uvedená kniha účtovníctva (Správa multi company/Účtovanie/ Zaúčtovať do knihy), potom sa ignoruje hodnota parametra AccBooks - "[U] Knihy účtovníctva oddelené bodkočiarkou" a zostatok "Hlavnej knihy" sa napočíta pre tuto účtovnú knihu. |
DateTo - 0.0.0000 K dátumu. |
IgnoreBooks - Skratky kníh (oddelené bodkočiarkou), ktoré sa nemajú zobraziť. |
Interactive - Áno Áno - zobrazí vstupný formulár; Nie - nezobrazí vstupný formulár. |
Title - Názov zostavy. |
ShowGenLedgerBalance - Áno Áno - u každého účtu pokladne sa zobrazí zostatok na účte z Hlavnej knihy a vyčísli sa rozdiel medzi čiastkou salda účtu a hlavnou knihou. |
ShowTotalAmount - Nie Áno - zobrazí súčet pokladní v mene vlastnej firmy. |
SortBy - 0 Zotriediť podľa: 0 - účet pokladnice; 1 - skratka pokladnice. |
ZeroBalance - Nie Ano - zobrazí aj pokladnice s nulovým zostatkom. |

Inventarizace pokladen
Číslo procesu: FIN001 |
Ident. číslo sestavy: SFIN039 |
Soubor: bankNotes.AM |
Popis sestavy: Inventarizace pokladen. Sestava se tiskne nad pokladním dokladem s provedenou inventurou pokladen (V prewiev pokladního dokladu se zobrazuje malé modré i. . Sestava zobrazí seznam bankovek a mincí k danému datu, která jsou uložená v XML poli nad pokladním dokladem s provedenou inventurou pokladen. |
||
Adresa ve stromu: |
||
Parametry sestavy:

Mincovka
Mincovka
Číslo procesu: FIN001 |
Ident. číslo zostavy: SFIN025 |
Súbor: CASHBRLIST.AM |
Popis zostavy: Mincovka umožní rozpočítať čiastku do vybraných nominálnych hodnôt a naopak z počtu bankoviek alebo mincí vypočíta celkovú čiastku. Po zadaní parametrov Mincovka rozlišuje mince a bankovky a to ako vo formulári, tak v zostave Mincovka. Mincovku môžeme vytvoriť tiež v EUR. |
||
Adresa v strome: [Financie] [Pokladnica] |
||
Parametre zostavy:
Currency - EUR Umožní zadať kód meny. |
RateOfVAT - N Sadzba DPH pre vytváraný pokladničný doklad. |
ReceiptForm - Nie Kompletná cesta a názov spúšťanej zostavy pokladničného dokladu |
SeparateCoinsInForm - Nie Áno - vo formulári oddelí mince od bankoviek. |
SeparateCoinsInReport - Nie Áno - v zostave Mincovka oddelí mince od bankoviek. |

Pokladničná účtenka
Číslo procesu: FIN001 |
Ident. číslo zostavy: SFIN027 |
Súbor: CASHBRLIST2.AM |
Popis zostavy: Zostava sa spúšťa z Mincovky tlačidlom "Pokladničná účtenka". Jedná sa o doklad s predvyplnenými údajmi slúžiaci ku vkladu príslušnej čiastky na bankový účet. |
||
Adresa v strome: |
||
Parametre zostavy:
Account Účet. |
Bank Banka. |
BankCode Kód banky. |
Clear - Áno Áno - prázdna účtenka. |
Currency Mena účtu. |

Saldokonto
Saldokonto podle zákazníků
Číslo procesu: FIN015 |
Ident. číslo sestavy: SCIS143 |
Soubor: OPENITEMLIST_CUSTOMER.AM |
Popis sestavy: Nad knihou Saldokonto zobrazí saldo za firmy a v rámci firem pak za jednotlivé typy dokladů. |
||
Adresa ve stromu: [Finance] [Saldokonto] |
||
Parametry sestavy:
bez parametrů |

Saldokonto
Saldokonto - základné informácie
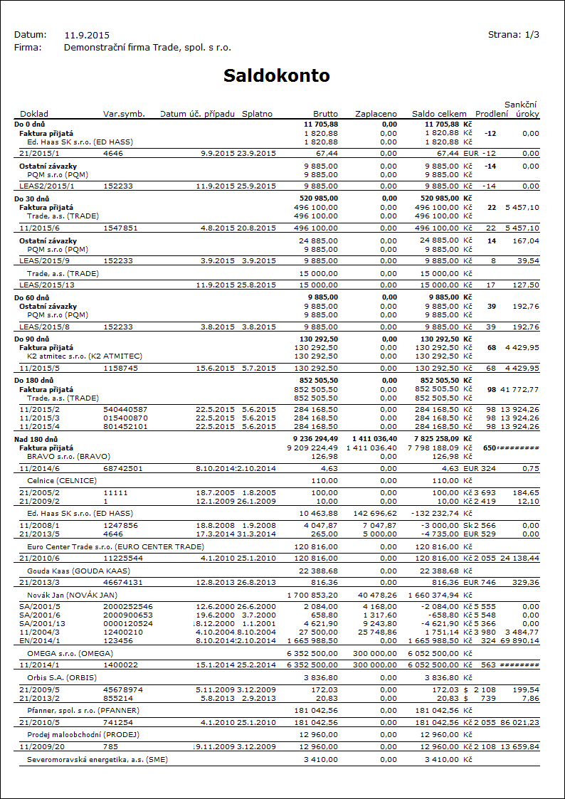
Saldokonto vyhodnocujeme v moduloch Faktúry vydané, Faktúry prijaté, Zálohy prijaté, Zálohy poskytnuté, Ostatné pohľadávky a Ostatné záväzky. Buď vyhodnocujeme každý modul zvlášť alebo formou kombinácie týchto modulov. V stromovom menu sú k dispozícii rôzne varianty zobrazenia a zotriedenia saldokontných zostáv.
Saldokonto môžeme tlačiť:
- zo stromového menu Financie/Saldokonto/Saldokonto výberom konkrétneho zotriedenia a stlačením klávesu Enter,
- z F9 nad ktorýmkoľvek modulom - zostava Saldokonto (OpenItemList.Am), Saldokonto na šírku (OpenItemList_X.Am).

Obr.: Formulár zostavy Saldokonto
Popis polí pre zoskupovanie záznamov:
Kniha |
Zotriedi záznamy podľa knihy. |
Stredisko |
Zotriedi záznamy podľa strediska. Môžeme si určiť, ktoré strediská chceme zobrazovať vyplnením polí od, do. |
Referent |
Zotriedi záznamy podľa referenta. |
Spôsob platby |
Zotriedi záznamy podľa spôsobu platby. |
Štát dod./odb. |
Zotriedi záznamy podľa štátu dodávateľa/odberateľa. |
Dodávateľ/Odberateľ |
Zotriedi záznamy podľa dodávateľa/odberateľa. Začiarknutím poľa Zobrazovať na novej stránke sa bude každý dodávateľ/odberateľ zobrazovať na zvláštnej strane. |
Účet |
Zotriedi záznamy podľa účtu faktúry. |
Lehoty |
Zotriedi záznamy podľa lehôt. Implicitne sú nastavené "0;30;60;90;180" dňové lehoty. Môžeme ich zmeniť. |
Mena |
Zotriedi záznamy podľa meny. |
Dodávateľ/Odberateľ podľa lehôt |
Zotriedi záznamy podľa lehôt. K lehotám priradí všetky doklady s dodávateľmi a odberateľmi vyhovujúcimi danej lehote. |
Popis polí pre zobrazovanie záznamov:
Faktúry vydané |
Zobrazí faktúry vydané. |
Faktúry prijaté |
Zobrazí faktúry prijaté. |
Prijaté zálohy |
Zobrazí zálohy prijaté. |
Poskytnuté zálohy |
Zobrazí zálohy poskytnuté. |
Ostatné pohľadávky |
Zobrazí ostatné pohľadávky. |
Ostatné záväzky |
Zobrazí ostatné záväzky. |
Kontajner |
Po začiarknutí tohto poľa sa budú tlačiť doklady z kontajnera. |
Filter |
Po začiarknutí tohto poľa sa budú tlačiť doklady z filtra. |
Odberateľ Dodávateľ |
Začiarknutím poľa určíme, že sa budú tlačiť doklady iba toho dodávateľa/odberateľa, na ktorom máme v knihe (nad ktorou spúšťame Saldokonto) pravítko. |
Faktúry - detail |
Zobrazia sa jednotlivé doklady (ak nie je začiarknuté, zobrazia sa iba sumy za zvolené zotriedenie). |
Kurz |
Pri dokladoch v cudzej mene zobrazí kurz. |
Saldo pred a po dátume splatnosti |
Zobrazí doklady so saldom v lehote a so saldom po dátume splatnosti. |
Platby |
K zaplateným dokladom zobrazí číslo dokladu, ktorým bola vykonaná platba, dátum zaplatenia a čiastku. |
Bank. príkazy považovať za platbu |
Po začiarknutí tohto poľa sa budú do platieb zahŕňať aj bankové príkazy. |
Platobná morálka |
Zobrazuje nezaplatené aj zaplatené doklady, výšku omeškania a sankčné úroky. Platobná morálka je podrobnejšie popísaná v nasledujúcej kapitole Platobná morálka. |
Zobraziť nadriadeného dod./odb. |
K nadriadenému dodávateľovi/odberateľovi priradí doklady patriace podriadenému dodávateľovi/odberateľovi. |
Zobraziť penále a omeškanie |
Zobrazí sankčné úroky a počet dní omeškania. |
Popis polí pre nastavenie hodnôt:
Min. rozdiel |
Je to výška salda (čiastka, ktorú zostáva zaplatiť), od ktorej sa doklady budú zobrazovať v zostave. Skript prepočítava čiastky dokladov na menu mandanta. Napr. pokiaľ je min. rozdiel „10" (Kč), zobrazí aj doklad so saldom 0,40 EUR (v kurze 1 EUR = 25 Kč). Pokiaľ je minimálny rozdiel „0", zobrazí aj úplne zaplatené doklady. |
Do dátumu |
Zobrazí saldo do dátumu, ktorý stanovíme vo formulári v poli Do dátumu. |
Názov zostavy |
Tu môžeme nastaviť názov zostavy. |
Zoradiť fakt. podľa |
Doklady zoradíme podľa dátumu splatnosti, čísla dokladu alebo podľa salda. |
Súčty zobraziť v mene mandanta |
Súčty za jednotlivých dodávateľov/odberateľov budú zobrazené v mene mandanta. |
Zobraziť inventarizáciu pohľadávok a záväzkov dohromady |
Popísané v Účtovníctve v kapitole Inventarizácia záväzkov a pohľadávok. |
Automatický výber dokladov |
Automaticky sa nafiltrujú doklady s Dátumom úč. prípadu a nezaplatené k zadanému dátumu a až nad týmto filtrom zostava prechádza jednotlivé doklady a ich platby. Umožní zrýchliť zobrazenie saldokonta nad veľkým množstvom dokladov. Pokiaľ je začiarknuté:
|
Firma z fakturačnej adresy |
Pokiaľ je zapnuté, doklady sa zoskupia podľa firmy zadanej vo fakturačnej adrese a v názve firmy sa zobrazí názov firmy uvedenej vo fakturačnej adrese dokladu. |
Zoskupiť podľa typu dokladu |
Parameter je implicitne nastavený na hodnotu Áno. Pokiaľ bude mať hodnotu Nie a budú sa zobrazovať len doklady nákupu alebo len doklady predaja, nezobrazí sa zoskupenie za typ dokladu. Využitie napr. pri zotriedení podľa účtu, kedy zobrazím v rámci účtu faktúry aj ostatné pohľadávky. |
Vo formulári môžeme nastavenie parametrov uložiť pomocou tlačidla Uložiť ako parametre zostavy. Pokiaľ pred uložením parametrov zostavy začiarkneme pole Nabudúce nezobrazovať (parameter zostavy NoInteractive = „ÁNO"), pri ďalšom spustení sa už nebude zobrazovať úvodný formulár a použijú sa uložené parametre. Pre opätovné spustenie úvodného formulára musíme nastaviť parameter zostavy NoInteractive na hodnotu „NIE" (v záložke Parametre zostavy v F9).
Zoznam parametrov saldokonta
AccBooks - U Knihy účtovníctva (oddelené bodkočiarkou), z ktorých sa zostatok hlavnej knihy napočíta. |
AllowCancelled - Áno Povoliť spracovanie stornovaných dokladov. Zobrazí stornované doklady, na ktorých je navedená platba. Jedná sa o nekorektný stav, ktorý je potrebné opraviť. |
CompanyByIdNo - Nie Áno - zoskupí doklady podľa IČDPH; Nie - zoskupí doklady podľa názvu dodávateľa/odberateľa. |
CompanyByInvoiceAddress - Nie Áno - zoskupí doklady predaja podľa firmy zadanej vo fakturačnej adrese, a v názve firmy sa zobrazí názov firmy uvedený vo fakturačnej adrese dokladu; Nie - zoskupí doklady podľa dodávateľa/odberateľa. |
CompanyByPage - Nie Áno - každý dod./odb. sa zobrazí na novej stránke. |
Contractor - Nie Áno - zobrazí faktúry aktívneho dodávateľa. |
ContractorAdv - Nie Áno - zobrazí poskytnuté zálohy pre aktívneho dodávateľa. |
ContractorLiability - Nie Áno - zobrazí ostatné záväzky pre aktívneho dodávateľa. |
CostCentreDoc - Nie Áno - triedi doklady podľa strediska z hlavičky dokladu; Nie - triedi podľa strediska z položky dokladu. |
CostCentreFrom Filter stredísk "od" podľa skratky. |
CostCentreTo Filter stredísk "do" podľa skratky. |
CurrentOwnCompanyAccountingBook - Nie Áno - pokiaľ je v nastaveniach pre vlastnú firmu uvedená knihy účtovníctva (Správa multi company/Účtovanie/Zaúčtovať do knihy), tak sa ignoruje hodnota parametra AccBooks - "[U] Knihy účtovníctva oddelené bodkočiarkou" a zostatok "Hlavnej knihy" sa napočíta pre túto účtovnú knihu. |
Customer - Nie Áno - zobrazí faktúry aktuálneho odberateľa. |
CustomerAdv - Nie Áno - zobrazí zálohy pre aktívneho odberateľa. |
CustomerReceivable - Nie Áno - zobrazí ostatné pohľadávky pre aktívneho odberateľa. |
CustomerAccTerms - Nie Áno - Zoskupí dod./odb. podľa termínov. |
Date_From - 0.0.0000 Dátum "od" pre Platobnú morálku, obmedzenie pre platby faktúry a zálohy. |
Date_To - 0.0.0000 Dátum "do" - pre Saldo, obmedzenie pre platby faktúry a zálohy. |
FirmCurrency - Nie Áno - zobrazí súčty za grupy v mene mandanta. |
GroupByDocumentType - Áno Nie - pokiaľ sa budú zobrazovať len doklady nákupu alebo len doklady predaja, nezobrazí sa zoskupenie za typ dokladu. |
IgnoreFieldRight - Nie Áno - ignoruje právo na pole. |
IgnoreInvoiceDay - Nie Áno - ignoruje dátum UZP. |
InvoiceIN - Áno Áno - zobrazí faktúry prijaté. |
InvoiceIN_F - Nie Áno - spustí sa nad kontajnerom faktúr prijatých. |
InvoiceIN_S - Nie Áno - spustí sa nad filtrom faktúr prijatých. |
InvoiceOUT - Áno Áno - zobrazí faktúry vydané. |
InvoiceOUT_F - Nie Áno - spustí sa nad kontajnerom faktúr vydaných. |
InvoiceOUT_S - Nie Áno - spustí sa nad filtrom faktúr vydaných. |
ItemOrder - 0 Zoradí faktúry podľa: 0 - dátumu splatnosti; 1 - čísla dokladu; 2 - salda. |
Liability - Áno Áno - zobrazí ostatné záväzky. |
Liability_F - Nie Áno - spustí sa nad kontajnerom ostatných záväzkov. |
Liability_S - Nie Áno - spustí sa nad filtrom ostatných záväzkov. |
ListOfTerms - 0;30;60;90;180 Zoznam lehôt oddelených ";". |
MinDiff - 0,01 Minimálny rozdiel. |
NoInteractive - Nie Áno - nezobrazí sa formulár salda; Nie - zobrazí sa formulár salda. |
OnlyBrowse - Nie Áno - spustiť iba v prehliadaní. |
OnlyConfirmed - Nie Áno - zobrazí potvrdené doklady a z nepotvrdených iba tie, na ktorých je navedená nejaká platba. Nepotvrdené doklady sa zobrazia s Brutto čiastkou 0. |
OrderByAccount - Nie Áno - zotriedenie podľa účtu. |
OrderByBook - Nie Áno - zotriedenie podľa knihy. |
OrderByCentre - Nie Áno - zotriedi podľa strediska z položiek dokladu. Pokiaľ je položka bez str., tak sa berie str. z hlavičky dokladu. Hodnota "Áno" nezobrazí platby. |
OrderByCompany - Áno Áno - zotriedenie podľa firmy. |
OrderByCurrency - Áno Áno - zotriedenie podľa meny. |
OrderByPayMethod - Nie Áno - zotriedenie podľa spôsobu platby. |
OrderByState - Nie Áno - zotriedenie podľa štátov. |
OrderByTerms - Nie Áno - zotriedenie podľa lehôt. |
Paid - Nie Áno - bankové príkazy sú považované za platbu. |
PaymentMorale - Nie Áno - zobrazí platobnú morálku. |
ProvidedAdvances - Áno Áno - zobrazí poskytnuté zálohy. |
ProvidedAdvances _F - Nie Áno - spustí sa nad kontajnerom záloh poskytnutých. |
ProvidedAdvances_S - Nie Áno - spustí sa nad filtrom záloh poskytnutých. |
Receivable - Áno Áno - zobrazí ostatné pohľadávky. |
Receivable_F - Nie Áno - spustí sa nad kontajnerom ostatných pohľadávok. |
Receivable_S - Nie Áno - spustí sa nad filtrom ostatných pohľadávok. |
ReceivedAdvances - Áno Áno - zobrazí prijaté zálohy. |
ReceivedAdvances_F - Nie Áno - spustí sa nad kontajnerom záloh prijatých. |
ReceivedAdvances_S - Nie Áno - spustí sa nad filtrom záloh prijatých. |
ReportTitle Názov zostavy. |
ShowBalanceBefAft - Nie Áno - zobrazí saldo pred a po dátume splatnosti. |
ShowCompanyAbbr - Áno Áno - zobrazí skratku dod./odb.. |
ShowCompanyIDNo - Nie Áno - zobrazí IČDPH dod./odb.. |
ShowCompanyVATRegNo - Nie Áno - zobrazí DIČ dod./odb.. |
ShowCreditNotes - Nie Áno - zobrazí dobropisy. |
ShowExchangeRate - Nie Áno - zobrazí kurz. |
ShowGenLedgerBalance - Áno Áno - pokiaľ je zapnuté zotriedenie podľa Účtu a súčasne nie je zapnuté žiadne nadriadené zotriedenie (t.j. Kniha, Stredisko, Spôsob platby, Štát, Dod./Odb.), u každého účtu sa zobrazí zostatok na účte z Hlavnej knihy a vyčísli sa rozdiel medzi čiastkou salda účtu a hlavnou knihou. |
ShowInvoices - Áno Áno - zobrazí detail faktúry a zálohy. |
ShowPayments - Nie Áno - zobrazí platby. |
ShowPenalty - Áno Áno - zobrazí penále a omeškanie; Nie - zobrazí Dátum UZP a názov dod./odb.. |
ShowSuperior - Nie Áno - zobrazí nadriadeného dod./odb.. |
ShowUnpaidInvInTerm - Áno Áno - zobrazí všetky nezaplatené faktúry s dátumom úč. prípadu od-do dátumu. |
SurveyTogether - Nie Áno - zobrazí záväzky a pohľadávky dohromady. |
UseExchangeRate2 - Áno Áno - použiť kurz 2 (kurzové rozdiely). |
Saldokonto dodavatelů a odběratelů
Číslo procesu: FIN015, CIS003 |
Ident. č. sestavy: SCIS060 |
Soubor: OPENITEMLIST.AM |
Popis sestavy: Seznam nezaplacených faktur, záloh, ostatních pohledávek a závazků seskupený podle firem. U každého dokladu je vyčísleno saldo, prodlení a penále. Za každou firmu je k dispozici celkové saldo. Sestava se spouští s úvodním formulářem pro možnost nastavení parametrů dle potřeby. |
||
Adresa ve stromu: [Finance] [Saldokonto] [Saldokonto] |
||
Parametry sestavy:
Viz parametry sestavy Saldokonto - základní informace.

Saldokonto dodavatelů a odběratelů na šířku
Č. procesu:FIN015 |
Ident. č. sest.: SCIS063 |
Soubor: OPENITEMLIST_X.AM |
Popis sestavy: Seznam nezaplacených faktur, záloh, ostatních pohledávek a závazků seskupený podle firem. U každého dokladu je vyčísleno saldo, prodlení a penále. Za každou firmu je k dispozici celkové saldo. Sestava se spouští s úvodním formulářem pro možnost nastavení parametrů dle potřeby. Sestava je na šířku. |
||
Adresa ve stromu: [Finance] [Saldokonto] [Saldokonto] |
||
Parametry sestavy:
CompanyByIdNo - Ne Ano - seskupí doklady podle IČ; Ne - seskupí doklady podle názvu dodavatele/odběratele. |
CompanyByInvoiceAddress - Ne Ano - seskupí doklady prodeje podle firmy, zadané ve fakturační adrese, a v názvu firmy se zobrazí název firmy uvedené ve fakturační adrese dokladu; Ne - seskupí doklady podle dodavatele/odběratele. |
CompanyByPage - Ne Ano - každý dod./odb. se zobrazí na nové stránce. |
Contractor - Ne Ano - zobrazí faktury aktivního dodavatele. |
ContractorAdv - Ne Ano - zobrazí poskytnuté zálohy pro aktivního dodavatele. |
ContractorLiability - Ne Ano - zobrazí ostatní závazky pro aktivního dodavatele. |
CostCentreDoc - Ne Ano - třídí doklady podle střediska z hlavičky dokladu; Ne - třídí podle střediska z položky dokladu. |
CostCentreFrom Filtr středisek "od" podle zkratky. |
CostCentreTo Filtr středisek "do" podle zkratky. |
Customer - Ne Ano - zobrazí faktury aktuálního odběratele. |
CustomerAdv - Ne Ano - zobrazí přijaté zálohy pro aktivního odběratele. |
CustomerAccTerms - Ne Ano - Seskupí dod./odb. podle termínů. |
CustomerReceivable - Ne Ano - zobrazí ostatní pohledávky pro aktivního odběratele. |
Date_From - 0.0.0000 Datum "od" pro Platební morálku, omezení pro platby a faktury a zálohy. |
Date_To - 0.0.0000 Datum "do" - pro Saldo, omezení pro platby a faktury a zálohy. |
FirmCurrency - Ne Ano - zobrazí součty za grupy v měně mandanta. |
IgnoreFieldRight - Ne Ano - ignoruje právo na pole. |
IgnoreInvoiceDay - Ne Ano - ignoruje datum UZP. |
InvoiceIN - Ano Ano - zobrazí faktury přijaté. |
InvoiceIN_F - Ne Ano - spustí se nad kontejnerem faktur přijatých. |
InvoiceIN_S - Ne Ano - spustí se nad filtrem faktur přijatých. |
InvoiceOUT - Ano Ano - zobrazí faktury vydané. |
InvoiceOUT_F - Ne Ano - spustí se nad kontejnerem faktur vydaných. |
InvoiceOUT_S - Ne Ano - spustí se nad filtrem faktur vydaných. |
ItemOrder - 0 Seřadí faktury podle: 0-data splatnosti; 1-čísla dokladu; 2-salda. |
Liability - Ano Ano - zobrazí ostatní závazky. |
Liability_F - Ne Ano - spustí se nad filtrem ostatních závazků. |
Liability_S - Ne Ano - spustí se nad výběrem ostatních závazků. |
ListOfTerms - 0 (30;60;90;180) Seznam lhůt oddělených ";". |
MinDiff - 0,01 Minimální rozdíl. |
NoInteractive - Ne Ano - nezobrazí se formulář salda; Ne - zobrazí se formulář salda. |
OrderByAccount - Ne Ano - setřídění podle účtu. |
OrderByBook - Ne Ano - setřídění podle knihy. |
OrderByCentre - Ne Ano - setřídí podle střediska z položek dokladu. Pokud je položka bez stř., tak se bere stř. z hlavičky dokladu. Hodnota "Ano" nezobrazí platby |
OrderByCompany - Ano Ano - setřídění podle firmy. |
OrderByCurrency - Ano Ano - setřídění podle měny. |
OrderByPayMethod - Ne Ano - setřídění podle způsobu platby. |
OrderByState - Ne Ano - setřídění podle států. |
OrderByTerms - Ne Ano - setřídění podle lhůt. |
Paid - Ne Ano - bankovní příkazy jsou považovány za platbu. |
PaymentMorale - Ne Ano - zobrazí platební morálku. |
ProvidedAdvances - Ano Ano - zobrazí poskytnuté zálohy. |
ProvidedAdvances _F - Ne Ano - spustí se nad filtrem záloh poskytnutých. |
ProvidedAdvances_S - Ne Ano - spustí se nad výběrem záloh poskytnutých. |
Receivable - Ano Ano - zobrazí ostatní pohledávky. |
Receivable_F - Ne Ano - spustí se nad kontejnerem ostatních pohledávek. |
Receivable_S - Ne Ano - spustí se nad filtrem ostatních pohledávek. |
ReceivedAdvances - Ano Ano - zobrazí přijaté zálohy. |
ReceivedAdvances_F - Ne Ano - spustí se nad kontejnerem záloh přijatých. |
ReceivedAdvances_S - Ne Ano - spustí se nad filtrem záloh přijatých. |
ReportTitle Název sestavy. |
ShowBalanceBefAft - Ne Ano - zobrazí saldo před a po datu splatnosti. |
ShowCompanyAbbr - Ano Ano - zobrazí zkratku dod./odb.. |
ShowCompanyIDNo - Ne Ano - zobrazí IČ dod./odb.. |
ShowCompanyVATRegNo - Ne Ano - zobrazí DIČ dod./odb.. |
ShowCreditNotes - Ne Ano - zobrazí dobropisy. |
ShowExchangeRate - Ne Ano - zobrazí kurz. |
ShowInvoices - Ano Ano - zobrazí detail faktury a zálohy. |
ShowPayments - Ne Ano - zobrazí platby. |
ShowPenalty - Ano Ano - zobrazí penále a prodlení; Ne - zobrazí Datum UZP a název dod./odb.. |
ShowSuperior - Ne Ano - zobrazí nadřízeného dod./odb.. |
ShowUnpaidInvInTerm - Ano Ano - zobrazí nezaplacené faktury s datem splatnosti ve lhůtě. |
SurveyTogether - Ne Ano - zobrazí závazky a pohledávky dohromady. |
UseExchangeRate2 - Ano Ano - použít kurz 2 (kurzové rozdíly). |

Saldokonto - porovnání za období
Č. procesu:FIN015 |
Ident. č. sest.: SCIS139 |
Soubor: OPENITEMLIST_X02.AM |
Popis sestavy: Seznam nezaplacených faktur, záloh, ostatních pohledávek a závazků ke dvěma různým datům a zaplacená částka mezi těmito daty. Ve vstupním formuláři sestavy zadáme Datum od a Datum do. V sestavě se zobrazí Brutto, Zaplaceno k 1. datu, Saldo k 1. datu, Zaplaceno k 2. datu, Saldo k 2. datu. V posledním sloupci se zobrazí částka, zaplacená za vybrané období. Za každou měnu je k dispozici celkové saldo. Sestava je na šířku. |
||
Adresa ve stromu: [Finance] [Saldokonto] [Saldokonto] |
||
Parametry sestavy:
CompanyByIdNo - Ne Ano - seskupí doklady podle IČ; Ne - seskupí doklady podle názvu dodavatele/odběratele. |
CompanyByInvoiceAddress - Ne Ano - seskupí doklady prodeje podle firmy, zadané ve fakturační adrese, a v názvu firmy se zobrazí název firmy uvedené ve fakturační adrese dokladu; Ne - seskupí doklady podle dodavatele/odběratele. |
CompanyByPage - Ne Ano - každý dod./odb. se zobrazí na nové stránce. |
Contractor - Ne Ano - zobrazí faktury aktivního dodavatele. |
ContractorAdv - Ne Ano - zobrazí poskytnuté zálohy pro aktivního dodavatele. |
ContractorLiability - Ne Ano - zobrazí ostatní závazky pro aktivního dodavatele. |
CostCentreDoc - Ne Ano - třídí doklady podle střediska z hlavičky dokladu; Ne - třídí podle střediska z položky dokladu. |
CostCentreFrom Filtr středisek "od" podle zkratky. |
CostCentreTo Filtr středisek "do" podle zkratky. |
Customer - Ne Ano - zobrazí faktury aktuálního odběratele. |
CustomerAdv - Ne Ano - zobrazí přijaté zálohy pro aktivního odběratele. |
CustomerAccTerms - Ne Ano - Seskupí dod./odb. podle termínů. |
CustomerReceivable - Ne Ano - zobrazí ostatní pohledávky pro aktivního odběratele. |
Date_From - 0.0.0000 Datum od - první datum, ke kterému vyhodnocujeme saldo. |
Date_To - 0.0.0000 Datum do - druhé datum, ke kterému vyhodnocujeme saldo. |
FirmCurrency - Ne Ano - zobrazí součty za grupy v měně mandanta. |
IgnoreFieldRight - Ne Ano - ignoruje právo na pole. |
IgnoreInvoiceDay - Ne Ano - ignoruje datum UZP. |
InvoiceIN - Ano Ano - zobrazí faktury přijaté. |
InvoiceIN_F - Ne Ano - spustí se nad kontejnerem faktur přijatých. |
InvoiceIN_S - Ne Ano - spustí se nad filtrem faktur přijatých. |
InvoiceOUT - Ano Ano - zobrazí faktury vydané. |
InvoiceOUT_F - Ne Ano - spustí se nad kontejnerem faktur vydaných. |
InvoiceOUT_S - Ne Ano - spustí se nad filtrem faktur vydaných. |
ItemOrder - 0 Seřadí faktury podle: 0-data splatnosti; 1-čísla dokladu; 2-salda. |
ListOfTerms - 0;30;60;90;180 Seznam lhůt oddělených ";". |
MinDiff - 0,01 Minimální rozdíl. |
NoInteractive - Ne Ano - nezobrazí se formulář salda; Ne - zobrazí se formulář salda. |
OrderByAccount - Ne Ano - setřídění podle účtu. |
OrderByBook - Ne Ano - setřídění podle knihy. |
OrderByCentre - Ne Ano - setřídí podle střediska z položek dokladu. Pokud je položka bez stř., tak se bere stř. z hlavičky dokladu. Hodnota "Ano" nezobrazí platby |
OrderByCompany - Ano Ano - setřídění podle firmy. |
OrderByCurrency - Ano Ano - setřídění podle měny. |
OrderByPayMethod - Ne Ano - setřídění podle způsobu platby. |
OrderByState - Ne Ano - setřídění podle států. |
OrderByTerms - Ne Ano - setřídění podle lhůt. |
Paid - Ne Ano - bankovní příkazy jsou považovány za platbu. |
PaymentMorale - Ne Ano - zobrazí platební morálku. |
ProvidedAdvances - Ano Ano - zobrazí poskytnuté zálohy. |
ProvidedAdvances _F - Ne Ano - spustí se nad kontejnerem záloh poskytnutých. |
ProvidedAdvances_S - Ne Ano - spustí se nad filtrem záloh poskytnutých. |
Receivable - Ano Ano - zobrazí ostatní pohledávky. |
Receivable_F - Ne Ano - spustí se nad filtrem ostatních pohledávek. |
Receivable_S - Ne Ano - spustí se nad výběrem ostatních pohledávek. |
ReceivedAdvances - Ano Ano - zobrazí přijaté zálohy. |
ReceivedAdvances_F - Ne Ano - spustí se nad kontejnerem záloh přijatých. |
ReceivedAdvances_S - Ne Ano - spustí se nad filtrem záloh přijatých. |
ReportTitle Název sestavy. |
ShowBalanceBefAft - Ne Ano - zobrazí saldo před a po datu splatnosti. |
ShowCompanyAbbr - Ano Ano - zobrazí zkratku dod./odb.. |
ShowCompanyIDNo - Ne Ano - zobrazí IČ dod./odb.. |
ShowCompanyVATRegNo - Ne Ano - zobrazí DIČ dod./odb.. |
ShowCreditNotes - Ne Ano - zobrazí dobropisy. |
ShowExchangeRate - Ne Ano - zobrazí kurz. |
ShowInvoices - Ano Ano - zobrazí detail faktury a zálohy. |
ShowPayments - Ne Ano - zobrazí platby. |
ShowPenalty - Ano Ano - zobrazí penále a prodlení; Ne - zobrazí Datum UZP a název dod./odb.. |
ShowSuperior - Ne Ano - zobrazí nadřízeného dod./odb.. |
ShowUnpaidInvInTerm - Ano Ano - zobrazí nezaplacené faktury s datem splatnosti ve lhůtě. |
SurveyTogether - Ne Ano - zobrazí závazky a pohledávky dohromady. |
UseExchangeRate2 - Ano Ano - použít kurz 2 (kurzové rozdíly). |

Saldokonto podle data splatnosti
Č. procesu:FIN015 |
Ident. č. sest.: SCIS142 |
Soubor: OIL_MaturityDay.AM |
Popis sestavy: Seznam nezaplacených dokladů seskupený podle data splatnosti. Po spuštění se zadá Datum splatnosti a minimální rozdíl. U dokladů se zobrazí částky v měně mandanta. |
||
Adresa ve stromu: |
||
Parametry sestavy:
Pozn.: V sestavě nejsou funkční všechny parametry, ale pouze parametry zde uvedené.
CompanyByInvoiceAddress - Ne Ano - v názvu firmy se zobrazí název firmy uvedené ve fakturační adrese dokladu; Ne - zobrazí se dodavatel/odběratel. |
FirmCurrency - Ne Ano - zobrazí součty za grupy v měně mandanta. |
IgnoreFieldRight - Ne Ano - ignoruje právo na pole. |
IgnoreInvoiceDay - Ne Ano - ignoruje datum UZP. |
MinDiff - 0,01 Minimální rozdíl. |
OnlyBrowse - Ne Ano - spustit pouze v prohlížení |
OnlyConfirmed - Ne Ano - zobrazí potvrzené doklady a z nepotvrzených jen ty, na kterých je navedená nějaká platba. Nepotvrzené doklady se zobrazí s Brutto částkou 0. |
ReportTitle Název sestavy. |
ShowCompanyAbbr - Ano Ano - zobrazí zkratku dod./odb.. |
ShowCompanyIDNo - Ne Ano - zobrazí IČ dod./odb.. |
ShowCompanyVATRegNo - Ne Ano - zobrazí DIČ dod./odb.. |
ShowExchangeRate - Ne Ano - zobrazí kurz. |
UseExchangeRate2 - Ano Ano - použít kurz 2 (kurzové rozdíly). |

Saldokonto nákup
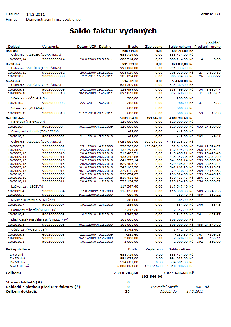
Saldo faktur podle dodavatele
Číslo procesu: FIN015 |
Ident. č. sestavy: SCIS130 |
Soubor: OPENITEMLIST.AM |
Popis sestavy: Seznam nezaplacených faktur přijatých seskupených podle dodavatele. Po kliknutí na dodavatele se zobrazí jednotlivé faktury. |
||
Adresa ve stromu: [Finance] [Saldokonto] [Saldokonto nákup] |
||
Parametry sestavy:
Viz parametry sestavy Saldokonto - základní informace. Odlišně jsou nastaveny tyto parametry:
InvoiceOUT - Ne |
Liability - Ne |
OrderByCurrency - Ne |
ProvidedAdvances - Ne |
Receivable - Ne |
ReceivedAdvances - Ne |
ShowInvoices - Ne |

Saldo nákup podle dodavatele
Číslo procesu: FIN015 |
Ident. č. sestavy: SCIS131 |
Soubor: OPENITEMLIST.AM |
Popis sestavy: Seznam nezaplacených faktur přijatých, záloh poskytnutých a ostatních závazků seskupených podle dodavatele. Kliknutím na dodavatele se zobrazí jednotlivé doklady. |
||
Adresa ve stromu: [Finance] [Saldokonto] [Saldokonto nákup] |
||
Parametry sestavy:
Viz parametry sestavy Saldokonto - základní informace. Odlišně jsou nastaveny tyto parametry:
InvoiceOUT - Ne |
OrderByCurrency - Ne |
Receivable - Ne |
ReceivedAdvances - Ne |
ShowInvoices - Ne |

Saldo faktur podle dodavatele podrobné
Číslo procesu: FIN015 |
Ident. č. sestavy: SCIS082 |
Soubor: OPENITEMLIST.AM |
|
Popis sestavy: Seznam nezaplacených faktur přijatých seskupených podle dodavatele. U každé faktury je vyčísleno saldo, prodlení a penále. U každého dodavatele je vyčísleno Saldo po splatnosti a Saldo ve lhůtě. U částečně zaplacených faktur jsou zobrazeny platby, u faktur v cizí měně je zobrazen přepočet na Kč. |
|||
Adresa ve stromu: [Finance] [Saldokonto] [Saldokonto nákup] |
|||
Parametry sestavy:
Viz parametry sestavy Saldokonto - základní informace. Odlišně jsou nastaveny tyto parametry:
InvoiceOut - Ne |
Liability - Ne |
OrderByCurrency - Ne |
ProvidedAdvances - Ne |
Receivable - Ne |
ReceivedAdvances - Ne |
ShowalanceBefAft - Ano |
ShowExchangeRate - Ano |
ShowPayments - Ano |

Saldo nákup podle dodavatele podrobné
Číslo procesu: FIN015 |
Ident. č. sestavy: SCIS138 |
Soubor: OPENITEMLIST.AM |
|
Popis sestavy: Seznam nezaplacených faktur přijatých, záloh poskytnutých a ostatních závazků seskupených podle dodavatele. U každého dokladu je vyčísleno saldo, prodlení a penále. U každého dodavatele je vyčísleno Saldo po splatnosti a Saldo ve lhůtě zvlášť pro každý typ dokladu. U částečně zaplacených dokladů jsou zobrazeny platby, u dokladů v cizí měně je zobrazen přepočet na Kč. |
|||
Adresa ve stromu: [Finance] [Saldokonto] [Saldokonto nákup] |
|||
Parametry sestavy:
Viz parametry sestavy Saldokonto - základní informace. Odlišně jsou nastaveny tyto parametry:
InvoiceOut - Ne |
OrderByCurrency - Ne |
Receivable - Ne |
ReceivedAdvances - Ne |
ShowalanceBefAft - Ano |
ShowExchangeRate - Ano |
ShowPayments - Ano |

Saldo faktur podle dodavatele a lhůt
Číslo procesu: FIN015 |
Ident. č. sestavy: SCIS084 |
Soubor: OPENITEMLIST.AM |
Popis sestavy: Seznam nezaplacených faktur přijatých seskupený podle lhůt po splatnosti. U každé faktury je vyčísleno saldo, prodlení a penále. Za každou lhůtu je k dispozici celkové saldo. |
||
Adresa ve stromu: [Finance] [Saldokonto] [Saldokonto nákup] |
||
Parametry sestavy:
Viz parametry sestavy Saldokonto - základní informace. Odlišně jsou nastaveny tyto parametry:
InvoiceOut - Ne |
Liability - Ne |
OrderByCurrency - Ne |
OrderByTerms - Ano |
ProvidedAdvances - Ne |
Receivable - Ne |
ReceivedAdvances - Ne |
ShowExchangeRate - Ano |

Saldo faktur podle lhůt a dodavatele
Číslo procesu: FIN015 |
Ident. č. sestavy: SCIS103 |
Soubor: OPENITEMLIST.AM |
Popis sestavy: Seznam nezaplacených faktur přijatých seskupený podle lhůt po splatnosti a podle dodavatele. U každé faktury je vyčísleno saldo, prodlení a penále. Za každou lhůtu a dodavatele je k dispozici celkové saldo. |
||
Adresa ve stromu: [Finance] [Saldokonto] [Saldokonto nákup] |
||
Parametry sestavy:
Viz parametry sestavy Saldokonto - základní informace. Odlišně jsou nastaveny tyto parametry:
CustomerAccTerms - Ano |
InvoiceOut - Ne |
Liability - Ne |
OrderByCurrency - Ne |
OrderByTerms - Ano |
ProvidedAdvances - Ne |
Receivable - Ne |
ReceivedAdvances - Ne |
ShowExchangeRate - Ano |

Saldo nákup podle lhůt
Číslo procesu:FIN015 |
Ident. č. sestavy: SCIS099 |
Soubor: OPENITEMLIST.AM |
Popis sestavy: Sestava obsahuje seznam nezaplacených faktur přijatých, záloh poskytnutých a ostatních závazků seskupený podle lhůt po splatnosti. U každého dokladu je vyčísleno saldo, prodlení a penále. Za každou lhůtu je k dispozici celkové saldo. |
||
Adresa ve stromu: [Finance] [Saldokonto] [Saldokonto nákup] |
||
Parametry sestavy:
Viz parametry sestavy Saldokonto - základní informace. Odlišně jsou nastaveny tyto parametry:
CustomerAccTerms - Ano |
InvoiceOut - Ne |
OrderByCurrency - Ne |
OrderByCompany - Ne |
OrderByTerms - Ano |
Receivable - Ne |
ReceivedAdvances - Ne |

Saldo faktur podle účtu
Číslo procesu:FIN015 |
Ident. č. sestavy: SCIS101 |
Soubor: OPENITEMLIST.AM |
Popis sestavy: Sestava obsahuje seznam nezaplacených faktur přijatých seskupený podle závazkového účtu. U každé faktury je vyčísleno brutto, zaplaceno a saldo. Za každý účet je k dispozici celkové saldo. |
||
Adresa ve stromu: [Finance] [Saldokonto] [Saldokonto nákup] |
||
Parametry sestavy:
Viz parametry sestavy Saldokonto - základní informace. Odlišně jsou nastaveny tyto parametry:
InvoiceOut - Ne |
Liability - Ne |
OrderByAccount - Ano |
OrderByCompany - Ne |
ProvidedAdvances - Ne |
Receivable - Ne |
ReceivedAdvances - Ne |
ShowExchangeRate - Ano |

Saldo nákup po firmách
Č. procesu:FIN015 |
Ident. č. sest.: SCIS119 |
Soubor: OPENITEMLIST.AM |
|
Popis sestavy: Seznam nezaplacených faktur přijatých, záloh poskytnutých a ostatních závazků seskupených podle firem. Každá firma se zobrazí na samostatné straně. U každého dokladu je vyčísleno saldo, prodlení a penále. |
|||
Adresa ve stromu: [Finance] [Saldokonto] [Saldokonto nákup] |
|||
Parametry sestavy:
Viz parametry sestavy Saldokonto - základní informace. Odlišně jsou nastaveny tyto parametry:
CompanyByPage - Ano |
InvoiceOut - Ne |
OrderByCurrency - Ne |
Receivable - Ne |
ReceivedAdvances - Ne |
ShowExchangeRate - Ano |

Platební morálka k dodavatelům
Číslo procesu: FIN015 |
Ident. č. sestavy: SCIS095 |
Soubor: OPENITEMLIST.AM |
Popis sestavy: Sestava zobrazuje platební morálku k jednotlivým dodavatelům za zadané období. Faktury a ostatní závazky jsou seskupeny podle dodavatelů. Za každého dodavatele jsou doklady rozčleněny na zaplacené a nezaplacené před datem splatnosti a nezaplacené po datu splatnosti. Do sestavy je možné zahrnout i zálohy poskytnuté zatržením parametru ProvidedAdvances při spuštění sestavy. |
||
Adresa ve stromu: [Finance] [Saldokonto] [Saldokonto nákup] |
||
Parametry sestavy:
Viz parametry sestavy Saldokonto - základní informace. Odlišně jsou nastaveny tyto parametry:
InvoiceOut - Ne |
OrderByCurrency - Ne |
ProvidedAdvances - Ne |
Receivable - Ne |
ReceivedAdvances - Ne |
ShowBalanceBeAft - Ano |

Saldokonto nákup na šířku
Saldo faktur podle dodavatele (š)
Číslo procesu: FIN015 |
Ident. č. sestavy: SCIS086 |
Soubor: OPENITEMLIST_X.AM |
Popis sestavy: Seznam nezaplacených faktur přijatých seskupených podle dodavatele. Rozkliknutím dodavatele se zobrazí jednotlivé faktury. Sestava je na šířku. |
||
Adresa ve stromu: [Finance] [Saldokonto] [Saldokonto nákup] [Saldokonto nákup na šířku] |
||
Parametry sestavy:
Viz parametry sestavy Saldokonto dodavatelů a odběratelů na šířku. Odlišně jsou nastaveny tyto parametry:
InvoiceOut - Ne |
Liability - Ne |
OrderByCurrency - Ne |
ProvidedAdvances - Ne |
Receivable - Ne |
ReceivedAdvances - Ne |
ShowInvoices - Ne |

Saldo nákup podle dodavatele (š)
Číslo procesu: FIN015 |
Ident. č. sestavy: SCIS134 |
Soubor: OPENITEMLIST_X.AM |
Popis sestavy: Seznam nezaplacených faktur přijatých, záloh poskytnutých a ostatních závazků seskupených podle dodavatele. Rozkliknutím dodavatele se zobrazí jednotlivé doklady. Sestava je na šířku. |
||
Adresa ve stromu: [Finance] [Saldokonto] [Saldokonto nákup] [Saldokonto nákup na šířku] |
||
Parametry sestavy:
Viz parametry sestavy Saldokonto dodavatelů a odběratelů na šířku. Odlišně jsou nastaveny tyto parametry:
InvoiceOUT - Ne |
OrderByCurrency - Ne |
Receivable - Ne |
ReceivedAdvances - Ne |
ShowInvoices - Ne |

Saldo faktur podle dodavatele podrobné (š)
Číslo procesu: FIN015 |
Ident. č. sestavy: SCIS088 |
Soubor: OPENITEMLIST_X.AM |
|
Popis sestavy: Seznam nezaplacených faktur přijatých seskupených podle dodavatele. U každé faktury je vyčísleno saldo, prodlení a penále. U každého dodavatele je vyčísleno Saldo po splatnosti v jednotlivých lhůtách. U částečně zaplacených faktur jsou zobrazeny platby, u faktur v cizí měně je zobrazen přepočet na Kč. Sestava je na šířku. |
|||
Adresa ve stromu: [Finance] [Saldokonto] [Saldokonto nákup] [Saldokonto nákup_na šířku] |
|||
Parametry sestavy:
Viz parametry sestavy Saldokonto - základní informace. Odlišně jsou nastaveny tyto parametry:
InvoiceOut - Ne |
Liability - Ne |
OrderByCurrency - Ne |
ProvidedAdvances - Ne |
Receivable - Ne |
ReceivedAdvances - Ne |
ShowExchangeRate - Ano |
ShowPayments - Ano |

Saldo nákup podle dodavatele podrobné (š)
Číslo procesu: FIN015 |
Ident. č. sestavy: SCIS136 |
Soubor: OPENITEMLIST_X.AM |
|
Popis sestavy: Seznam nezaplacených faktur přijatých, záloh poskytnutých a ostatních závazků seskupených podle dodavatele. U každého dokladu je vyčísleno saldo, prodlení a penále. U každého dodavatele je vyčísleno Saldo v jednotlivých lhůtách. U částečně zaplacených dokladů jsou zobrazeny platby, u dokladů v cizí měně je zobrazen přepočet na Kč. Sestava je na šířku. |
|||
Adresa ve stromu: [Finance] [Saldokonto] [Saldokonto nákup] [Saldokonto nákup_na šířku] |
|||
Parametry sestavy:
Viz parametry sestavy Saldokonto - základní informace. Odlišně jsou nastaveny tyto parametry:
InvoiceOut - Ne |
OrderByCurrency - Ne |
Receivable - Ne |
ReceivedAdvances - Ne |
ShowalanceBefAft - Ne |
ShowExchangeRate - Ano |
ShowPayments - Ano |

Saldo faktur podle dodavatele a lhůt (š)
Číslo procesu:FIN015 |
Ident. č. sestavy: SCIS105 |
Soubor: OPENITEMLIST_X.AM |
|
Popis sestavy: Seznam nezaplacených faktur přijatých seskupený podle lhůt po splatnosti. U každé faktury je vyčísleno saldo, prodlení a penále. Za každou lhůtu je k dispozici celkové saldo. Sestava je na šířku. |
|||
Adresa ve stromu: [Finance] [Saldokonto] [Saldokonto nákup] [Saldokonto nákup na šířku] |
|||
Parametry sestavy:
Viz parametry sestavy Saldokonto na šířku. Odlišně jsou nastaveny tyto parametry:
InvoiceOut - Ne |
Liability - Ne |
OrderByCurrency - Ne |
ProvidedAdvances - Ne |
Receivable - Ne |
ReceivedAdvances - Ne |
ShowExchangeRate - Ano |

Saldo faktur podle dodavatele podrobné bez lhůt (š)
Číslo procesu: FIN015 |
Identifikační číslo sestavy: SCIS108 |
Soubor: OPENITEMLIST_X01.AM |
Popis sestavy: Seznam nezaplacených přijatých faktur. U každé faktury je vyčísleno saldo, prodlení a penále. U každého dodavatele je vyčísleno Saldo ve splatnosti a Saldo po splatnosti. Sestava je na šířku. |
||
Adresa ve stromu: [Finance] [Saldokonto] [Saldokonto nákup] [Saldokonto nákup na šířku] |
||
Parametry sestavy:
CompanyByIdNo - Ne Ano - seskupí doklady podle IČ; Ne - seskupí doklady podle názvu dodavatele/odběratele. |
CompanyByInvoiceAddress - Ne Ano - seskupí doklady prodeje podle firmy, zadané ve fakturační adrese, a v názvu firmy se zobrazí název firmy uvedené ve fakturační adrese dokladu; Ne - seskupí doklady podle dodavatele/odběratele. |
CompanyByPage - Ne Ano - každý dod./odb. se zobrazí na nové stránce. |
Contractor - Ne Ano - zobrazí faktury aktivního dodavatele. |
ContractorAdv - Ne Ano - zobrazí poskytnuté zálohy pro aktivního dodavatele. |
ContractorLiability - Ne Ano - zobrazí ostatní závazky pro aktivního dodavatele. |
CostCentreDoc - Ne Ano - třídí doklady podle střediska z hlavičky dokladu; Ne - třídí podle střediska z položky dokladu. |
CostCentreFrom Filtr středisek "od" podle zkratky. |
CostCentreTo Filtr středisek "do" podle zkratky. |
Customer - Ne Ano - zobrazí faktury aktuálního odběratele. |
CustomerAdv - Ne Ano - zobrazí přijaté zálohy pro aktivního odběratele. |
CustomerAccTerms - Ne Ano - Seskupí dod./odb. podle termínů. |
Customerreceivable - Ne Ano - zobrazí ostatní pohledávky pro aktivního odběratele. |
Date_From - 0.0.0000 Datum "od" pro Platební morálku, omezení pro platby a faktury a zálohy. |
Date_To - 0.0.0000 Datum "do" - pro Saldo, omezení pro platby a faktury a zálohy. |
FirmCurrency - Ne Ano - zobrazí součty za grupy v měně mandanta. |
IgnoreFieldRight - Ne Ano - ignoruje právo na pole. |
IgnoreInvoiceDay - Ne Ano - ignoruje datum UZP. |
InvoiceIN - Ano Ano - zobrazí faktury přijaté. |
InvoiceIN_F - Ne Ano - spustí se nad filtrem faktur přijatých. |
InvoiceIN_S - Ne Ano - spustí se nad výběrem faktur přijatých. |
InvoiceOUT - Ne Ano - zobrazí faktury vydané. |
InvoiceOUT_F - Ne Ano - spustí se nad filtrem faktur vydaných. |
InvoiceOUT_S - Ne Ano - spustí se nad výběrem faktur vydaných. |
ItemOrder - 0 Seřadí faktury podle: 0 - data splatnosti; 1 - čísla dokladu; 2 - salda. |
Liability - Ano Ano - zobrazí ostatní závazky. |
Liability_F - Ne Ano - spustí se nad filtrem ostatních závazků. |
Liability_S - Ne Ano - spustí se nad výběrem ostatních závazků. |
ListOfTerms - 0;30;60;90;180 Seznam lhůt oddělených ";". |
MinDiff - 0,01 Minimální rozdíl. |
NoInteractive - Ne Ano - nezobrazí se formulář salda; Ne - zobrazí se formulář salda. |
OrderByAccount - Ne Ano - setřídění podle účtu. |
OrderByBook - Ne Ano - setřídění podle knihy. |
OrderByCentre - Ne Ano - setřídí podle střediska z položek dokladu. Pokud je položka bez stř., tak se bere stř. z hlavičky dokladu. Hodnota "Ano" nezobrazí platby |
OrderByCompany - Ano Ano - setřídění podle firmy. |
OrderByCurrency - Ne Ano - setřídění podle měny. |
OrderByPayMethod - Ne Ano - setřídění podle způsobu platby. |
OrderByState - Ne Ano - setřídění podle států. |
OrderByTerms - Ne Ano - setřídění podle lhůt. |
Paid - Ne Ano - bankovní příkazy jsou považovány za platbu. |
PaymentMorale - Ne Ano - zobrazí platební morálku. |
ProvidedAdvances - Ne Ano - zobrazí poskytnuté zálohy. |
ProvidedAdvances _F - Ne Ano - spustí se nad filtrem záloh poskytnutých. |
ProvidedAdvances_S - Ne Ano - spustí se nad výběrem záloh poskytnutých. |
Receivable - Ano Ano - zobrazí ostatní pohledávky. |
Receivable_F - Ne Ano - spustí se nad filtrem ostatních pohledávek. |
Receivable_S - Ne Ano - spustí se nad výběrem ostatních pohledávek. |
ReceivedAdvances - Ano Ano - zobrazí přijaté zálohy. |
ReceivedAdvances_F - Ne Ano - spustí se nad filtrem záloh přijatých. |
ReceivedAdvances_S - Ne Ano - spustí se nad výběrem záloh přijatých. |
ReportTitle Název sestavy. |
ShowBalanceBefAft - Ano Ano - zobrazí saldo před a po datu splatnosti. |
ShowCompanyAbbr - Ano Ano - zobrazí zkratku dod./odb.. |
ShowCompanyIDNo - Ne Ano - zobrazí IČ dod./odb.. |
ShowCompanyVATRegNo - Ne Ano - zobrazí DIČ dod./odb.. |
ShowCreditNotes - Ne Ano - zobrazí dobropisy. |
ShowExchangeRate - Ne Ano - zobrazí kurz. |
ShowInvoices - Ano Ano - zobrazí detail faktury a zálohy. |
ShowPayments - Ne Ano - zobrazí platby. |
ShowPenalty - Ano Ano - zobrazí penále a prodlení; Ne - zobrazí Datum UZP a název dod./odb.. |
ShowSuperior - Ne Ano - zobrazí nadřízeného dod./odb.. |
ShowUnpaidInvInTerm - Ano Ano - zobrazí nezaplacené faktury s datem splatnosti ve lhůtě. |
SurveyTogether - Ne Ano - zobrazí závazky a pohledávky dohromady. |
UseExchangeRate2 - Ano Ano - použít kurz 2 (kurzové rozdíly). |

Saldo nákup po firmách (š)
Č. procesu:FIN015 |
Ident. č. sest.: SCIS137 |
Soubor: OPENITEMLIST_X.AM |
Popis sestavy: Seznam nezaplacených faktur přijatých, záloh poskytnutých a ostatních závazků seskupených podle firem. U každého dokladu je vyčísleno saldo, prodlení a penále. Za každou měnu je k dispozici celkové saldo. Sestava je na šířku. |
||
Adresa ve stromu: [Finance] [Saldokonto] [Saldokonto nákup] [Saldokonto nákup na šířku] |
||
Parametry sestavy:
Viz parametry sestavy Saldokonto na šířku. Odlišně jsou nastaveny tyto parametry:
CompanyByPage - Ano |
InvoiceOUT - Ne |
Receivable - Ne |
ReceivedAdvances - Ne |
ShowExchangeRate - Ano |

Saldokonto prodej
Saldo faktur podle zákazníka
Číslo procesu: FIN015 |
Ident. č. sestavy: SCIS079 |
Soubor: OPENITEMLIST.AM |
Popis sestavy: Seznam nezaplacených faktur vydaných seskupených podle zákazníka. Po kliknutí na zákazníka se zobrazí jednotlivé faktury. |
||
Adresa ve stromu: [Finance] [Saldokonto] [Saldokonto prodej] |
||
Parametry sestavy:
Viz parametry sestavy Saldokonto - základní informace. Odlišně jsou nastaveny tyto parametry:
InvoiceIN - Ne |
Liability - Ne |
OrderByCurrency - Ne |
ProvidedAdvances - Ne |
Receivable - Ne |
ReceivedAdvances - Ne |
ShowInvoices - Ne |

Saldo prodej podle zákazníka
Číslo procesu: FIN015 |
Ident. č. sestavy: SCIS080 |
Soubor: OPENITEMLIST.AM |
Popis sestavy: Seznam nezaplacených faktur vydaných, záloh přijatých a ostatních pohledávek seskupených podle zákazníka. Po kliknutí na zákazníka se zobrazí jednotlivé faktury. |
||
Adresa ve stromu: [Finance] [Saldokonto] [Saldokonto prodej] |
||
Parametry sestavy:
Viz parametry sestavy Saldokonto - základní informace. Odlišně jsou nastaveny tyto parametry:
InvoiceIN - Ne |
Liability - Ne |
OrderByCurrency - Ne |
ProvidedAdvances - Ne |
ShowInvoices - Ne |

Saldo faktur podle zákazníka podrobné
Číslo procesu: FIN015 |
Ident. č. sestavy: SCIS081 |
Soubor: OPENITEMLIST.AM |
|
Popis sestavy: Seznam nezaplacených faktur vydaných seskupených podle zákazníka. U každé faktury je vyčísleno saldo, prodlení a penále. U každého zákazníka je vyčísleno Saldo po splatnosti a Saldo ve lhůtě. U částečně zaplacených faktur jsou zobrazeny platby, u faktur v cizí měně je zobrazen přepočet na Kč. |
|||
Adresa ve stromu: [Finance] [Saldokonto] [Saldokonto prodej] |
|||
Parametry sestavy:
Viz parametry sestavy Saldokonto - základní informace. Odlišně jsou nastaveny tyto parametry:
InvoiceIN - Ne |
Liability - Ne |
OrderByCurrency - Ne |
ProvidedAdvances - Ne |
Receivable - Ne |
ReceivedAdvances - Ne |
ShowalanceBefAft - Ano |
ShowExchangeRate - Ano |
ShowPayments - Ano |

Saldo prodej podle zákazníka podrobné
Číslo procesu: FIN015 |
Ident. č. sestavy: SCIS140 |
Soubor: OPENITEMLIST.AM |
|
Popis sestavy: Seznam nezaplacených faktur vydaných, záloh přijatých a ostatních pohledávek seskupených podle zákazníka. U každého dokladu je vyčísleno saldo, prodlení a penále. U každého zákazníka je vyčísleno Saldo po splatnosti a Saldo ve lhůtě zvlášť pro každý typ dokladu. U částečně zaplacených dokladů jsou zobrazeny platby, u faktur v cizí měně je zobrazen přepočet na Kč. |
|||
Adresa ve stromu: [Finance] [Saldokonto] [Saldokonto prodej] |
|||
Parametry sestavy:
Viz parametry sestavy Saldokonto - základní informace. Odlišně jsou nastaveny tyto parametry:
InvoiceIN - Ne |
Liability - Ne |
OrderByCurrency - Ne |
ProvidedAdvances - Ne |
ShowalanceBefAft - Ano |
ShowExchangeRate - Ano |
ShowPayments - Ano |

Saldo faktur podle zákazníka a lhůt
Číslo procesu: FIN015 |
Ident. č. sestavy: SCIS083 |
Soubor: OPENITEMLIST.AM |
Popis sestavy: Seznam nezaplacených faktur vydaných seskupený podle lhůt po splatnosti. U každé faktury je vyčísleno saldo, prodlení a penále. Za každou lhůtu je k dispozici celkové saldo. |
||
Adresa ve stromu: [Finance] [Saldokonto] [Saldokonto prodej] |
||
Parametry sestavy:
Viz parametry sestavy Saldokonto - základní informace. Odlišně jsou nastaveny tyto parametry:
InvoiceIN - Ne |
Liability - Ne |
OrderByCurrency - Ne |
OrderByTerms - Ano |
ProvidedAdvances - Ne |
Receivable - Ne |
ReceivedAdvances - Ne |
ShowExchangeRate - Ano |

Saldo faktur podle lhůt a zákazníka
Číslo procesu: FIN015 |
Ident. č. sestavy: SCIS102 |
Soubor: OPENITEMLIST.AM |
Popis sestavy: Seznam nezaplacených faktur vydaných seskupený podle lhůt po splatnosti a podle zákazníka. U každé faktury je vyčísleno saldo, prodlení a penále. Za každou lhůtu a zákazníka je k dispozici celkové saldo. |
||
Adresa ve stromu: [Finance] [Saldokonto] [Saldokonto prodej] |
||
Parametry sestavy:
Viz parametry sestavy Saldokonto - základní informace. Odlišně jsou nastaveny tyto parametry:
CustomerAccTerms - Ano |
InvoiceIN - Ne |
Liability - Ne |
OrderByCurrency - Ne |
OrderByTerms - Ano |
ProvidedAdvances - Ne |
Receivable - Ne |
ReceivedAdvances - Ne |
ShowExchangeRate - Ano |

Saldo prodej podle lhůt
Číslo procesu:FIN015 |
Ident. č. sestavy: SCIS098 |
Soubor: OPENITEMLIST.AM |
Popis sestavy: Sestava obsahuje seznam nezaplacených faktur vydaných, záloh přijatých a ostatních pohledávek seskupený podle lhůt po splatnosti. U každého dokladu je vyčísleno saldo, prodlení a penále. Za každou lhůtu je k dispozici celkové saldo. |
||
Adresa ve stromu: [Finance] [Saldokonto] [Saldokonto prodej] |
||
Parametry sestavy:
Viz parametry sestavy Saldokonto - základní informace. Odlišně jsou nastaveny tyto parametry:
CustomerAccTerms - Ano |
InvoiceIN - Ne |
Liability - Ne |
OrderByCurrency - Ne |
OrderByCompany - Ne |
OrderByTerms - Ano |
ProvidedAdvances - Ne |

Saldo faktur podle účtu
Číslo procesu:FIN015 |
Ident. č. sestavy: SCIS100 |
Soubor: OPENITEMLIST.AM |
Popis sestavy: Sestava obsahuje seznam nezaplacených faktur vydaných seskupený podle pohledávkového účtu. U každé faktury je vyčísleno brutto, zaplaceno a saldo. Za každý účet je k dispozici celkové saldo. |
||
Adresa ve stromu: [Finance] [Saldokonto] [Saldokonto prodej] |
||
Parametry sestavy:
Viz parametry sestavy Saldokonto - základní informace. Odlišně jsou nastaveny tyto parametry:
InvoiceIN - Ne |
Liability - Ne |
OrderByAccount - Ano |
OrderByCompany - Ne |
ProvidedAdvances - Ne |
Receivable - Ne |
ReceivedAdvances - Ne |
ShowExchangeRate - Ano |

Saldo prodej po firmách
Č. procesu:FIN015 |
Ident. č. sest.: SCIS118 |
Soubor: OPENITEMLIST.AM |
|
Popis sestavy: Seznam nezaplacených faktur vydaných, záloh přijatých a ostatních pohledávek seskupených podle firem. Každá firma se zobrazí na samostatné straně. U každého dokladu je vyčísleno saldo, prodlení a penále. |
|||
Adresa ve stromu: [Finance] [Saldokonto] [Saldokonto prodej] |
|||
Parametry sestavy:
Viz parametry sestavy Saldokonto - základní informace. Odlišně jsou nastaveny tyto parametry:
CompanyByPage - Ano |
InvoicesIN - Ne |
Liability - Ne |
OrderByCurrency - Ne |
ProvidedAdvances - Ne |
ShowExchangeRate - Ano |

Platební morálka zákazníků
Číslo procesu: FIN015 |
Ident. č. sestavy: SCIS094 |
Soubor: OPENITEMLIST.AM |
Popis sestavy: Sestava zobrazuje platební morálku jednotlivých zákazníků za zadané období. Faktury a ostatní pohledávky jsou seskupeny podle zákazníků. Za každého zákazníka jsou doklady rozčleněny na zaplacené a nezaplacené před datem splatnosti a nezaplacené po datu splatnosti. Do sestavy je možné zahrnout i zálohy přijaté zatržením parametru ReceivedAdvances při spuštění sestavy. |
||
Adresa ve stromu: [Finance] [Saldokonto] [Saldokonto prodej] |
||
Parametry sestavy:
Viz parametry sestavy Saldokonto - základní informace. Odlišně jsou nastaveny tyto parametry:
InvoiceIN - Ne |
Liability - Ne |
OrderByCurrency - Ne |
ProvidedAdvances - Ne |
ReceivedAdvances - Ne |
ShowBalanceBeAft - Ano |

Saldokonto prodej na šířku
Saldo faktur podle zákazníka (š)
Číslo procesu: FIN015 |
Ident. č. sestavy: SCIS085 |
Soubor: OPENITEMLIST_X.AM |
Popis sestavy: Seznam nezaplacených faktur vydaných seskupených podle zákazníka. Rozkliknutím zákazníka se zobrazí jednotlivé faktury. Sestava je na šířku. |
||
Adresa ve stromu: [Finance] [Saldokonto] [Saldokonto prodej] [Saldokonto prodej na šířku] |
||
Parametry sestavy:
Viz parametry sestavy Saldokonto dodavatelů a odběratelů na šířku. Odlišně jsou nastaveny tyto parametry:
InvoiceIN - Ne |
Liability - Ne |
OrderByCurrency - Ne |
ProvidedAdvances - Ne |
Receivable - Ne |
ReceivedAdvances - Ne |
ShowInvoices - Ne |

Saldo prodej podle zákazníka (š)
Číslo procesu: FIN015 |
Ident. č. sestavy: SCIS133 |
Soubor: OPENITEMLIST_X.AM |
Popis sestavy: Seznam nezaplacených faktur vydaných, záloh přijatých a ostatních pohledávek seskupených podle zákazníka. Rozkliknutím zákazníka se zobrazí jednotlivé doklady. Sestava je na šířku. |
||
Adresa ve stromu: [Finance] [Saldokonto] [Saldokonto prodej] [Saldokonto prodej na šířku] |
||
Parametry sestavy:
Viz parametry sestavy Saldokonto dodavatelů a odběratelů na šířku. Odlišně jsou nastaveny tyto parametry:
InvoiceIN - Ne |
Liability - Ne |
OrderByCurrency - Ne |
ProvidedAdvances - Ne |
ShowInvoices - Ne |

Saldo faktur podle zákazníka podrobné (š)
Číslo procesu: FIN015 |
Ident. č. sestavy: SCIS087 |
Soubor: OPENITEMLIST_X.AM |
|
Popis sestavy: Seznam nezaplacených faktur vydaných seskupených podle zákazníka. U každé faktury je vyčísleno saldo, prodlení a penále. U každého zákazníka je vyčísleno Saldo po splatnosti v jednotlivých lhůtách. U částečně zaplacených faktur jsou zobrazeny platby, u faktur v cizí měně je zobrazen přepočet na Kč. Sestava je na šířku. |
|||
Adresa ve stromu: [Finance] [Saldokonto] [Saldokonto prodej] [Saldokonto prodej na šířku] |
|||
Parametry sestavy:
Viz parametry sestavy Saldokonto - základní informace. Odlišně jsou nastaveny tyto parametry:
InvoiceIN - Ne |
Liability - Ne |
OrderByCurrency - Ne |
ProvidedAdvances - Ne |
Receivable - Ne |
ReceivedAdvances - Ne |
ShowalanceBefAft - Ne |
ShowExchangeRate - Ano |
ShowPayments - Ano |

Saldo prodej podle zákazníka podrobné (š)
Číslo procesu: FIN015 |
Ident. č. sestavy: SCIS135 |
Soubor: OPENITEMLIST_X.AM |
|
Popis sestavy: Seznam nezaplacených faktur vydaných, záloh přijatých a ostatních pohledávek seskupených podle zákazníka. U každého dokladu je vyčísleno saldo, prodlení a penále. U každého zákazníka je vyčísleno Saldo v jednotlivých lhůtách. U částečně zaplacených faktur jsou zobrazeny platby, u faktur v cizí měně je zobrazen přepočet na Kč. Sestava je na šířku. |
|||
Adresa ve stromu: [Finance] [Saldokonto] [Saldokonto prodej] [Saldokonto prodej na šířku] |
|||
Parametry sestavy:
Viz parametry sestavy Saldokonto - základní informace. Odlišně jsou nastaveny tyto parametry:
InvoiceIN - Ne |
Liability - Ne |
OrderByCurrency - Ne |
ProvidedAdvances - Ne |
ShowalanceBefAft - Ne |
ShowExchangeRate - Ano |
ShowPayments - Ano |

Saldo faktur podle zákazníka a lhůt (š)
Číslo procesu:FIN015 |
Ident. č. sestavy: SCIS104 |
Soubor: OPENITEMLIST_X.AM |
|
Popis sestavy: Seznam nezaplacených faktur vydaných seskupený podle lhůt po splatnosti. U každé faktury je vyčísleno saldo, prodlení a penále. Za každou lhůtu je k dispozici celkové saldo. Sestava je na šířku. |
|||
Adresa ve stromu: [Finance] [Saldokonto] [Saldokonto prodej] [Saldokonto prodej na šířku] |
|||
Parametry sestavy:
Viz parametry sestavy Saldokonto na šířku. Odlišně jsou nastaveny tyto parametry:
InvoiceIN - Ne |
Liability - Ne |
OrderByCurrency - Ne |
ProvidedAdvances - Ne |
Receivable - Ne |
ReceivedAdvances - Ne |
ShowExchangeRate - Ano |

Saldo faktur podle zákazníka podrobné bez lhůt (š)
Číslo procesu: FIN015 |
Identifikační číslo sestavy: SCIS109 |
Soubor: OPENITEMLIST_X01.AM |
Popis sestavy: Sestava zobrazuje saldo vydaných faktur na šířku. |
||
Adresa ve stromu: [Finance] [Saldokonto] [Saldokonto prodej] [Saldokonto prodej na šířku] |
||
Parametry sestavy:
Viz parametry sestavy Saldo faktur podle dodavatele podrobné bez lhůt (š). Odlišně jsou nastaveny tyto parametry:
InvoiceIN - Ne |
Liability - Ne |
OrderByCurrency - Ne |
ShowBalanceBeAft - Ano |
ProvidedAdvances - Ne |
Receivable - Ne |
ReceivedAdvances - Ne |

Saldo prodej po firmách (š)
Č. procesu:FIN015 |
Ident. č. sest.: SCIS128 |
Soubor: OPENITEMLIST_X.AM |
Popis sestavy: Seznam nezaplacených faktur vydaných, záloh přijatých a ostatních pohledávek seskupených podle firem. U každého dokladu je vyčísleno saldo, prodlení a penále. Za každou měnu je k dispozici celkové saldo. Sestava je na šířku. |
||
Adresa ve stromu: [Finance] [Saldokonto] [Saldokonto prodej] [Saldokonto prodej na šířku] |
||
Parametry sestavy:
Viz parametry sestavy Saldokonto na šířku. Odlišně jsou nastaveny tyto parametry:
CompanyByPage - Ano |
InvoiceIN - Ne |
Líability - Ne |
ProvidedAdvances - Ne |
ShowExchangeRate - Ano |

Inventarizace pohledávek a závazků
Inventarizace pohledávek
Číslo procesu: UCT026 FIN015 |
Ident. číslo sestavy: SCIS106 |
Soubor: OIL_SURVEY.AM |
Popis sestavy: Inventarizace pohledávek k jednotlivým zákazníkům. |
||
Adresa ve stromu: [Finance] [Saldokonto] [Inventarizace pohledávek a závazků] |
||
Parametry sestavy:
Viz parametry sestavy Inventarizace pohledávek a závazků. Odlišně jsou nastaveny tyto parametry:
InvoiceIN - Ne |
Liability - Ne |
ReceivedAdvances - Ne |

Inventarizace pohledávek a potvrzení o bezdlužnosti
Číslo procesu: UCT026 FIN015 |
Ident. číslo sestavy: SCIS144 |
Soubor: OIL_SURVEY.AM |
Popis sestavy: Inventarizace pohledávek k jednotlivým zákazníkům. Pro zákazníky, kteří k datu inventarizace mají všechny pohledávky zaplaceny, se vytiskne potvrzení o bezdlužnosti. |
||
Adresa ve stromu: [Finance] [Saldokonto] [Inventarizace pohledávek a závazků] |
||
Parametry sestavy:
Viz parametry sestavy Inventarizace pohledávek a závazků. Odlišně jsou nastaveny tyto parametry:
ConfirmNoReceivable_DSC1 - Ano |
InvoiceIN - Ne |
Liability - Ne |
ReceivedAdvances - Ne |

Inventarizace závazků
Číslo procesu: UCT026 FIN015 |
Ident. číslo sestavy: SCIS107 |
Soubor: OIL_SURVEY.AM |
Popis sestavy: Inventarizace závazků k jednotlivým dodavatelům. |
||
Adresa ve stromu: [Finance] [Saldokontoí] [Inventarizace pohledávek a závazků] |
||
Parametry sestavy:
Viz parametry sestavy Inventarizace pohledávek a závazků. Odlišně jsou nastaveny tyto parametry:
InvoiceOUT - Ne |
ProvidedAdvances - Ne |
Receivable - Ne |

Inventarizace pohledávek a závazků
Číslo procesu: UCT026,FIN015 |
Ident. číslo sestavy: SCIS129 |
Soubor: OIL_SURVEY.AM |
Popis sestavy: Inventarizace pohledávek a závazků jednotlivých odběratelů/dodavatelů. |
||
Adresa ve stromu: [Finance] [Saldokonto] [Inventarizace pohledávek a závazků] |
||
Parametry sestavy: Popis základních parametrů je uveden u sestavy Saldokontro.
BankContact_DSC1 - Ne Ano - v hlavičce se zobrazí bankovní spojení. |
ConfirmNoReceivable_DSC1 - Ne Ano - pro zákazníky, kteří mají k datu inventarizace zaplaceny všechny pohledávky, se vytiskne potvrzení o bezdlužnosti (současně musí být parametr SurveyTogether = Ne); Ne - potvrzení o bezdlužnosti se nezobrazí. |
CzechLayout_DSC1 - Ano Ano - adresa příjemce se vytiskne vpravo; Ne - adresa příjemce se vytiskne vlevo. |
Date_Closing_DSC1 - 0.0.0000 Datum uzavření. |
DateSending_DSC1 - 0.0.0000 Datum odeslání. |
ExistAddress_DSC1 - Ne Ano - nezobrazovat adresu (je obsažena v logu). |
LogoPictureOnFooter_DSC1 - Footer.wmf Název loga firmy se bude tisknout v patičce sestavy. |
LogoPictureOnHeader_DSC1 - Header.wmf Název loga firmy se bude tisknout v hlavičce sestavy. |
Sign_DSC1 - @Akt;17;13;6;54 Parametr má 5 pozic: 0. pozice nevytiskne obrázek (razítko a podpis). 1. pozice určuje osobu, jejíž podpis se má zobrazit. Může jít o obrázek pojmenovaný dle Logname uživatele, který doklad vystavil (@Vyst) nebo doklad tiskne - tedy dle aktuálního přihlášení (@Akt), nebo konkrétní Logname. Obrázek musí být vždy ve formátu Logname.png a umístěn v adresáři Pictures. 2. pozice: výška obrázku. 3. pozice: vzdálenost od levého okraje. 4. pozice: vzdálenost obrázku od horního okraje dané sekce. 5. pozice: šířka obrázku. Příklad: (Sign - @Akt;17;13;0;54) Tiskne podpis uživatele, který sestavu spustil, vysoký 17 bodů, odsazený zleva o 13 bodů, 6 bodů od horního okraje. Obrázek je široký 54 bodů. |
ShowAdvancesInBrutto - Ne Ano - zobrazí všechny částky záloh v Brutto (Brutto, Čerpáno, Zbývá dočerpat). |
ShowContacts_DSC1 - KU Zkratka dodatku "Kontaktní údaje" z Parametrů mandanta. |
ShowCreditNotes - Zobrazit dobropisy Parametr je v sestavě ignorován, protože je třeba zobrazit všechny závazky a pohledávky včetně opravných daňových dokladů. Parametr ShowCreditNotes je automaticky převzat z předka této sestavy. Nejde ho ze sestavy inventarizace odstranit. |
ShowInEuro_DSC1 - Ne Ano - zobrazí přepočet slovenských korun na euro. |
ShowInfoIssuedBy_DSC1 - Ano Ano - zobrazí údaje o tom, kdo doklad vystavil (telefon, email). |
ShowLogoFooter_DSC1 - Ano Ano - zobrazí logo v patičce sestavy. |
ShowLogoHeader_DSC1 - Ano Ano - zobrazí logo v hlavičce sestavy. |
ShowPenaltyInterests_DSC1 - Ne Ano - zobrazí úrok z prodlení. |
ShowSender_DSC1 - Ano Ano - zobrazí adresu odesílatele v okénku pro obálku; Ne - nezobrazí. |
ShowSign_DSC1 - Ano Ano - zobrazí text "Razítko a podpis"; Ne - nezobrazí. |
ShowStateCode_DSC1 - Ne Ano - zobrazí kód státu. |
SurveyTogether - Ne Ano - zobrazí závazky a pohledávky dohromady. |
Text01_DSC1 Doplňkový text patičky. |
UniversalText_DSC1 - Ano Ano - použít obecný text pro překlad do angličtiny; Ne - Použít doslovný překlad do angličtiny. |
Odlišně jsou nastaveny tyto parametry:
SurveyTogether - Ano |

Inventarizace pohledávek a závazků v knize Saldokonto k datu
Číslo procesu: UCT026 |
Ident. číslo sestavy: SCIS145 |
Soubor: InventoryToDate.AM |
Popis sestavy: Inventarizace pohledávek a závazků. Sestava zobrazí data z knihy Saldokonto k datu zadanému v poli Hodnota k datu. Sestava zobrazí Inventarizaci závazků a Inventarizaci pohledávek k jednotlivým zákazníkům. Je koncipovaná jako dopis. Sestava je alternativou k sestavě Saldokonto - inventarizace (OIL_Survey.AM). |
||
Adresa ve stromu: |
||
Parametry sestavy:
AddFooterText Doplňkový text patičky |
BankAccount - Ne Ano - zobrazí náš bankovní účet z karty zákazníka |
ByRegisterNo - Ne Ano - seskupí doklady podle IČ; Ne - seskupí doklady podle názvu dodavatele/odběratele. |
ByInvoiceAddress - Ne Ano - seskupí doklady prodeje podle firmy, zadané ve fakturační adrese, a v názvu firmy se zobrazí název firmy uvedené ve fakturační adrese dokladu; Ne - seskupí doklady podle dodavatele/odběratele. |
LateCharges - Ne Ano - zobrazí úroky z prodlení |
ReportTitle Název sestavy |
Signature Podpis. 0 - nebude se tisknout, @Vyst - obrázek toho, kdo doklad vystavil, @Akt - kdo je akt. přihlášen. |
ShowAdvancesInBrutto - Ne Ano - zobrazí všechny částky záloh v Brutto (Brutto, Čerpáno, Zbývá dočerpat). |
ShowLogoFooter - Ano Zobrazí logo v patičce. |
ShowLogoHeader - Ano Zobrazí logo v hlavičce. |
SurveyTogether - Ne Ano, nerozděluje tisk zvlášť závazků a zvlášť pohledávek, ale vytiskne nadpis Inventarizace pohledávek a závazků k datu |
Podokno náhledu - Platební morálka
Číslo procesu: FIN015 |
Ident. číslo sestavy: SSPR019 |
Soubor: SUB_OPENITEMLIST.AM |
Popis sestavy: Sestava pro podokno náhledu. Saldokonto faktur přijatých a faktur vydaných. |
||
Adresa ve stromu: - |
||
Parametry sestavy:
CustomerAccTerms - Ne Ano - seskupí dod/odb podle termínů. |
Date_From - 0.0.0000 Datum od - pro Platební morálku omezení pro platby a faktury. |
Date_To - 0.0.0000 Datum do - pro Saldo omezení pro platby a faktury. |
InvoiceIN - Ano Ano - zobrazí faktury přijaté. |
InvoiceOUT - Ano Ano - zobrazí faktury vydané. |
ListOfTerms - 0;30;60;90;180 Seznam lhůt oddělených ";". |
MinDiff - 0,01 Minimální rozdíl. |
NoInteractive - Ano Ne - zobrazí se formulář salda, Ano - nezobrazí se formulář salda. |
OrderByAccount - Ne Ano - setřídění podle účtu. |
OrderByCompany - Ano Ano - setřídění podle firmy. |
OrderByCurrency - Ano Ano - setřídění podle měny. |
OrderByDocNo - Ne Ano - seskupí podle dokladů, Ne - podle data splatnosti. |
OrderByTerms - Ano Ano - setřídění podle lhůt. |
Paid - Ne Ano - nebere příkazy od uhrazeno k datu. |
PaymentMorale - Ano Ano - platební morálka. |
ReportTitle Název sestavy. |
ShowBalanceBefAft - Ne Ano - zobrazí saldo před a po datu splatnosti. |
ShowCreditNotes - Ano Ano - zobrazí dobropisy. |
ShowExchangeRate - Ne Ano - zobrazí kurz. |
ShowInvoices - Ano Ano - zobrazí faktury. |
ShowPayments - Ne Ano - zobrazí platby. |
ShowSuperior - Ne Ano - zobrazí nadřízeného dod./odb. |
ShowUnpaidInvInTerm - Ano Ano - zobrazí nezaplacené faktury s datem splatnosti ve lhůtě. |

Zápočet
Zápočet - Náhľad
Číslo procesu: FIN006 |
Ident. č. zostavy: SCIS013 |
Súbor: OFFSET.AM |
Popis zostavy: Dohoda o vzájomnom zápočte pohľadávok a záväzkov. Zostavu je možné spustiť z modulu Zápočet alebo nad bankovými príkazmi a nad bankovými výpismi. |
||
Adresa v strome: [Financie] [Banka] [Tlač dokladov - zoznamy] |
||
Parametre zostavy:
AdditionalParagraph Text prídavného odstavca. |
AddressShift - 0 Pomocou parametra je možné posunúť adresu nadol. |
CompanyByInvoiceAddress - Nie Áno - v zostave sa zobrazí fakturačná adresa, zadaná na karte Dod./Odb. (musí byť označená hviezdičkou). |
CurrencyOfPaidDocs Áno - vytlačí celkové súčty v mene dokladov. |
CustomersCityAndZip Mesto a PSČ zákazníka. |
CustomersDIC DIČ zákazníka. |
CustomerICO IČO zákazníka. |
CustomerNumber Číslo zákazníka. |
CustomerStreet Ulica zákazníka. |
Date - 0.0.0000 Dátum. |
DefaultExport - Nie Áno - pôvodný export e-mailom; Nie - nový spôsob exportu e-mailom. |
Difference - 0 Rozdiel. |
HelpText Pomocný text. |
HideParagraph4 - Nie Áno - umožňuje skryť 4. odstavec pri tlači návrhu zápočtu. |
LangAccordToParams - Nie Ak sa má zostava tlačiť v jazyku nastavenom v parametri "jazyk polí" a "jazyk reportu", potom je nutné nastaviť hodnotu parametra na "Áno". |
LogoPictureHeader - Logo pre hlavičku. Nevyplnené - zobrazí sa logo firmy zo správy firiem; 0 - Miesto pre logo bude prázdne; 1 - Nezobrazí ani miesto pre logo; je možné zadať názov obrázku *.png - obrázok musí byť umiestnený v adresári PICTURES vo firemnom adresári K2. |
MarkDifference - Nie Áno - označí rozdiel. |
OffsetBook - ZA Kniha zápočtu. |
OffsetByIco - Nie Áno - do zápočtu sa zahrnú doklady firiem s rovnakým IČO. |
OneSideOffset - Nie Áno - jednostranný zápočet. |
ReportTitle Alternatívny nadpis zostavy. |
ShowOffsetID - Áno Áno - zobrazí číslo zápočtu. |
ShowSuperiorName - Nie Áno - zobrazí meno a adresu nadriadeného dodávateľa (Centrály) namiesto pobočky. |
ShowBarCode - Nie Áno - zobrazí čiarový kód. |
Sign - @Vyst;;; Parameter má 5 pozícii: 1. pozícia určuje osobu, ktorej podpis sa má zobraziť. Môže ísť o obrázok pomenovaný podľa Logname užívateľa, ktorý vystavil doklad (@Vyst) alebo doklad tlačí - teda podľa aktuálneho prihlásenia (@akt), alebo konkrétne Logname.
Implicitne sa berie hodnota zadaná v poli Pečiatka v Nastavení multi company. Tu sa zadá cesta a názov súboru. Cestu je možné zadať pomocou aliasu. Namiesto konkrétneho názvu súboru je možné zadať %s. Obrázok musí byť vždy vo formáte xxx.png. Pokiaľ nie je vyplnený v Nastavení muli company, potom sa hľadá súbor v adresári Pictures.
Príklad zadania v poli Pečiatka v Nastavení multi company: pomocou alias: k2*DEMO\Pictures\razitko.png (hľadá sa obrázok v ceste mandanta. Súbor razitko.png v adresári Pictures) pomocou %s: k2*DEMO\Razitka\%s.png (takto zadaná hodnota umožní zobraziť bitmapy s podpisom všetkým užívateľom, ktorí doklady vystavujú alebo sú aktuálne prihlásení a majú súbor vo formáte PNG v adresári (v tomto prípade užívateľom vytvorený adresár Pečiatka).
2. pozícia: výška obrázku. 3. pozícia: vzdialenosť od ľavého okraja. 4. pozícia: vzdialenosť obrázku od horného okraja danej sekcie. 5. pozícia: šírka obrázku. Príklad: (Sign - @vyst;27;47;0;83) Tlačí podpis užívateľa, ktorý vystavil doklad, vysoký 27 bodov, odsadený zľava o 47 bodov, pri hornom okraji. Obrázok je široký 83 bodov.
Pokiaľ je parameter nastavený na hodnotu 0, potom sa nezobrazí pečiatka. |
UserInfoVisible - Nie Áno - zobrazí informácie o užívateľovi. |
UserText4 UserText4. Pokiaľ má hodnotu "0", nezobrazí sa posledná časť textu záverečného odstavca (do koľkých dní má byť uhradený rozdiel). |

Jednostranný zápočet
Číslo procesu: FIN006 |
Ident. č. sestavy: SCIS013 |
Soubor: OFFSET.AM |
Popis sestavy: Oznámení o zápočtu pohledávek a závazků. Sestavu lze spustit nad bankovními příkazy i nad bankovními výpisy. |
||
Adresa ve stromu: [Finance] [Banka] [Tisk dokladů - seznamy] |
||
Parametry sestavy:
Viz parametry sestavy Zápočet - Náhled. Odlišně jsou nastaveny tyto parametry:
OneSideOffset - Ano |

Zápočet - Seznam závazků a pohledávek
Číslo procesu: FIN006 |
Ident. č. sestavy: SCIS135 |
Soubor: OFFSETLD.AM |
Popis sestavy: Zápočet - Seznam závazků a pohledávek. Sestavu lze spustit ze vstupního formuláře funkce Zápočet stiskem tlačítka Tisk faktur. |
||
Adresa ve stromu: [Finance] [Banka] [Tisk dokladů - seznamy] |
||
Parametry sestavy:
AllowCancelled Povolit zpracování stornovaných dokladů. |
CurrentRecord Zpracovat aktuální záznam. |
EvaluationFilter Zpracovat záznamy z filtru. |
IgnoreFieldRight Ignorovat právo na pole. |
IgnoreSelection Zpracovat záznamy bez ohledu na výběr. |
OffsetByIco - Ne Ano - do zápočtu se zahrnou doklady firem se stejným IČ. |
OnlyBrowse Spustit pouze v prohlížení. |
OnlyConfirmed Zpracovat pouze potvrzené doklady. |
OnlyRecWithRight Zpracovat pouze záznamy, na které má uživatel právo. |
WholeTable Zpracovat záznamy celé tabulky. |

Skonto
Skonto - Dobropis
Číslo procesu:FIN007 |
Ident. č. zostavy: SFIN034 |
Súbor: INT_DOC03.AM |
Popis zostavy: Skonto - Dobropis tlačí korekčné interné doklady vytvorené funkciami Uplatnenie skonta - predaj a Uplatnenie skonta - nákup. Zostava sa dá vytlačiť iba nad interným dokladom, ktorý má začiarknutý príznak Skonto a nie je platbou faktúry. |
||
Adresa v strome: [Financie] [Skonto] |
||
Parametre zostavy:
Assignement - Nie Áno - zobrazí zaúčtovanie dokladov (údaje z 3. strany dokladu). |
Axes - Nie Áno - Zobrazí podporné analytiky (stredisko, kód zákazky, tovar, kód1 a 2, Referent, Zákazník, Párovací s.), pokiaľ sú zadané. |
BusinessRegister - Áno Áno - zobrazí obchodný register. |
CodeOfCurrency - Nie Áno - Áno - Zobrazí kód meny (napr. USD). Nie - zobrazí značku meny (napr. $). |
Contacts - 1;Addr;TaxNum;Tel1;Fax1;Email1;WWW Parameter má celkom 10 pozícií, pevne stanovené sú prvé tri: 1. pozícia: užívateľ, ktorého kontakty z karty užívateľa (telefón, mobil, fax, email) sa tlačia. Možnosti: 0 - žiadne užívateľské kontakty, 1 - užívateľ, ktorý vystavil doklad, 2 - aktuálne prihlásený užívateľ - ktorý tlačí doklad. 2. pozícia: "Addr" - ak je zadané, potom sa zobrazí adresa firmy. 3. pozícia: "TaxNum" - ak je zadané, potom sa zobrazí IČO, DIČ a IČDPH. 4. - 10. pozícia: vymenované typy elektronických adries firmy (tzn. môže ich byť až 7). Príklad: (Contacts - 1;Addr;;TEL1;FAX1;WWW1): Zobrazí sa Adresa firmy, pod ňou kontakty z karty užívateľa, ktorý vystavil doklad, (daňové čísla sú vynechané prázdnym stringom 3. pozície) nasledujú elektronické adresy s typom Tel1, Fax1, WWW1. Pozn.: Ak je niektorý z údajov potlačený, nezostáva voľné miesto. Avšak Implicitné poradie v zostave je vždy: adresa, daňové čísla, kontakty užívateľa, zadané elektronické adresy firmy. |
LogoPictureFooter - 0 Parameter upravuje zobrazenie loga päty. Pokiaľ je parameter prázdny, zobrazí logo podľa nastavení parametra Obrázok v pätičke vo funkcii Správca - nastavenie multi company. 0 - nezobrazí sa nič, ale miesto zostane voľné (pre hlavičkový papier), 1 - žiadny obrázok ani prázdne miesto. Názov súboru s príponou png - konkrétny obrázok v adresári Pictures danej firmy. |
LogoPictureHeader - Parameter upravuje zobrazenie loga hlavičky. Pokiaľ je parameter prázdny, zobrazí logo podľa nastavení parametra Obrázok v hlavičke vo funkcii Správca - nastavenie multi company. 0 - nezobrazí sa nič, ale miesto zostane voľné (pre hlavičkový papier), 1 - žiadny obrázok ani prázdne miesto. Názov súboru s príponou png - konkrétny obrázok v adresári Pictures danej firmy. |
OwnCurrency - 0 Na dokladoch v cudzej mene: 0 - zobrazí čiastky iba v mene dokladu, 1 - zobrazí iba kurz, 2 - zobrazí daňovú rekapituláciu prepočítanú na menu firmy, 3 - zobrazí prepočet daňovej rekapitulácie aj kurz prepočtu. |
Sign - @Vyst;;; Parameter má 5 pozícii: 1. pozícia určuje osobu, ktorej podpis sa má zobraziť. Môže ísť o obrázok pomenovaný podľa Logname užívateľa, ktorý vystavil doklad (@Vyst) alebo doklad tlačí - teda podľa aktuálneho prihlásenia (@akt), alebo konkrétne Logname.
Implicitne sa berie hodnota zadaná v poli Pečiatka v Nastavení multi company. Tu sa zadá cesta a názov súboru. Cestu je možné zadať pomocou aliasu. Namiesto konkrétneho názvu súboru je možné zadať %s. Obrázok musí byť vždy vo formáte xxx.png. Pokiaľ nie je vyplnený v Nastavení muli company, potom sa hľadá súbor v adresári Pictures.
Príklad zadania v poli Pečiatka v Nastavení multi company: pomocou alias: k2*DEMO\Pictures\razitko.png (hľadá sa obrázok v ceste mandanta. Súbor razitko.png v adresári Pictures) pomocou %s: k2*DEMO\Razitka\%s.png (takto zadaná hodnota umožní zobraziť bitmapy s podpisom všetkým užívateľom, ktorí doklady vystavujú alebo sú aktuálne prihlásení a majú súbor vo formáte PNG v adresári (v tomto prípade užívateľom vytvorený adresár Pečiatka).
2. pozícia: výška obrázku. 3. pozícia: vzdialenosť od ľavého okraja. 4. pozícia: vzdialenosť obrázku od horného okraja danej sekcie. 5. pozícia: šírka obrázku. Príklad: (Sign - @vyst;27;47;0;83) Tlačí podpis užívateľa, ktorý vystavil doklad, vysoký 27 bodov, odsadený zľava o 47 bodov, pri hornom okraji. Obrázok je široký 83 bodov.
Pokiaľ je parameter nastavený na hodnotu 0, potom sa nezobrazí pečiatka. |
TaxCreditNoteConfirmation - Nie Áno - vytlačí sa potvrdenie o prevzatí dobropisu. |
Title - Vyplnená hodnota parametra sa zobrazí ako titul zostavy. Pokiaľ nie je vyplnený parameter, zobrazí sa pôvodný názov dokladu. |
VatDate - Áno Áno - Zobrazí v položkách Dátum UZP; Nie - Dátum UZP sa nezobrazí. |

Řízení financí
Řízení financí
Číslo procesu: |
Ident. číslo sestavy: SFIN033 |
Soubor:FinancialManagement.AM |
Popis sestavy: Sestava je spustitelná nad knihou Řízení financí. Implicitně vytiskne zobrazení knihy Řízení financí podle data platby. Parametrem SortBy lze zobrazit také podle rozdílu, firmy, měny nebo bankovního účtu. |
||
Adresa ve stromu: Finance - Řízení financí - Tisk Řízení financí |
||
Parametry sestavy:
SortBy -0 Setřídit podle: 0 – Data platby, 1 – Prodlení, 2 – Rozdílu, 3 – Firmy, 4 – Měny, 5 – Bankovního účtu. |
ShowDocuments - Ne Ano - zobrazí doklady. |


Upomínky
Upomínky
Číslo procesu: EXP011 |
Ident. číslo sestavy: SFIN033 |
Soubor:REM_DOC01.AM |
Popis sestavy: Sestava je spustitelná nad knihou Upomínky. Je možný hromadný export do „*.pdf" a rozesílání emailem. |
||
Adresa ve stromu: Finance - Upomínky - Tisk upomínky |
||
Parametry sestavy:
AddressFromCustomer - Ne Ano - zobrazí se adresa z karty zákazníka (Zobrazí se korespondenční adresa - pokud je zadaná a označená hvězdičkou jako výchozí, jinak se zobrazí výchozí fakturační adresa zákazníka. Pokud ani tato není zadána, pak se zobrazí adresa zákazníka.), Ne - adresa se zobrazí z první faktury vydané na upomínce (korespondenční adresa, pokud není zadaná vytiskne se fakturační adresa, pokud není zadaná vytiskne se adresa zákazníka. Jednoduché adresy nejsou řešeny, tzn. adresy se vytisknout ve výše zmíněném sledu, pokud jsou zadány výběrem zákazníka.). |
BarCode - Ne Ano - zobrazí se čárový kód. |
BusinessRegister - 1 Zobrazí se informace o obchodním rejstříku z Nastavení multi company. 0 – nezobrazí informace o obchodním rejstříku, 1 – zobrazí maximálně dvouřádkový text o obchodním rejstříku, 2 – zobrazí maximálně čtyřřádkový text o obchodním rejstříku. |
Contacts - 1;Addr;TaxNum;Tel1;Fax1;Email1;WWW Parametr má celkem 10 pozic, pevně stanovené jsou první tři: 1. pozice: uživatel, jehož kontakty z karty uživatele (telefon, mobil, fax, email) se tisknou. Možnosti: 0 - žádné uživatelské kontakty, 1 - uživatel, který doklad vystavil, 2 - aktuálně přihlášený uživatel - který doklad tiskne. 2. pozice: "Addr" - je-li zadáno, pak se zobrazí adresa firmy. 3. pozice: "TaxNum" - je-li zadáno, pak se zobrazí IČO a DIČ. 4. - 10. pozice: vyjmenované typy elektronických adres firmy (tzn. může jich být až 7). Příklad: (Contacts - 1;Addr;;TEL1;FAX1;WWW1): Zobrazí se Adresa firmy, pod ní kontakty z karty uživatele, který doklad vystavil, (daňová čísla jsou vynechána prázdným stringem 3. pozici) následují elektronické adresy s typem Tel1, Fax1, WWW1. |
ChooseBankContact Zkratka našeho bankovního účtu, který se zobrazí na upomínce. Pokud je parametr zadán, nebere se v úvahu nastavení parametru ShowBankContacts. |
LangAccordtoParams - Ne Pokud se má sestava tisknout v jazyce nastaveném v parametru "jazyk polí" a "jazyk reportu", pak je nutné nastavit hodnotu parametru na "Ano". |
LateCharges - Ne Ano - zobrazí sloupec úrok z prodlení. |
LeftEnvelopeWindow - Ne Ano - adresa odběratele se tiskne vpravo (určeno pro zasílání dokladů poštou v zahraničí, kde je okénko pro obálku vlevo); Ne - adresa odběratele vlevo. |
LogoPictureFooter - Footer.wmf Název souboru zobrazující logo patičky. |
LogoPictureHeader - Header.wmf Název souboru zobrazující logo hlavičky. |
ShowBankContacts - Ano Ano - zobrazí náš bankovní účet z Karty Dod./Odb. Ne - zobrazí náš bankovní účet z prvního dokladu v upomínce. |
ShowExchangeRate - Ne Ano - zobrazí kurz. |
ShowICAndDIC - Ne Ano - zobrazí IČO a DIČ odběratele. |
ShowInfoIssuedBy - Ano Ano - zobrazí údaje k tomu, kdo vystavil (tel., email,..). |
Sign - @Vyst;;; Parametr má 5 pozic: 1. pozice určuje osobu, jejíž podpis se má zobrazit. Může jít o obrázek pojmenovaný dle Logname uživatele, který doklad vystavil (@Vyst) nebo doklad tiskne - tedy dle aktuálního přihlášení (@akt), nebo konkrétní Logname.
Implicitně se bere hodnota zadaná v poli Razítko v Nastavení multi company. Zde se zadá cesta a název souboru. Cestu lze zadat pomocí aliasu. Místo komkrétního názvu souboru lze zadat %s. Obrázek musí být vždy ve formátu xxx.png. Pokud není vyplněno v Nastavení multi company, pak se hledá soubor v adresáři Pictures.
Příklad zadání v poli Razítko v Nastavení multi company: pomocí alias: k2*DEMO\Pictures\razitko.png (hledá se obrázek v cestě mandanta. Soubor razitko.png v adresáři Pictures) pomocí %s: k2*DEMO\Razitka\%s.png (takto zadaná hodnota umožní zobrazit bitmapy s podpisem všem uživatelům, kteří doklady vystavují nebo jsou aktuálně přihlášení a mají soubor ve formátu PNG v adresáři (v tomto případě uživatelem vytvořený adresář Razitka).
2. pozice: výška obrázku. 3. pozice: vzdálenost od levého okraje. 4. pozice: vzdálenost obrázku od horního okraje dané sekce. 5. pozice: šířka obrázku. Příklad: (Sign - @vyst;27;47;0;83) Tiskne podpis uživatele, který doklad vystavil, vysoký 27 bodů, odsazený zleva o 47 bodů, u horního okraje. Obrázek je široký 83 bodů.
Pokud je parametr nastavený na hodnotu 0, pak se razítko nezobrazí. |
SupplEnterText Zkratka dodatku pro úvodní text. Pokud je zadána, zobrazí se v úvodním odstavci text tohoto dodatku. |
SupplCloseText Zkratka dodatku pro závěrečný text. Pokud je zadána, zobrazí se v závěrečném odstavci text tohoto dodatku. |
Term - Ano Lhůta ve dnech, do které má být provedena platba. |
TextBody Text na konci sestavy. |

Penalizace
Penalizační faktura
Číslo procesu: EXP012 |
Ident. č. sestavy: SZAK024 |
Soubor: FAV_PEN3.AM |
Popis sestavy: Penalizační faktura se seznamem faktur, za které se fakturují úroky z prodlení. |
||
Adresa ve stromu: |
||
Parametry sestavy:
CzechLayout - Ano Ne - nezobrazí adresu odesílatele v okénku pro obálku; Ano - adresa odběratele se tiskne vpravo; Ne - adresa odběratele se tiskne vlevo. |
ExistAddress - Ne Ano - dodavatelská adresa je součástí loga (hlavičkového papíru), proto se nezobrazí; Ne - dodavatelská adresa není součásti loga, proto se zobrazí. |
ExistBankContacts - Ne Ano - bankovní kontakt je součásti loga (hlavičkového papíru), proto se nezobrazí; Ne - bankovní kontakt není součásti loga, proto se zobrazí. |
ExistICOandDIC - Ne Ano - IČO A DIČ je součásti loga (hlavičkového papíru), proto se nezobrazí; Ne - IČO A DIČ není součásti loga, proto se zobrazí. |
ExistOR - Ano Ano - informace o obch. rejstříku je součásti loga (hlav. papíru), proto se nezobrazí; Ne - informace o obch. rejstříku není součásti loga, proto se zobrazí. |
ExistTelFax - Ne Ano - telefon a fax je součásti loga (hlav. papíru), proto se nezobrazí; Ne - telefon a fax není součásti loga, proto se zobrazí. |
LogoPictureFooter - Footer.wmf Název souboru zobrazující logo patičky. |
LogoPictureHeader - Header.wmf Název souboru zobrazující logo hlavičky. |
NumberOfDays - 0 Používá se při tisku speciální penalizační faktury, lze zde nastavit počet dnů k uhrazení. |
ProportionalFont - Ne Ano - dodatky se tisknou fontem typu Verdana; Ne - dodatky se tisknou fontem Courier New. |
Recipient - Ne Parametr ovlivňuje, jaký adresát se zobrazí na sestavě. Pokud je hodnota parametru Ano a existuje adresát, pak má přednost a zobrazí se na sestavě. Pokud neexistuje, zobrazí se odběratel z faktury. Při hodnotě Ne se vždy bere odběratel z faktury. |
ShowBankContacts - KB Zobrazí bankovní kontakty z parametru mandanta. |
ShowBarCode - Ano Ano - zobrazí čárový kód; Ne - nezobrazí. |
ShowContacts - KU Zkratka dodatku zobrazující další kontaktní údaje z Parametrů mandanta. |
ShowDraftLabel - Ne Ano - v sestavě zobrazí "NÁVRH", pokud je doklad nepotvrzený; Ne - "NÁVRH" se nezobrazí. |
ShowLogoFooter - Ano Ano - zobrazí logo v patičce. |
ShowLogoHeader - Ano Ano - zobrazí logo v hlavičce. |
ShowNumberOfCustomer - Ano Ano - zobrazí zkratku odběratele. |
ShowRate - Ne Ano - zobrazí řádek s přepočtem a kurzem. |
ShowSender - Ano Ano - zobrazí adresu odesílatele v okénku pro obálku; Ne - nezobrazí adresu odesílatele v okénku pro obálku. |
