Mzdy
Bankovní příkaz z mezd
Číslo procesu: MZD005 |
Ident. číslo sestavy: SMZD136 |
Soubor: BSP_BANKORDER.AM |
Popis sestavy: Zobrazí informace potřebné pro vytvoření bankovního příkazu. Spustitelná nad knihou Srážky z mezd. |
||
Adresa ve stromu:[Mzdy][Srážky z mezd] |
||
Parametry sestavy:
ACC Účet. |
Bank Banka. |
DateDue Datum splatnosti. |
SCB Kód banky. |
ShowEmployedPerson -Ne Ano - místo pole "Popis" zobrazí na sestavě pole "Pracovník" |
SuppressName - Ne Ano - skryje jméno, příjmení a osobní číslo pracovníka |

Srážky z mezd - složky a závazky
Číslo procesu: MZD005 |
Ident. číslo sestavy: SMZD117 |
Soubor: BSP_SEZ01.AM |
Popis sestavy: Přehled mzdových složek směřujících na srážku a vytvořených závazků na danou srážku. Spustitelná nad knihou Srážky z mezd. |
||
Adresa ve stromu:[Mzdy][Srážky z mezd] |
||
Parametry sestavy:
DisableItemFilter - Ano Ne - Vypnout zobrazovací filtr na položkách. |
NoInteractive - Ne Ano - Nezobrazovat vstupní formulář. |
OnlyDifferences - Ne Ano - Nezobrazí se výstupní mzdové složky na srážky, které jsou zaplacené. V případě částečně uhrazenosti se zobrazí + se zobrazí také závazek z mezd. |
ShowPayDocs - Ne Ano - Zobrazí se platební doklady k závazkům z mezd. |

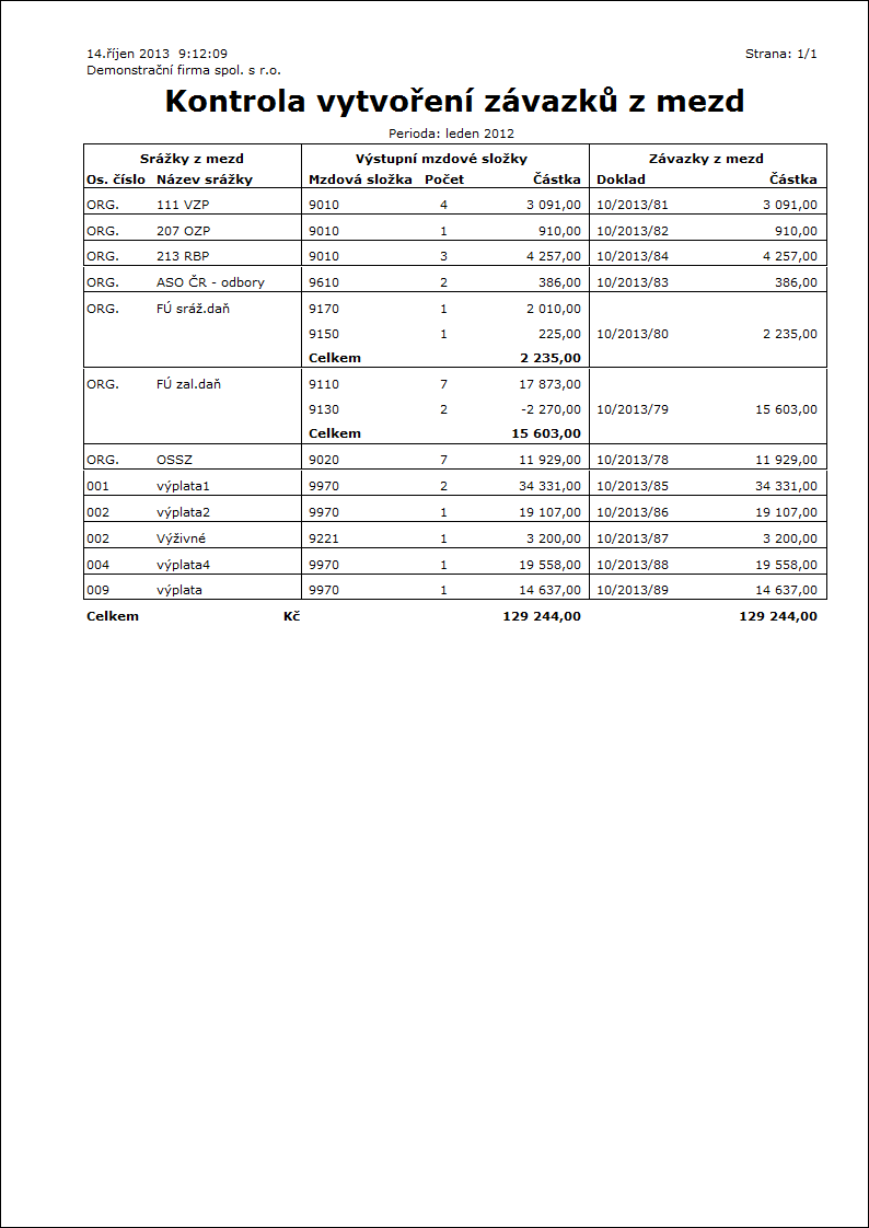
Kontrola vytvoření závazků z mezd
Číslo procesu: MZD005 |
Ident. č. sestavy: SMZD129 |
Soubor: BSP_SEZ02.AM |
Popis sestavy: Umožňuje kontrolu, zda částka na vytvořených závazcích odpovídá částce na výstupních mzdových složkách. |
||
Adresa ve stromu: [Mzdy][Srážky z mezd] |
||
Parametry sestavy:
DisableItemFilter - NE ANO - Vypnout zobrazovací filtr na položkách. |

DNP - Přehled
Číslo procesu: MZD005 |
Ident. číslo sestavy: SMZD107 |
Soubor: MZD_DNP04.AM |
Popis sestavy: Přehled údajů pro výpočet denních dávek nemocenského pojištění. |
||
Adresa ve stromu: [Mzdy] [Mzdové údaje] [Přehledy] [Sociální zabezpečení] |
||
Parametry sestavy:
Centre - Ne Ano - setřídění podle střediska. |
NoInteractive - Ne Ano - nezobrazí vstupní formulář. |
ShowCalcPayoff - Ano Ano - zobrazí poslední výpočet dobírek. |
Sorting - JM Setřídění dle JM - jména; OS - osobního čísla. |
SubTitle Podtitulek. |

Dovolená - měsíční čerpání
Číslo procesu: MZD005 |
Ident. číslo sestavy: SMZD027 |
Soubor: MZD_DOVOL.AM |
Popis sestavy: Přehled o čerpání dovolené v nastaveném měsíci. |
||
Adresa ve stromu: [Mzdy] [Mzdové údaje] [Přehledy] |
||
Parametry sestavy:
Centre - Ne Ano - setřídění podle střediska. |
NewPage - Ano Ano - každé středisko na novou stranu (pokud je parametr "Centre" nastaven na "Ano"); Ne - jedn. střediska se řadí za sebou (viz náhled). |
ShowCalcPayoff - Ano Ano - zobrazí poslední výpočet dobírek. |
Sorting - JM Setřídění dle JM - jména; OS - osobního čísla. |
SortingFields Setřídění dle vybraného datového pole (název pole se uvede do hodnoty parametru). Možnost třídit i podle více polí najednou - názvy oddělíme čárkou. Tento parametr je ovlivněn také parametrem "Centre". Pokud je současně parametr "Centre" nastaven na „NE“, nedojde k setřídění ani podle zadaného pole v hodnotě parametru "SortingFields". |
SortingFieldsDescr - Popis vlastního setřídění definovaného v parametru "SortingFields ". |
SubTitle Podtitulek. |
SuppressAmounts - potlačit částky. Parametr je implicitně nastaven na hodnotu NE, pokud se nastaví na hodnotu ANO, pak se na sestavách místo částek tisknou hvězdičky. |

Dovolená - přehled čerpání
Číslo procesu: MZD005 |
Ident. číslo sestavy:SMZD028 |
Soubor: MZD_DOV.AM |
Popis sestavy: Přehled o čerpání dovolené v nastaveném měsíci. |
||
Adresa ve stromu: [Mzdy] [Mzdové údaje] [Přehledy] |
||
Parametry sestavy:
Centre - Ano Ano - setřídění podle střediska. |
NewPage - Ano Ano - každé středisko na novou stranu (pokud je parametr "Centre" nastaven na "Ano"); Ne - jedn. střediska se řadí za sebou (viz náhled). |
NoInteractive - Ano Ano - nezobrazí úvodní formulář. |
ShowCalcPayoff - Ano Ano - zobrazí poslední výpočet dobírek. |
Sorting - JM Setřídění dle JM - jména; OS - osobního čísla. |
SortingFields Setřídění dle vybraného datového pole (název pole se uvede do hodnoty parametru). Možnost třídit i podle více polí najednou - názvy oddělíme čárkou. Tento parametr je ovlivněn také parametrem "Centre". Pokud je současně parametr "Centre" nastaven na „NE“, nedojde k setřídění ani podle zadaného pole v hodnotě parametru "SortingFields". |
SortingFieldsDescr - Popis vlastního setřízení definovaného v parametru "SortingFields ". |
SubTitle Podtitulek. |
Year - Ne Za rok. |

Dovolená - stav čerpání
Číslo procesu: MZD005 |
Ident. číslo sestavy: SMZD029 |
Soubor: MZD_DOV1.AM |
Popis sestavy: Přehled o aktuálním stavu dovolené. V posledním řádku zobrazuje také rezervu z nevyčerpané dovolené v Kč. |
||
Adresa ve stromu: [Mzdy] [Mzdové údaje] [Přehledy] |
||
Parametry sestavy:
Centre - Ne Ano - setřídění podle střediska. |
NewPage - Ano Ano - každé středisko na novou stranu (pokud je parametr "Centre" nastaven na "Ano"); Ne - jedn. střediska se řadí za sebou (viz náhled). |
ShowCalcPayoff - Ano Ano - zobrazí poslední výpočet dobírek. |
Sorting - JM Setřídění dle JM - jména; OS - osobního čísla. |
SortingFields Setřídění dle vybraného datového pole (název pole se uvede do hodnoty parametru). Možnost třídit i podle více polí najednou - názvy oddělíme čárkou. Tento parametr je ovlivněn také parametrem "Centre". Pokud je současně parametr "Centre" nastaven na „NE“, nedojde k setřídění ani podle zadaného pole v hodnotě parametru "SortingFields". |
SortingFieldsDescr - Popis vlastního setřídění definovaného v parametru "SortingFields ". |
SubTitle Podtitulek. |
SuppressAmounts - potlačit částky. Parametr je implicitně nastaven na hodnotu NE, pokud se nastaví na hodnotu ANO, pak se na sestavách místo částek tisknou hvězdičky. |
SuppressAverage - Ne Ano - nezobrazí informace s průměrem pro dovolené. |

Hlášení na důchodové spoření - soupis údajů
Číslo procesu: MZD005 |
Ident. číslo sestavy: SMZD126 |
Soubor: MZD_MZD_PDS.AM |
Popis sestavy: Sestava zobrazuje přehled údajů pro měsíční hlášení na důchodové spoření. |
||
Adresa ve stromu: |
||
Parametry sestavy:
ObjectDataPath Parametr není určen pro změnu uživatelem. Pomocí parametru se přenášejí data do sestavy. |

Hlášení na důch. spoření (následné) - soupis údajů
Číslo procesu: MZD005 |
Ident. číslo sestavy: SMZD127 |
Soubor: MZD_PDSN.AM |
Popis sestavy: Sestava zobrazuje přehled údajů pro následné hlášení na důchodové spoření. |
||
Adresa ve stromu: |
||
Parametry sestavy:
ObjectDataPath Parametr není určen pro změnu uživatelem. Pomocí parametru se přenášejí data do sestavy. |

ISPV - kontrola údajů
Číslo procesu: MZD012 |
Ident. číslo sestavy: SMZD155 |
Soubor: MZD_ISPV.AM |
Popis sestavy: Kontrolní sestava pro statistiku ISPV. Sestavu je možné použít pro kontrolu vygenerovaných údajů ve skriptu ISPV9. Pouští se nad knihou Mzdové údaje. |
||
Adresa ve stromu: |
||
Parametry sestavy:
SuppressDetail - Ne Ano - Potlačit detaily. Při nastavení na ANO se nezobrazí informace o jednotlivých složkách. |

Vyúčtování pojistného na důchodové spoření - soupis údajů
Číslo procesu: MZD005 |
Ident. číslo sestavy: SMZD131 |
Soubor: MZD_PDSV.AM |
Popis sestavy: Sestava zobrazuje vyúčtování pojistného na důchodové spoření. |
||
Adresa ve stromu: |
||
Parametry sestavy:
ObjectDataPath Parametr není určen pro změnu uživatelem. Pomocí parametru se přenášejí data do sestavy. |

Očekávané postupy
Číslo procesu: MZD005 |
Ident. číslo sestavy: SMZD178 |
Soubor: PREMP_ExpectedProgresses.AM |
Popis sestavy: Očekávané postupy zaměstnanců do dalšího stupně dle započitatelné praxe. |
||
Adresa ve stromu: [Mzdy] [Pracovní vztahy] [Doklady] |
||
Parametry sestavy:
Sorting - JM Setřídění dle JM - jména; OS - osobního čísla. |

Platový výměr
Číslo procesu: MZD005 |
Ident. číslo sestavy: SMZD177 |
Soubor: PREMP_SalaryAssesment.AM |
Popis sestavy: Platový výměr |
||
Adresa ve stromu: [Mzdy] [Pracovní vztahy] [Doklady] |
||
Parametry sestavy:
PrintDate - Datum vyhotovení |
Signatute1 - Podpis |
Signatute2 - Podpis |
Sorting - JM Setřídění dle JM - jména; OS - osobního čísla. |
SupressAmounts - nezobrazovat plné částky u kratších pracovních vztahů Podtitulek. |
VersionedFieldsDate - Datum platnosti hodnot - vytisknou se hodnoty platné k zadanému datu. Implicitně dle nastavení v knize Pracovní vztahy na nulté straně v poli Platnost změn od. |

Proplácení přesčasových příplatků
Číslo procesu: MZD005 |
Ident. číslo sestavy: SMZD191 |
Soubor: MZD_OverTime.AM |
Popis sestavy: Sestava týkající se práce přesčas a za ni náležících příplatků případně náhradního volna. Načítání dat do sloupců:
|
||
Adresa ve stromu: [Mzdy] [Mzdové údaje] [Přehledy] |
||
Parametry sestavy:
Centre - Setřídění dle střediska
|
NewPage - Nová strana . Implicitně se zobrazí každé středisko na jedné straně. NE - Tisk bez odstránkování. |
SkipZero - Potlačit prázdné. |
Sorting - JM Setřídění dle JM - jména; OS - osobního čísla; RČ - rodného čísla. |
SortingFields Setřídění dle vybraného datového pole (název pole se uvede do hodnoty parametru). Možnost třídit i podle více polí najednou - názvy oddělíme čárkou. Tento parametr je ovlivněn také parametrem "Centre". Pokud je současně parametr "Centre" nastaven na „NE“, nedojde k setřídění ani podle zadaného pole v hodnotě parametru "SortingFields". |
SortingFieldsDescr - Popis vlastního setřídění definovaného v parametru "SortingFields ". |
SubTitle Podtitulek. |

Průběh výpočtu nároku na dovolenou
Číslo procesu: MZD005 |
Ident. číslo sestavy:SMZD192 |
Soubor: MZD_LeaveCalc.AM |
Popis sestavy: Sestava zobrazuje uloženou průměrnou sjednanou dobu zaměstnance ze strany P odpracované hodiny a náhradní doby částečně i plně započitatelné. Zobrazuje uložený nárok na dovolenou ze strany P i skutečně dosažený nárok na dovolenou do daného období, nad kterým se sestava spouští, spočítaný dle skutečnosti. Pro zobrazení dat v sestavě je nutné mít proveden kontrolní výpočet.
|
||
Adresa ve stromu: [Mzdy] [Mzdové údaje] [Přehledy] |
||
Parametry sestavy:
Centre - Ano Ano - setřídění podle střediska. |
NewPage - Ano Ano - každé středisko na novou stranu (pokud je parametr "Centre" nastaven na "Ano"); Ne - jedn. střediska se řadí za sebou (viz náhled). |
Sorting - JM Setřídění podle JM (jména); OS (osoby). |
Subtitle - Podtitulek sestavy |

Průběh výpočtu nároku na dovolenou
Číslo procesu: MZD005 |
Ident. číslo sestavy: SMZD048 |
Soubor: MZD_LeaveCalc2.AM |
Popis sestavy: Sestava zobrazuje průběh výpočtu skutečného nároku na dovolenou vždy od počátku roku (nebo pracovního vztahu, pokud začíná v průběhu roku) do období, nad kterým je sestava spuštěna. |
||
Adresa ve stromu: |
||
Parametry sestavy:
Centre - Ano Středisko. |
ShowCalcPayoff - Ano Zobrazit výpočet dobírek. |
PosledniPeriodaStarychMezd Číslo periody. |
Sorting - JM Setřídění podle JM (jména); OS (osoby). |
SubTitle Podtitulek. |
Průběh výpočtu předpokládaného nároku na dovolenou
Číslo procesu: MZD005 |
Ident. číslo sestavy:SMZD193 |
Soubor: MZD_PresumedLeaveCalc.AM |
Popis sestavy: Sestava zobrazuje postup výpočtu předpokládaného nároku na dovolenou. Zobrazuje uloženou průměrnou sjednanou dobu zaměstnance ze strany P (Před výpočtem), datum vzniku a ukončení pracovního vztahu a z toho plynoucí počet dní trvání vztahu v kalendářním roce. Z těchto dnů je pak spočten počet celých týdnů (vydělením sedmi) pro výpočet předpokládaného nároku na dovolenou. Sestava zobrazuje tento spočítaný přepokládaný nárok na dovolenou a také nárok na dovolenou zadaný straně P (Před výpočtem).
|
||
Adresa ve stromu: [Mzdy] [Mzdové údaje] [Přehledy] |
||
Parametry sestavy:
Centre - Ano Ano - setřídění podle střediska. |
NewPage - Ano Ano - každé středisko na novou stranu (pokud je parametr "Centre" nastaven na "Ano"); Ne - jedn. střediska se řadí za sebou (viz náhled). |
Sorting - JM Setřídění podle JM (jména); OS (osoby). |
Subtitle - Podtitulek sestavy |

Výpočet započitatelné praxe
Číslo procesu: MZD005 |
Ident. číslo sestavy: SMZD179 |
Soubor:PREMP_WorkExperience.AM |
Popis sestavy: Sestava zobrazí výpočet započitatelné praxe na pracovním vztahu. |
||
Adresa ve stromu: [Mzdy] [Pracovní vztahy] [Doklady] |
||
Parametry sestavy:
Sorting - JM Setřídění dle JM - jména; OS - osobního čísla. |

Potvrzení o sražených zálohách na pojistné na důchodové spoření
Číslo procesu: MZD005 |
Ident. číslo sestavy: SMZD132 |
Soubor: MZD_PotvrDS.AM |
Popis sestavy: Potvrzení o sražených zálohách pro účely vypořádání přeplatku na pojistném. |
||
Adresa ve stromu: |
||
Parametry sestavy:
ObjectDataPath Parametr není určen pro změnu uživatelem. Pomocí parametru se přenášejí data do sestavy. |

Potvrzení pro posouzení vedlejší SVČ
Číslo procesu: MZD005 |
Ident. číslo sestavy: SMZD145 |
Soubor: MZD_OsvcNem.AM |
Popis sestavy: Potvrzení o době trvání zaměstnání, které zakládá účast na nemocenském pojištění zaměstnanců pro účely posouzení výkonu vedlejší samostatné výdělečné činnosti. |
||
Adresa ve stromu: |
||
Parametry sestavy:
PrintDate - Datum vyhotovení.
|

Hlášení plátce daně
Číslo procesu: MZD005 |
Ident. číslo sestavy: SMZD108 |
Soubor: MZD_HLPD.AM |
Popis sestavy: Hlášení plátce daně o dani z příjmů vybírané srážkou. Finanční úřad apod. - dosadí ze z nastavení Vyúčtování srážkové daně. Na sestavě v pravém horním rohu je tlačítko pro nastavení. 09: hodnota "01" |
||
Adresa ve stromu: |
||
Parametry sestavy:
Centre - Ne Ano - středisko. |
DatumNaslednehoHlaseni - 0.0.0000 Datum zjištění důvodů pro podání následného hlášení. |
LeftShift - 0 Posunutí doprava. |
NoInteractive - Ne Ano - nezobrazí vstupní formulář. |
OpravnenaOsoba |
PrintDay - 0.0.0000 Datum tisku. |
Sorting - JM Setřídění dle JM - jména; OS - osobního čísla; RČ - rodného čísla. |
SuppressDeduct - Ne Ne - v sekci Informace o úhradě se do pole „Částka“ se kopíruje hodnota z řádku 28 a do pole „Účet správce daně“ se zobrazí účet uvedený v Srážkách z mezd pro odvod srážkové daně. Ano - potlačí informace o zaplacení. |
ToForm - Ne Ano - do formuláře. |


Kalkulace mzdových nákladů
Číslo procesu: MZD005 |
Ident. číslo sestavy: SMZD184 |
Soubor: MZD_CostCalculation.AM |
Popis sestavy: Sestava se spouští nad knihou Mzdové údaje na aktuálním nastaveném období. Zobrazuje přehled o mzdových nákladech dle vybrané analytické osy. Implicitně se sestava tiskne dle kódů zakázek. Sestava zobrazuje pouze ty mzdové náklady (načítá ty mzdové složky), na kterých je vybraná osa použita.
Pro zobrazení dat v sestavě se využívá těchto skupin mzdových složek, na základě kterých se data do sestavy načtou:
KAL-ODM - Odměny KAL-MZDY - Mzdy/Platy KAL-OON - Ost. os. náklady KAL-ZDRORG -Zdr. poj. org KAL-SOCORG - Soc. poj. org. KAL-DNP - Náhrady za DNP KAL-FKSP - FKSP
Do názvu sloupce u sestavy se vždy vytiskne Název skupiny. Skupiny se na sestavu tisnou vždy ve stejném pořadí a sloupce se naplní hodnotami dle toho, jak jsou mzdové složky do skupin zařazené. Skupiny mzdových složek pro sestavy je možné si upravit dle potřeby organizace, tedy upravit zařazení složek, zkratku i název skupiny (který se poté na sestavě vytiskne).
|
||
Adresa ve stromu: |
||
Parametry sestavy:
SortingFields - Pole pro setřídění , implicitně Kód zakázky, lze zadat všechny analytické osy. CONTRACTCODE (kód zakázky), COSTCENTRE1 (středisko1), COSTCENTRE2 (středisko2), DEVICE (Prostředek), CODSPS1 (Kód1), CODSPS2 (Kód2), CODE3(Kód3), CODE4 (Kód4), CODE5 (Kód5), CODE6 (Kód6), ARTICLECODE(Kód zboží)
|
IgnoreSortingValue - Ignorovaná hodnota setřídění. Zde je možné zadat, kterou hodnotu v sestavě nezobrazit (např. vybraný kód zakázky a pod.)
|

Kalkulace mzdových nákladů - zaměstnanci
Číslo procesu: MZD005 |
Ident. číslo sestavy: SMZD185 |
Soubor: MZD_CostCalculationWorker |
Popis sestavy: Sestava se spouští nad knihou Mzdové údaje na aktuálním nastaveném období. Zobrazuje přehled o mzdových nákladech dle vybrané analytické osy po jednotlivých zaměstnancích. Implicitně se sestava tiskne dle kódů zakázek. Sestava zobrazuje pouze ty mzdové náklady (načítá ty mzdové složky), na kterých je vybraná osa použita.
Pro zobrazení dat v sestavě se využívá těchto skupin mzdových složek, na základě kterých se data do sestavy načtou:
KAL-ODM - Odměny KAL-MZDY - Mzdy/Platy KAL-OON - Ost. os. náklady KAL-ZDRORG -Zdr. poj. org KAL-SOCORG - Soc. poj. org. KAL-DNP - Náhrady za DNP KAL-FKSP - FKSP
Do názvu sloupce u sestavy se vždy vytiskne Název skupiny. Skupiny se na sestavu tisnou vždy ve stejném pořadí a sloupce se naplní hodnotami dle toho, jak jsou mzdové složky do skupin zařazené. Skupiny mzdových složek pro sestavy je možné si upravit dle potřeby organizace, tedy upravit zařazení složek, zkratku i název skupiny (který se poté na sestavě vytiskne).
|
||
Adresa ve stromu: |
||
Parametry sestavy:
SortingFields - Pole pro setřídění , implicitně Kód zakázky, lze zadat všechny analytické osy. CONTRACTCODE (kód zakázky), COSTCENTRE1 (středisko1), COSTCENTRE2 (středisko2), DEVICE (Prostředek), CODSPS1 (Kód1), CODSPS2 (Kód2), CODE3(Kód3), CODE4 (Kód4), CODE5 (Kód5), CODE6 (Kód6), ARTICLECODE(Kód zboží) |
IgnoreSortingValue - Ignorovaná hodnota setřídění. Zde je možné zadat, kterou hodnotu v sestavě nezobrazit (např. vybraný kód zakázky a pod.) |

Kalkulace mzdových nákladů
Číslo procesu: MZD005 |
Ident. číslo sestavy: SMZD186 |
Soubor: PREMP_CostCalculation.AM |
Popis sestavy: Sestava se spouští nad knihou Pracovní vztahy. Sestavu je možné spustit za více období zpracování mezd - výběrem ve vstupním formuláři. Zobrazuje přehled o mzdových nákladech dle vybrané analytické osy. Implicitně se sestava tiskne dle kódů zakázek. Sestava zobrazuje pouze ty mzdové náklady, na kterých je vybraná osa použita.
Pro zobrazení dat v sestavě se využívá těchto skupin mzdových složek, na základě kterých se data do sestavy načtou:
KAL-ODM - Odměny KAL-MZDY - Mzdy/Platy KAL-OON - Ost. os. náklady KAL-ZDRORG -Zdr. poj. org KAL-SOCORG - Soc. poj. org. KAL-DNP - Náhrady za DNP KAL-FKSP - FKSP
Do názvu sloupce u sestavy se vždy vytiskne Název skupiny. Skupiny se na sestavu tisnou vždy ve stejném pořadí a sloupce se naplní hodnotami dle toho, jak jsou mzdové složky do skupin zařazené. Skupiny mzdových složek pro sestavy je možné si upravit dle potřeby organizace, tedy upravit zařazení složek, zkratku i název skupiny (který se poté na sestavě vytiskne).
|
||
Adresa ve stromu: |
||
Parametry sestavy:
SortingFields - Pole pro setřídění , implicitně Kód zakázky, lze zadat všechny analytické osy. |
IgnoreSortingValue - Ignorovaná hodnota setřídění. Zde je možné zadat, kterou hodnotu v sestavě nezobrazit (např. vybraný kód zakázky a pod.) |

Kalkulace mzdových nákladů - zaměstnanci
Číslo procesu: MZD005 |
Ident. číslo sestavy: SMZD187 |
Soubor: PREMP_CostCalculationWorker |
Popis sestavy: Sestava se spouští nad knihou Pracovní vztahy. Sestavu je možné spustit za více období zpracování mezd - výběrem ve vstupním formuláři. Zobrazuje přehled o mzdových nákladech dle vybrané analytické osy po jednotlivých zaměstnancích. Implicitně se sestava tiskne dle kódů zakázek. Sestava zobrazuje pouze ty mzdové náklady, na kterých je vybraná osa použita.
Pro zobrazení dat v sestavě se využívá těchto skupin mzdových složek, na základě kterých se data do sestavy načtou:
KAL-ODM - Odměny KAL-MZDY - Mzdy/Platy KAL-OON - Ost. os. náklady KAL-ZDRORG -Zdr. poj. org KAL-SOCORG - Soc. poj. org. KAL-DNP - Náhrady za DNP KAL-FKSP - FKSP
Do názvu sloupce u sestavy se vždy vytiskne Název skupiny. Skupiny se na sestavu tisnou vždy ve stejném pořadí a sloupce se naplní hodnotami dle toho, jak jsou mzdové složky do skupin zařazené. Skupiny mzdových složek pro sestavy je možné si upravit dle potřeby organizace, tedy upravit zařazení složek, zkratku i název skupiny (který se poté na sestavě vytiskne).
|
||
Adresa ve stromu: |
||
Parametry sestavy:
SortingFields - Pole pro setřídění , implicitně Kód zakázky, lze zadat všechny analytické osy. |
IgnoreSortingValue - Ignorovaná hodnota setřídění. Zde je možné zadat, kterou hodnotu v sestavě nezobrazit (např. vybraný kód zakázky a pod.) |

Kalkulace mzdových nákladů
Číslo procesu: MZD005 |
Ident. číslo sestavy: SMZD188 |
Soubor: PRCOMO_CostCalculation.AM |
Popis sestavy: Sestava se spouští nad knihou Položky mezd- výstupní mzdové složky. Sestavu je vhodné a žádoucí spouštět nad filtrem (za vybrané období, mzdové složky a pod.), protože kniha obsahuje všechny výstupní mzdové složky přes všechna období zpracování mezd. Zobrazuje přehled o mzdových nákladech dle vybrané analytické osy. Implicitně se sestava tiskne dle kódů zakázek. Sestava zobrazuje všechny mzdové složky dle zařazení do skupin mzdových složek pro tuto sestavu, tedy nejen ty, na kterých je vybraná osa použita, ale i ty, kde je pole pro třídění prázdné.
Pro zobrazení dat v sestavě se využívá těchto skupin mzdových složek, na základě kterých se data do sestavy načtou:
KAL-ODM - Odměny KAL-MZDY - Mzdy/Platy KAL-OON - Ost. os. náklady KAL-ZDRORG -Zdr. poj. org KAL-SOCORG - Soc. poj. org. KAL-DNP - Náhrady za DNP KAL-FKSP - FKSP
Do názvu sloupce u sestavy se vždy vytiskne Název skupiny. Skupiny se na sestavu tisnou vždy ve stejném pořadí a sloupce se naplní hodnotami dle toho, jak jsou mzdové složky do skupin zařazené. Skupiny mzdových složek pro sestavy je možné si upravit dle potřeby organizace, tedy upravit zařazení složek, zkratku i název skupiny (který se poté na sestavě vytiskne).
|
||
Adresa ve stromu: |
||
Parametry sestavy:
SortingFields - Pole pro setřídění , implicitně Kód zakázky, lze zadat všechny analytické osy. |
IgnoreSortingValue - Ignorovaná hodnota setřídění. Zde je možné zadat, kterou hodnotu v sestavě nezobrazit (např. vybraný kód zakázky a pod.) |

Kalkulace mzdových nákladů - zaměstnanci
Číslo procesu: MZD005 |
Ident. číslo sestavy: SMZD189 |
Soubor:PRCOMO_CostCalculationWorker |
Popis sestavy: Sestava se spouští nad knihou Položky mezd- výstupní mzdové složky. Sestavu je vhodné a žádoucí spouštět nad filtrem (za vybrané období, mzdové složky a pod.), protože kniha obsahuje všechny výstupní mzdové složky přes všechna období zpracování mezd. Zobrazuje přehled o mzdových nákladech dle vybrané analytické osy po jednotlivých zaměstnancích. Implicitně se sestava tiskne dle kódů zakázek. Sestava zobrazuje všechny mzdové složky dle zařazení do skupin mzdových složek pro tuto sestavu, tedy nejen ty, na kterých je vybraná osa použita, ale i ty, kde je pole pro třídění prázdné.
Pro zobrazení dat v sestavě se využívá těchto skupin mzdových složek, na základě kterých se data do sestavy načtou:
KAL-ODM - Odměny KAL-MZDY - Mzdy/Platy KAL-OON - Ost. os. náklady KAL-ZDRORG -Zdr. poj. org KAL-SOCORG - Soc. poj. org. KAL-DNP - Náhrady za DNP KAL-FKSP - FKSP
Do názvu sloupce u sestavy se vždy vytiskne Název skupiny. Skupiny se na sestavu tisnou vždy ve stejném pořadí a sloupce se naplní hodnotami dle toho, jak jsou mzdové složky do skupin zařazené. Skupiny mzdových složek pro sestavy je možné si upravit dle potřeby organizace, tedy upravit zařazení složek, zkratku i název skupiny (který se poté na sestavě vytiskne).
|
||
Adresa ve stromu: |
||
Parametry sestavy:
SortingFields - Pole pro setřídění , implicitně Kód zakázky, lze zadat všechny analytické osy. |
IgnoreSortingValue - Ignorovaná hodnota setřídění. Zde je možné zadat, kterou hodnotu v sestavě nezobrazit (např. vybraný kód zakázky a pod.) |

Kalendář - AM
Číslo procesu: MZD005 |
Ident. číslo sestavy: SMZD120 |
Soubor: PRWOR_SEZ01.AM |
Popis sestavy: Sestavu spouštíme nad mzdovým kalendářem, přehledně zobrazuje rozpis směn pro jednotlivé dny v měsíci. |
||
Adresa ve stromu: |
||
Parametry sestavy:
DateFrom Datum od pro zobrazení hodnot. |
DateTo Datum do pro zobrazení hodnot. |

New Topic (2)
Číslo procesu: MZD005 |
Ident. číslo sestavy: SMZD030 |
Soubor: MZD_NAKLS.AM |
Popis sestavy: Přehled o mzdových nákladech za jednotlivé zaměstnance a za organizaci od začátku kalendářního roku do nastaveného měsíce. Při pouštění sestavy nad knihou (0. strana, žádné označení záznamů) sestava kontroluje výpočet mandanta - zahlásí, pokud tento není. V případě zobrazení nad vybranými záznamy (hvězdičky, výběr, filtr, jiná něž 0. strana) se v sestavě nezobrazuje řádek Odvod sociálního pojištění a Rozdíl zaokrouhlení (spočítané při výpočtu mandanta). |
||
Adresa ve stromu: [Mzdy] [Mzdové údaje] [Přehledy] |
||
Parametry sestavy:
ActualMonth - Ne Ano - aktuální měsíc. |
ByMonths - Ne Ano - souhrn za měsíce. |
Centre - Ano Ano - setřídění podle střediska. |
InCurrency- Ne Ano - hodnoty v sestavě se zobrazí dle měny mandanta. |
NewPage - Ano Ano - každé středisko na novou stranu (pokud je parametr "Centre" nastaven na "Ano"); Ne - jedn. střediska se řadí za sebou (viz náhled). |
NoInteractive - Ne Ano - nezobrazí vstupní formulář. |
ShowCalcPayoff - Ano Ano - zobrazí poslední výpočet dobírek. |
Sorting - JM Setřídění dle JM - jména; OS - osobního čísla; RČ - rodného čísla. |
SortingFields Setřídění dle vybraného datového pole (název pole se uvede do hodnoty parametru). Možnost třídit i podle více polí najednou - názvy oddělíme čárkou. Tento parametr je ovlivněn také parametrem "Centre". Pokud je současně parametr "Centre" nastaven na „NE“, nedojde k setřídění ani podle zadaného pole v hodnotě parametru "SortingFields". |
SortingFieldsDescr - Popis vlastního setřídění definovaného v parametru "SortingFields ". |
SubTitle Podtitulek. |
SuppressDetail - Ne Potlačit detaily. |
SuppressName - Ne Ano- Skrýt jménno pracovníka - jméno zaměstnance ne na sestavě nezobrazí. |

Mzdový list
Číslo procesu: MZD005 |
Ident. číslo sestavy: SMZD031 |
Soubor: MZD_LIST.AM |
Popis sestavy: Informace o pracovním poměru od začátku kalendářního roku. |
||
Adresa ve stromu: [Mzdy] [Mzdové údaje] [Přehledy]. [Mzdy] [Mzdové údaje] [Doklady - potvrzení]. |
||
Parametry sestavy:
ByAccounting - Ano Ano - dle účtování. |
Centre - Ne Ano - setřídění podle střediska. |
DuplexPrint - Ne Ano - oboustranný tisk. |
KontaPracovniDoby - Ano Ano - konta pracovní doby. |
NezahrnovatNocniPrace - Ne Ano - odpočítá noční práci od celk. odpracované doby. |
NezahrnovatPrescasy - Ne Ano - odpočítá přesčasy od celk. odpracované doby. |
NoInteractive - Ano Nezobrazovat vstupní formulář. |
OddelitNocniPrace - Ne Noční práce (odečítat z pracovní doby) |
PersAssess - Ano Tisk osobního ohodnocení. |
PosledniPeriodaStarychMezd Číslo periody. |
ShowCalcPayoff - Ano Ano - zobrazí poslední výpočet dobírek. |
Sorting - JM Setřídění dle JM - jména; OS - osobního čísla; RČ - rodného čísla. |
SubTitle Podtitulek. |
SumacniList - Ne Ano - Umožňuje vytisknout sumační Mzdový list např. v případě více DPP v jednom roce. Sestavu je pak třeba pustit s tímto parametrem nad záznamy označenými hvězdičkou z 0. strany |
SuppressKindofWork - NE Ano - Potlačit tisk pole Druh práce |
SuppressLastYearTax - NE Ano - Nenačítat RZD předchozího roku |
WageRate - Ano Ano - tisk mzdové sazby. |
WageRate1 - Ne Ano - tiskne sazbu 1. |
WageRate2 - Ne Ano - tiskne sazbu 2. |


Mzdový list na výšku
Číslo procesu: MZD005 |
Ident. číslo sestavy: SMZD032 |
Soubor: MZD_LISTV.AM |
Popis sestavy: Informace o pracovním poměru od začátku kalendářního roku. Sestava se tiskne na výšku. |
||
Adresa ve stromu: [Mzdy] [Mzdové údaje] [Přehledy] [Mzdy] [Mzdové údaje] [Doklady - potvrzení] |
||
Parametry sestavy:
ByAccounting - Ano Ano - dle účtování. |
Centre - Ne Ano - setřídění podle střediska. |
DuplexPrint - Ne Ano - oboustranný tisk. |
KontaPracovniDoby - Ano Ano - konta pracovní doby. |
NezahrnovatNocniPrace - Ne Ano - odpočítá noční práci od celk. odpracované doby. |
NezahrnovatPrescasy - Ne Ano - odpočítá přesčasy od celk. odpracované doby. |
NoInteractive - Ano Nezobrazovat vstupní formulář. |
OddelitNocniPrace - Ne Noční práce (odečítat z pracovní doby) |
PersAssess - Ano Tisk osobního ohodnocení. |
ShowCalcPayoff - Ano Ano - zobrazí poslední výpočet dobírek. |
Sorting - JM Setřídění dle JM - jména; OS - osobního čísla; RČ - rodného čísla. |
SubTitle Podtitulek. |
SuppressKindofWork - NE Ano - Potlačit tisk pole Druh práce |
SuppressLastYearTax - NE Ano - Nenačítat RZD předchozího roku |
WageRate - Ano Ano - tisk mzdové sazby. |
WageRate1 - Ne Ano - tiskne sazbu 1. |
WageRate2 - Ne Ano - tiskne sazbu 2. |


Nemocenské pojištění - evidence dávek
Číslo procesu: MZD005 |
Ident. číslo sestavy: SMZD033 |
Soubor: MZD_DNEM.AM |
Popis sestavy: Zobrazuje přehled dnů nepřítomnosti vykázaných pro výplatu dávek nemocenského pojištění. |
||
Adresa ve stromu: |
||
Parametry sestavy:
ActualMonth - Ano Aktuální měsíc. |
ByCompKey - Ne Ano - Tříděni dle klíče (Z - bude pokračovat, P - navazuje a bude pokračovat, K - navazuje, prázdný - nenavazuje a nebude pokračovat) Na sestavě lze nastavit buď parametr ByWageComp nebo ByCompKey, ne oba najednou. |
Centre - Ano Ano - setřídí podle střediska. |
InputComp - Ne Ano - sestava se spuští nad vstupními složkami - nad 5. stranou Mzdových údajů. |
NoInteractive - Ne Ano - nezobrazí vstupní formulář. |
ShowCalcPayoff - Ano Zobrazit poslední výpočet dobírek. |
ShowSumation - Ano Zobrazit sumační řádek. |
SicknessBenefits - NE Ano - Zobrazí se pouze záznamy s výplatou nemocenské dávky od ČSSZ |
Sorting - JM Setřídění dle JM - jména; OS - osobního čísla; RO - rodného čísla. |
SortingFields Setřídění dle vybraného datového pole (název pole se uvede do hodnoty parametru). Možnost třídit i podle více polí najednou - názvy oddělíme čárkou. Tento parametr je ovlivněn také parametrem "Centre". Pokud je současně parametr "Centre" nastaven na „NE“, nedojde k setřídění ani podle zadaného pole v hodnotě parametru "SortingFields". |
SortingFieldsDescr - Popis vlastního setřídění definovaného v parametru "SortingFields ". |
SubTitle Podtitulek. |

Nemocenské pojištění - náhrady mezd
Číslo procesu: MZD005 |
Ident. číslo sestavy: SMZD034 |
Soubor: MZD_NAHRNEM.AM |
Popis sestavy: Nemocenské pojištění - náhrady mezd. |
||
Adresa ve stromu: |
||
Parametry sestavy:
ActualMonth - Ano Ano - aktuální měsíc. |
ByIncapacityType - Ne Ano - dle druhu pracovní neschopnosti |
Centre - Ano Ano - setřídí podle střediska. |
NewPage - Ne Ano - každé středisko na novou stranu (pokud je parametr "Centre" nastaven na "Ano"); Ne - jedn. střediska se řadí za sebou (viz náhled). |
NoInteractive - Ne Ano - nezobrazí vstupní formulář. |
ShowCalcPayoff - Ano Ano - zobrazí poslední výpočet dobírek. |
Sorting - JM Setřídění dle JM - jména; OS - osobního čísla; RO - rodného čísla. |
SortingFields Setřídění dle vybraného datového pole (název pole se uvede do hodnoty parametru). Možnost třídit i podle více polí najednou - názvy oddělíme čárkou. Tento parametr je ovlivněn také parametrem "Centre". Pokud je současně parametr "Centre" nastaven na „NE“, nedojde k setřídění ani podle zadaného pole v hodnotě parametru "SortingFields". |
SortingFieldsDescr - Popis vlastního setřídění definovaného v parametru "SortingFields ". |
SubTitle Podtitulek. |

Nemocenské pojištění - seznam účastníků
Číslo procesu: MZD005 |
Ident. číslo sestavy: SMZD035 |
Soubor: MZD_NEMSEZ.AM |
Popis sestavy: Nemocenské pojištění - sezam účastníků. |
||
Adresa ve stromu: |
||
Parametry sestavy:
Centre - Ano Ano - setřídí podle střediska. |
InsuranceKind - Ne Ano - druh pojistného. |
NewPage - Ano Ano - každé středisko na novou stranu (pokud je parametr "Centre" nastaven na "Ano"); Ne - jedn. střediska se řadí za sebou (viz náhled). |
NoInteractive - Ano Ano - nezobrazí vstupní formulář. |
ShowCalcPayoff - Ano Zobrazit poslední výpočet dobírek. |
Sorting - JM Setřídění dle JM - jména; OS - osobního čísla. |
SubTitle Podtitulek. |

Nemocenské pojištění - výpočet dávky NP
Číslo procesu: MZD005 |
Ident. číslo sestavy: SMZD137 |
Soubor: MZD_DNPVYP.AM |
Popis sestavy: Sestava zobrazuje výpočet dávky nemocenského pojištění, kterou hradí CSSZ. |
||
Adresa ve stromu: |
||
Parametry sestavy:
ActualMonth - Ano NE - aktuální měsíc. |
ByWageComp - Ne Ano - setříděno dle mzdové složky. |
Centre - Ano Ano - setřídí podle střediska. |
NewPage - Ano Ano - každé středisko na novou stranu (pokud je parametr "Centre" nastaven na "Ano"); Ne - jedn. střediska se řadí za sebou (viz náhled). |
Sorting - setřídění podle JM (jména), OS (osobního čísla), RO (rodného čísla) |
SortingFields - pole pro setřídění (pole z hlavičky) |
SortingFieldsDescr - Popis vlastního setříděníé |
Subtitle - podtitulek |

Odpracované hodiny
Číslo procesu: MZD005 |
Ident. číslo sestavy: SMZD036 |
Soubor: MZD_HOD.AM |
Popis sestavy: Přehled o odpracované a neodpracované době za jednotlivé zaměstnance v nastaveném období. Při zadání hodnoty do parametrů "HodinyDohodnutychPrescasu", "HodinyNarizenychPrescasu" nebo "HodinyDPP", sestava kontroluje pole Práce přesčas a v případě překročení pole probarví žlutě nebo červeně. |
||
Adresa ve stromu: [Mzdy] [Mzdové údaje] [Přehledy] |
||
Parametry sestavy:
ActualMonth - Ano Ano - aktuální měsíc. |
ByAccounting - Ne Ano - zobrazit hodiny dle účtování. |
Centre - Ne Ano - setřídí podle střediska. |
HodinyDohodnutychPrescasu - 416 Maximální počet hodin dohodnutých přesčasů. |
HodinyDPP - 150 Maximální počet hodin na dohodu o provedení práce. |
HodinyNarizenychPrescasu - 150 Maximální počet hodin nařízených přesčasů. |
KontaPracovniDoby - Ne Ano - konta pracovní doby. |
NewPage - Ano Nová strana. |
NezahrnovatNocniPrace - Ne Ano - odpočítá noční práci od celkové odpracované doby. |
NezahrnovatPrescasy - Ne Ano - odpočítá přesčasy od celkové odpracované doby. |
NoInteractive Ano - nezobrazí vstupní formulář. |
OddelitNocniPrace - Ne Noční práce (odečítat z pracovní doby) |
PosledniPeriodaStarychMezd Číslo periody. |
ShowCalcPayoff - Ano Zobrazit poslední výpočet dobírek. |
ShowMonths- Ne Ano - zobrazit údaje za jednotlivé měsíce. |
Sorting - JM Setřídění dle JM - jména; OS - osobního čísla. |
SortingFields Setřídění dle vybraného datového pole (název pole se uvede do hodnoty parametru). Možnost třídit i podle více polí najednou - názvy oddělíme čárkou. |
SortingFieldsDescr - Popis vlastního setřídění definovaného v parametru "SortingFields ". |
SubTitle Podtitulek |
SuppressDetail - Ne Potlačit detaily. |

Odpracované hodiny 2
Číslo procesu: MZD005 |
Ident. číslo sestavy: SMZD152 |
Soubor: MZD_HOD2.AM |
Popis sestavy: Přehled o odpracované a neodpracované době za jednotlivé zaměstnance v nastaveném období. Sestava na výšku. |
||
Adresa ve stromu: |
||
Parametry sestavy:
ActualMonth - Ano Ano - aktuální měsíc. |
ByAccounting - Ne Ano - zobrazit hodiny dle účtování. |
Centre - Ne Ano - setřídí podle střediska. |
KontaPracovniDoby - Ne Ano - konta pracovní doby. |
NewPage - Ano Nová strana. |
NezahrnovatPrescasy - Ne Ano - odpočítá přesčasy od celkové odpracované doby. |
NoInteractive Ano - nezobrazí vstupní formulář. |
OddelitPrescasy - Ne Přesčasy (odečítat z pracovní doby) |
OdecistVynetiMCF - Ne Odečítat hodiny vynětí z fondu pracovní doby. |
PosledniPeriodaStarychMezd Číslo periody. |
ShowMonths- Ne Ano - zobrazit údaje za jednotlivé měsíce. |
Sorting - JM Setřídění dle JM - jména; OS - osobního čísla. |
SortingFields Setřídění dle vybraného datového pole (název pole se uvede do hodnoty parametru). Možnost třídit i podle více polí najednou - názvy oddělíme čárkou. |
SortingFieldsDescr - Popis vlastního setřídění definovaného v parametru "SortingFields ". |
SubTitle Podtitulek |
SuppressDetail - Ne Potlačit detaily. |
SvatkydoNeodprac - Ne Svátky ve mzdě do neodpracované doby. |

Odpověď na žádost o součinnost
Číslo procesu: MZD005 |
Ident. číslo sestavy: SMZD168 |
Soubor: BSP_AnswReq.AM |
Popis sestavy: Sestava pro komunikaci v rámci srážek ze mzdy na základě výkonu rozhodnutí. Do části srážek se načítají ty srážky zaměstnance, které mají vyplněno pole Typ pohledávky na záložce další údaje a nejsou zneplatněné. |
||
Adresa ve stromu:[Mzdy][Srážky z mezd] |
||
Parametry sestavy:
Email - Email |
MadeBy -Sestavil |
PrintDate - Datum tisku |
PrintPlace - Místo tisku |
Telephone - Telefon |

Oznámení o nástupu do pracovního poměru
Číslo procesu: MZD005 |
Ident. číslo sestavy: SMZD169 |
Soubor: BSP_BeginContract.AM |
Popis sestavy: Sestava pro komunikaci v rámci srážek ze mzdy na základě výkonu rozhodnutí. |
||
Adresa ve stromu:[Mzdy][Srážky z mezd] |
||
Parametry sestavy:
Email - Email |
MadeBy -Sestavil |
PrintDate - Datum tisku |
PrintPlace - Místo tisku |
Telephone - Telefon |

Oznámení o ukončení pracovního poměru
Číslo procesu: MZD005 |
Ident. číslo sestavy: SMZD170 |
Soubor: BSP_EndContract.AM |
Popis sestavy: Sestava pro komunikaci v rámci srážek ze mzdy na základě výkonu rozhodnutí. |
||
Adresa ve stromu:[Mzdy][Srážky z mezd] |
||
Parametry sestavy:
Email - Email |
MadeBy -Sestavil |
PrintDate - Datum tisku |
PrintPlace - Místo tisku |
Telephone - Telefon |

Přehled srážek zaměstnance
Číslo procesu: MZD005 |
Ident. číslo sestavy: SMZD171 |
Soubor: BSP_DeductList.AM |
Popis sestavy: Sestava tiskne přehled vybraných srážek ze mzdy zaměstnance, |
||
Adresa ve stromu:[Mzdy][Srážky z mezd] |
||
Parametry sestavy:
Email - Email |
MadeBy -Sestavil |
PrintDate - Datum tisku |
PrintPlace - Místo tisku |
Telephone - Telefon |

Penzijní a životní pojištění
Číslo procesu: MZD005 |
Ident. číslo sestavy: SMZD037 |
Soubor: MZD_PEZI.AM |
Popis sestavy: Penzijní a životní pojištění. |
||
Adresa ve stromu: |
||
Parametry sestavy:
ActualMonth - Ano Ano - aktuální měsíc. |
Centre - Ano Ano - setřídění podle střediska. |
NewPage - Ne Ano - každé středisko na novou stranu (pokud je parametr "Centre" nastaven na "Ano"), Ne - jedn. střediska se řadí za sebou (viz náhled). |
NoInteractive - Ne Ano - nezobrazí vstupní formulář. |
PosledniPeriodaStarychMezd Číslo periody. |
ShowCalcPayoff - Ano Ano - zobrazí poslední výpočet dobírek. |
Sorting - JM Setřídění dle JM - jména; OS - osobního čísla. |
SortingFields Setřídění dle vybraného datového pole (název pole se uvede do hodnoty parametru). Možnost třídit i podle více polí najednou - názvy oddělíme čárkou. Tento parametr je ovlivněn také parametrem "Centre". Pokud je současně parametr "Centre" nastaven na „NE“, nedojde k setřídění ani podle zadaného pole v hodnotě parametru "SortingFields". |
SortingFieldsDescr - Popis vlastního setřídění definovaného v parametru "SortingFields ". |
SubTitle Podtitulek. |
SuppressDetail - Ne Ano - potlačit detail. |

Podpůrčí doba
Číslo procesu: MZD005 |
Ident. číslo sestavy: SMZD038 |
Soubor: MZD_PODPDOBA.AM |
Popis sestavy: Sestava vypočítává a zobrazuje stav a čerpání podpůrčí doby. Počet dnů podpůrčí doby se u zaměstnance zobrazuje ten, který je zadaný na mzdové složce. Zároveň se na sestavě zobrazuje, kolik dní popůrčí doby bylo vyčerpáno u předchozích pracovních neschopností a jaká je tedy aktuální výše popůrčí doby = Navrhovaný počet dnů podpůrčí doby. Tento údaj by se měl vyplnit na zadávanou mzdovou složku pro pracovní neschopnost. |
||
Adresa ve stromu: |
||
Parametry sestavy:
Centre - Ano Ano - setřídění podle střediska. |
Date - 0.0.0000 Datum. |
DaysLimit - 94 Limit dní. |
NewPage - Ne Ano - odstránkování. |
OnlyBelowDaysLimit - Ne Ano - pouze záznamy pod limit dní. |
ShowCalcPayoff - Ano Ano - zobrazí poslední výpočet dobírek. |
Sorting - JM Setřídění dle JM - jména; OS - osobního čísla. |
SubTitle Podtitulek. |
SuppressDetail - Ne Potlačit detaily. |
WholeMonth - Ano Ano - za celý měsíc. |

Přehled o výši pojistného
Číslo procesu: MZD005 |
Ident. číslo sestavy: SMZD039 |
Soubor: MZD_VYSR.AM |
Popis sestavy: Přehled o výši pojistného. Předepsaný formulář, pro odvod srážek pojistného, může být každý rok jiný. V pravém horním rohu tlačítka pro Export do xml (vytvoří exportní soubor + uloží jej na disk) a pro Otevřít web. Po stisknutí tlačítka se otevře příslušná webová stránka, kterou je možné mít zadanou zde: - v parametru "WWW" - webová stránka. - adresa zadaná v poznámce typu WW na srážce organizace - adresa typu www na partnerovi (partner je přiřazen na srážce organizace na 1. straně v poli Adresát)
Adresa se bere z parametru, pokud zde není, tak z poznámky na srážce a pokud není ani zde, tak z partnera.
V případě opravného přehledu nebo storna je potřeba nastavit parametr XML TYPE na odpovídající hodnotu a nastavit také parametry - XML_corrIDStorna a XML_Note. Program na toto upozorní, pokud je přehled spuštěn s parametrem jako opravný nebo storno a tyto parametry vyplněny nejsou.
Obr.: Hlášení programu Pokud je zároveň vyplněn parametr ElectronicSubmissionBoook, tedy přehledy se zasílají přes Elektronické podání, pak se program zeptá, zda identifikátor stornovaného/opravovaného přehledu načíst z knihy pro elektronická podání:
Obr.: Hlášení programu Po odpovědi ANO se otevře kniha Elekronická podání a opravovaný/stornovaný přehled se vybere pomocí ENTER nebo dvojkliku na odpovídajícím záznamu. Tím dojde k načtení čísla podání do parametru XML_corrIDStorna a není potřeba tento parametr vyplňovat ručně. |
||
Adresa ve stromu: |
||
Parametry sestavy:
BankAccount Bankovní účet. |
ElectronicSubmissionBook - Kniha elektronických podání (zkratka knihy). Nastavení parametru zajistí při exportu do *.XML souboru vytvoření nového záznamu do knihy Elektronická podání. |
DataBox - datová schránka příjemce |
DateOfPositing Datum odeslání. |
KodOSSZ Kód OSSZ. |
MadeBy Sestavil. |
MadeByName Kontaktní pracovník (jméno). |
MadeBySurname Kontaktní pracovník (příjmení). |
NoInteractive Ano - nezobrazí vstupní formulář. |
Org_Number Organizace - číslo. |
Org_Street Organizace - ulice. |
PersonEmail Odpovědný pracovník - email. |
PersonName Odpovědný pracovník - jméno. |
PersonPhone Odpovědný pracovník - telefon. |
PrintingDay - 0.0.0000 Datum vyplnění. |
SendByDataBox - Po exportu odeslat přes datovou schránku |
TariffCode Kód sazby. |
Telephone Telefon. |
ToForm - Ne Ano - tisk do formuláře. |
WWW - webová stránka |
XML_corrIDStorna ID opravovaného přehledu. identifikátor opravovaného e-Podání, které podávající dostal ze systému při použití kanálu VREP. V případě kanálu ISDS se vyplňuje ID datové zprávy. |
XML_Note Poznámka do XML souboru. |
XML_Type - N Typ přehledu (N - řádný; Z - opravný; S - storno). Při opravném přehledu čerpá informace z opravných složek H9020 na straně H. |
XMLpath Cesta k ukládaným "*.xml" souborům. |

Potvrzení měsíčního výdělku pro ÚP
Číslo procesu: MZD005 |
Ident. č. sestavy: SMZD110 |
Soubor: MZD_MESVYD.AM |
Popis sestavy: Potvrzení měsíčního výdělku pro ÚP |
||
Adresa ve stromu: |
||
Parametry sestavy:
ActualMonth - Ne Ano - aktuální měsíc. |
Centre - Ne Ano - setřídění podle střediska. |
NoInteractive - Ne Ano - nezobrazí vstupní formulář. |
Sign - Obrázek s podpisem uživatele. Implicitní hodnota parametru je 0 - pak se razítko nezobrazí.
Možné hodnoty parametru:
- aktuální přihlášený uživatel: @akt;;; - přihlašovací jméno do K2 - tedy obrázek konkrétního uživatele (např. uživatel Novák): NOVAK;;;
Parametr má 5 pozic:
1. pozice určuje osobu, jejíž podpis se má zobrazit.
Implicitně se bere hodnota zadaná v poli Razítko v Nastavení vlastních firem. Zde se zadá cesta a název souboru. Cestu lze zadat pomocí aliasu. Místo konkrétního názvu souboru lze zadat %s. Pak se bere razítko uživatele nastaveného v parametru Sign (implicitně @Vyst - tedy ten, kdo ELDP vyhotovil.) Obrázek musí být vždy ve formátu xxx.png. Pokud není vyplněna cesta v Nastavení vlastních firem, pak se hledá soubor v adresáři Pictures dle zadaného parametru Sign.
Příklad zadání v poli Razítko v Nastavení vlastních firem: pomocí alias: k2*DEMO\Pictures\razitko.png (hledá se obrázek v cestě mandanta. Soubor razitko.png v adresáři Pictures) pomocí %s: k2*DEMO\Razitka\%s.png (takto zadaná hodnota umožní zobrazit bitmapy s podpisem všem uživatelům, kteří mohou být zadáni v parametri Sign a mají soubor ve formátu PNG v adresáři (v tomto případě uživatelem vytvořený adresář Razitka).
2. pozice: výška obrázku (udává o kolik bodů se má zvětšit výchozí výška obrázku) 3. pozice: vzdálenost od levého okraje. 4. pozice: vzdálenost obrázku od horního okraje dané sekce. 5. pozice: šířka obrázku (udává o kolik bodů se má zvětšit výchozí šířka obrázku) Příklad: (Sign - @akt;27;47;0;83) Tiskne podpis aktuálně přihlášeného uživatele, jehož výchozí pozice je: zvětšená o 27 bodů na výšku, odsazená zleva navíc o 47 bodů. Šířka obrázku je zvětšená o 83 bodů. |
Sorting - JM Setřídění podle JM (jméno); OS (osobní číslo). |
SubTitle Podtitulek. |

Potvrzení o prům. výši měs. příjmu zaměstnance
Číslo procesu: MZD005 |
Ident. číslo sestavy: SMZD040 |
Soubor: MZD_POTV.AM |
Popis sestavy: Tato sestava umožní vyčíslit a vytisknout jako potvrzení výši čistého měsíčního příjmu zaměstnanců. |
||
Adresa ve stromu: [Mzdy] [Mzdové údaje] [Přehledy] |
||
Parametry sestavy:
AverageIncome Průměrný příjem. Možnost zadat hodnotu průměrného příjmu do parametru. |
Centre - Ano Ano - setřídění podle střediska. |
NoInteractive - Ne Ano - nezobrazí vstupní formulář. |
Place Místo. |
PosledniPeriodaStarychMezd Číslo periody. |
PrintDay - 0.0.0000 Datum tisku. |
Sorting - JM Setřídění dle JM - jména; OS - osobního čísla. |
SubTitle Podtitulek. |

Potvrzení o zaměstnání
Číslo procesu: MZD005 |
Ident. číslo sestavy: SMZD041 |
Soubor: MZD_SEZZ.AM |
Popis sestavy: Doklad, povinně vydávaný při ukončení pracovního poměru, tzv. zápočtový list. Obsah údajů stanoví zákoník práce. Údaje týkající se srážek ze mzdy: - do sloupce Druh se načítá Typ pohledávky ze srážky, pokud zde není vyplněno, pak se načte přímo ze mzdové složky |
||
Adresa ve stromu: [Mzdy] [Mzdové údaje] [Přehledy] [Mzdy] [Mzdové údaje] [Doklady potvrzení] |
||
Parametry skriptu:
AttachmentFileName Název souboru pro email. |
CryptPdfFille - Ne Zaheslovat posílaný Pdf soubor. |
EditMail - Ne Editovat exportované emaily. |
ExpositionTime Expoziční doba. |
Deduction - Ne Ano - Při nastavení parametru na ANO se srážky na základě výkonu rozhodnutí načtou z číselníku a ne ze Mzdových údajů, tedy načtou se i bez provedeného kontrolního výpočtu a načtou se i ty srážky, pro které není ve Mzdových údajích zadaná mzdová složka. |
MailDefault - Ne |
Message Sdělení. |
NoInteractive - Ne Ano - nezobrazí vstupní formulář. |
OtherMessages - Ne Ano - zobrazí jiná sdělení. |
PartnerName - Ne - údaj se načte z pole Název srážky Ano - "Ve prospěch" z Adresáta, údaj se načte z pole Adresát na srážce |
Place Místo vystavení. |
PrintDate - 0.0.0000 Datum tisku. |
Qualification Dosažená kvalifikace. |
Sign - Obrázek s podpisem uživatele. Implicitní hodnota parametru je 0 - pak se razítko nezobrazí.
Možné hodnoty parametru:
- aktuální přihlášený uživatel: @akt;;; - přihlašovací jméno do K2 - tedy obrázek konkrétního uživatele (např. uživatel Novák): NOVAK;;;
Parametr má 5 pozic:
1. pozice určuje osobu, jejíž podpis se má zobrazit.
Implicitně se bere hodnota zadaná v poli Razítko v Nastavení vlastních firem. Zde se zadá cesta a název souboru. Cestu lze zadat pomocí aliasu. Místo konkrétního názvu souboru lze zadat %s. Pak se bere razítko uživatele nastaveného v parametru Sign (implicitně @Vyst - tedy ten, kdo ELDP vyhotovil.) Obrázek musí být vždy ve formátu xxx.png. Pokud není vyplněna cesta v Nastavení vlastních firem, pak se hledá soubor v adresáři Pictures dle zadaného parametru Sign.
Příklad zadání v poli Razítko v Nastavení vlastních firem: pomocí alias: k2*DEMO\Pictures\razitko.png (hledá se obrázek v cestě mandanta. Soubor razitko.png v adresáři Pictures) pomocí %s: k2*DEMO\Razitka\%s.png (takto zadaná hodnota umožní zobrazit bitmapy s podpisem všem uživatelům, kteří mohou být zadáni v parametri Sign a mají soubor ve formátu PNG v adresáři (v tomto případě uživatelem vytvořený adresář Razitka).
2. pozice: výška obrázku (udává o kolik bodů se má zvětšit výchozí výška obrázku) 3. pozice: vzdálenost od levého okraje. 4. pozice: vzdálenost obrázku od horního okraje dané sekce. 5. pozice: šířka obrázku (udává o kolik bodů se má zvětšit výchozí šířka obrázku) Příklad: (Sign - @akt;27;47;0;83) Tiskne podpis aktuálně přihlášeného uživatele, jehož výchozí pozice je: zvětšená o 27 bodů na výšku, odsazená zleva navíc o 47 bodů. Šířka obrázku je zvětšená o 83 bodů. |
SecondPage - Ne Ano - zobrazí druhou stranu. |
ShowHeaInsCom - Ne Ano - zobrazí zdravotní pojištění. |
ShowChangeWorkCap - Ne Ano - zobrazí změněnou pracovní schopnost. |
ShowEducation - Ne Ano - při nastavení na "Ano" zobrazí vzdělání z 1. strany knihy Personální údaje. |
ShowMore - Ano Ano - zobrazí údaje o ukončení PP. |
ShowPensionReceive - Ne. Ano - zobrazí informaci o pobírání důchodu dle nastavení zatržítka na 2. straně Personálních údajů |
Sorting - JM Setřídění podle JM (jméno); OS (osobní číslo). |
Subject |
Subtitle - Podtitulek |
SuppressDisability - Ne Neuváděné důvody ukončení PP (oddělte středníkem). |
SuppressReasons - Ano Ne - nezobrazí pracovní neschopnosti. |
SuppressWeekHours - Ne Ano - nezobrazí sjednaný úvazek. |
Text |
TimeBefore1993 Započitatelná doba v I. a II. prac. kategorii před r. 1993. |
WorkTypeFromOrgJob - Ne Ano - Druh práce z pracovního místa |


Potvrzení o zdanitelných příjmech
Číslo procesu: MZD005 |
Ident. č. sestavy: SMZD042 |
Soubor: MZD_PRIJ.AM |
Popis sestavy: Formulář Potvrzení o zdanitelných příjmech ze závislé činnosti a funkčních požitků, vydávaný a pravidelně aktualizovaný MFČR. Po tisku a exportu sestavy se zobrazí hlášení, zda si uživatel přeje uložit datum vydání potvrzení. Implicitně se nabízí aktuální datum, ale je možné jej změnit. Po OK se datum uloží, po STORNO k uložení nedojde. V případě opětovného vydání potvrzení během téhož roku se datum do sestav doplní do části: Toto potvrzení nahrazuje potvrzení vydané dne: . Data se načítají ze mzdových dokladů (spočítaných mezd), pouze část 19 se načítá z provedeného RZD. Sestavu lze spustit také nad knihou Personální údaje. |
||
Adresa ve stromu: [Mzdy] [Mzdové údaje] [Doklady potvrzení] [Mzdy] [Mzdové údaje] [Přehledy] [Daně z příjmu] |
||
Parametry sestavy:
Centre - Ne Ano - setřídění podle střediska. |
LeftShift - 0 Posunutí doprava. |
NoInteractive Ano - nezobrazí vstupní hlášku "Byly zaměstnancům vyplaceny...". |
PrintDay - 0.0.0000 Datum tisku. |
PreviousConfirmDate - datum vydání předchozího potvrzení. Toto datum se dosadí do části Toto potvrzení nahrazuje potvrzení vydané dne : datum na sestavě a má přednost před datem uloženým v K2. Pokud je do parametru zadáno nulové datum, pak se datum na sestavě vůbec nevytiskne, i když je v K2 uloženo (v prosinci ve složce H0107 na straně H). |
PrintZeroValues - Ne Ano - Vytisknout i nulové potvrzení. Sestava se vytiskne i pro zaměstnance s nulovými příjmy. |
Sign - Obrázek s podpisem uživatele. Implicitní hodnota parametru je 0 - pak se razítko nezobrazí.
Možné hodnoty parametru:
- aktuální přihlášený uživatel: @akt;;; - přihlašovací jméno do K2 - tedy obrázek konkrétního uživatele (např. uživatel Novák): NOVAK;;;
Parametr má 5 pozic:
1. pozice určuje osobu, jejíž podpis se má zobrazit.
Implicitně se bere hodnota zadaná v poli Razítko v Nastavení vlastních firem. Zde se zadá cesta a název souboru. Cestu lze zadat pomocí aliasu. Místo konkrétního názvu souboru lze zadat %s. Pak se bere razítko uživatele nastaveného v parametru Sign (implicitně @Vyst - tedy ten, kdo ELDP vyhotovil.) Obrázek musí být vždy ve formátu xxx.png. Pokud není vyplněna cesta v Nastavení vlastních firem, pak se hledá soubor v adresáři Pictures dle zadaného parametru Sign.
Příklad zadání v poli Razítko v Nastavení vlastních firem: pomocí alias: k2*DEMO\Pictures\razitko.png (hledá se obrázek v cestě mandanta. Soubor razitko.png v adresáři Pictures) pomocí %s: k2*DEMO\Razitka\%s.png (takto zadaná hodnota umožní zobrazit bitmapy s podpisem všem uživatelům, kteří mohou být zadáni v parametri Sign a mají soubor ve formátu PNG v adresáři (v tomto případě uživatelem vytvořený adresář Razitka).
2. pozice: výška obrázku (udává o kolik bodů se má zvětšit výchozí výška obrázku) 3. pozice: vzdálenost od levého okraje. 4. pozice: vzdálenost obrázku od horního okraje dané sekce. 5. pozice: šířka obrázku (udává o kolik bodů se má zvětšit výchozí šířka obrázku) Příklad: (Sign - @akt;27;47;0;83) Tiskne podpis aktuálně přihlášeného uživatele, jehož výchozí pozice je: zvětšená o 27 bodů na výšku, odsazená zleva navíc o 47 bodů. Šířka obrázku je zvětšená o 83 bodů. |
SuppressLines - NE - v částech 16,17,18 ,19 se proškrtnou nevyplněné řádky. Ano - potlačit proškrtnutí. |
Sorting - JM Setřídění podle JM (jméno); OS (osobní číslo). |
ToForm - Ne Ano - do formuláře. |
Year - 0 Uvede se rok, pro který chceme potvrzení tisknout. |

Potvrzení o zdanitelných příjmech K2
Číslo procesu: MZD005 |
Ident. č. sestavy: SMZD149 |
Soubor: MZD_PRIJ2.AM |
Popis sestavy: Potvrzení o zdanitelných příjmech - není na oficiálním formuláři. Na potvrzení K2 se vejdou a vytisknou všechny uplatňované děti. Na oficiální formulář se vejdou pouze 4 děti. Sestavu lze spustit také nad knihou Personální údaje. |
||
Adresa ve stromu: [Mzdy] [Mzdové údaje] [Doklady potvrzení] [Mzdy] [Mzdové údaje] [Přehledy] [Daně z příjmu] |
||
Parametry sestavy:
Centre - Ne Ano - setřídění podle střediska. |
NoInteractive Ano - nezobrazí vstupní hlášku "Byly zaměstnancům vyplaceny...". |
PrintDay - 0.0.0000 Datum tisku. |
PreviousConfirmDate - datum vydání předchozího potvrzení. Toto datum se dosadí do části Toto potvrzení nahrazuje potvrzení vydané dne : datum na sestavě a má přednost před datem uloženým v K2. Pokud je do parametru zadáno nulové datum, pak se datum na sestavě vůbec nevytiskne, i když je v K2 uloženo (v prosinci ve složce H0107 na straně H). |
PrintZeroValues - Ne Ano - Vytisknout i nulové potvrzení. Sestava se vytiskne i pro zaměstnance s nulovými příjmy. |
Sorting - JM Setřídění podle JM (jméno); OS (osobní číslo). |
Year - 0 Uvede se rok, pro který chceme potvrzení tisknout. |

Potvrzení o zdanitelných příjmech DPP
Číslo procesu: MZD005 |
Ident. č. sestavy: SMZD133 |
Soubor: MZD_PRIJ_DPP.AM |
Popis sestavy: Formulář Potvrzení o zdanitelných příjmech DPP, vydávaný v souvislosti s možností zahrnutí příjmů zdaněných srážkovou daní do daňového přiznání podle § 36 odst. 7 zákona o daních z příjmů. Poplatník si může daň sraženou z odměn z dohod o provedení práce započítat na jeho daň. Po tisku a exportu sestavy se zobrazí hlášení, zda si uživatel přeje uložit datum vydání potvrzení. Implicitně se nabízí aktuální datum, ale je možné jej změnit. Po OK se datum uloží, po STORNO k uložení nedojde. V případě opětovného vydání potvrzení během téhož roku se datum do sestav doplní do části: Toto potvrzení nahrazuje potvrzení vydané dne: . Sestavu lze spustit také nad knihou Personální údaje.
|
||
Adresa ve stromu: [Mzdy] [Mzdové údaje] [Doklady potvrzení] [Mzdy] [Mzdové údaje] [Přehledy] [Daně z příjmu] |
||
Parametry sestavy:
Centre - Ne Ano - setřídění podle střediska. |
LeftShift - 0 Posunutí doprava. |
NoInteractive2 Ano - nezobrazí vstupní dotaz na periodu. |
PrintDay - 0.0.0000 Datum tisku. |
PreviousConfirmDate - datum vydání předchozího potvrzení. Toto datum se dosadí do části Toto potvrzení nahrazuje potvrzení vydané dne : datum na sestavě a má přednost před datem uloženým v K2. Pokud je do parametru zadáno nulové datum, pak se datum na sestavě vůbec nevytiskne, i když je v K2 uloženo (v prosinci ve složce H0107 na straně H). |
Sign - Obrázek s podpisem uživatele. Implicitní hodnota parametru je 0 - pak se razítko nezobrazí.
Možné hodnoty parametru:
- aktuální přihlášený uživatel: @akt;;; - přihlašovací jméno do K2 - tedy obrázek konkrétního uživatele (např. uživatel Novák): NOVAK;;;
Parametr má 5 pozic:
1. pozice určuje osobu, jejíž podpis se má zobrazit.
Implicitně se bere hodnota zadaná v poli Razítko v Nastavení vlastních firem. Zde se zadá cesta a název souboru. Cestu lze zadat pomocí aliasu. Místo konkrétního názvu souboru lze zadat %s. Pak se bere razítko uživatele nastaveného v parametru Sign (implicitně @Vyst - tedy ten, kdo ELDP vyhotovil.) Obrázek musí být vždy ve formátu xxx.png. Pokud není vyplněna cesta v Nastavení vlastních firem, pak se hledá soubor v adresáři Pictures dle zadaného parametru Sign.
Příklad zadání v poli Razítko v Nastavení vlastních firem: pomocí alias: k2*DEMO\Pictures\razitko.png (hledá se obrázek v cestě mandanta. Soubor razitko.png v adresáři Pictures) pomocí %s: k2*DEMO\Razitka\%s.png (takto zadaná hodnota umožní zobrazit bitmapy s podpisem všem uživatelům, kteří mohou být zadáni v parametri Sign a mají soubor ve formátu PNG v adresáři (v tomto případě uživatelem vytvořený adresář Razitka).
2. pozice: výška obrázku (udává o kolik bodů se má zvětšit výchozí výška obrázku) 3. pozice: vzdálenost od levého okraje. 4. pozice: vzdálenost obrázku od horního okraje dané sekce. 5. pozice: šířka obrázku (udává o kolik bodů se má zvětšit výchozí šířka obrázku) Příklad: (Sign - @akt;27;47;0;83) Tiskne podpis aktuálně přihlášeného uživatele, jehož výchozí pozice je: zvětšená o 27 bodů na výšku, odsazená zleva navíc o 47 bodů. Šířka obrázku je zvětšená o 83 bodů. |
Sorting - JM Setřídění podle JM (jméno); OS (osobní číslo). |
ToForm - Ne Ano - do formuláře. |
Year - 0 Rok. Do parametru lze zadat rok, pro který chceme potvrzení tisknout. |

Potvrzení pro účely posouzení nároku na podp. nezam.
Číslo procesu: MZD005 |
Ident. číslo sestavy: SMZD043 |
Soubor: MZD_PONEZ.AM |
Popis sestavy: Potvrzení pro účely posouzení nároku na podporu nezaměstnanosti. Určeno pro ÚP. |
||
Adresa ve stromu: |
||
Parametry sestavy:
DoplnujiciDuvod - Do hodnoty parametru se uvede doplňující důvod, ten se zobrazí v příslušném poli, pokud se jedná o ukončení kdy "Zaměstnanec ukončil zaměstnání sám" nebo "Zaměstnanec ukončil zaměstnání dohodou se zaměstnavatelem". |
DUV_Dohodou Další důvody - ukončení zaměstnání dohodou. Pokud si uživatel doplnil vlastní výpovědní důvod do číselníku, zadáním zkratky tohoto důvodu do hodnoty parametru, se tento důvod promítne do formuláře pro úřad práce - zatrhne se příslušný křížek. |
DUV_HrubyZpusob Další důvody - zaměstnanec porušil povinnosti zvlášť hrubým způsobem. Pokud si uživatel doplnil vlastní výpovědní důvod do číselníku, zadáním zkratky tohoto důvodu do hodnoty parametru, se tento důvod promítne do formuláře pro úřad práce - zatrhne se příslušný křížek. |
DUV_JinyDuvod Další důvody - zaměstnání nebylo skončeno některým z uvedených důvodů. Po doplnění hodnoty parametru zkratkou výpovědního důvodu, bude na sestavě pro úřad práce zatržen křížek: Zaměstnání "Nebylo" skončeno z některých z níže uvedených důvodů. |
DUV_LecebnyRezim Další důvody - zaměstnanec poruší léčebný režim. Pokud si uživatel doplnil vlastní výpovědní důvod do číselníku, zadáním zkratky tohoto důvodu do hodnoty parametru, se tento důvod promítne do formuláře pro úřad práce - zatrhne se příslušný křížek. |
DUV_OrganizacniDuvody Další důvody - organizační důvody. Pokud si uživatel doplnil vlastní výpovědní důvod do číselníku, zadáním zkratky tohoto důvodu do hodnoty parametru, se tento důvod promítne do formuláře pro úřad práce - zatrhne se příslušný křížek. |
DUV_PoruseniZamestnavatele Další důvody - zaměstnavatel porušil podstatnou povinnost. Pokud si uživatel doplnil vlastní výpovědní důvod do číselníku, zadáním zkratky tohoto důvodu do hodnoty parametru, se tento důvod promítne do formuláře pro úřad práce - zatrhne se příslušný křížek. |
DUV_UkonceniZamestnancem Další důvody - zaměstnanec ukončil zaměstnání sám. Pokud si uživatel doplnil vlastní výpovědní důvod do číselníku, zadáním zkratky tohoto důvodu do hodnoty parametru, se tento důvod promítne do formuláře pro úřad práce - zatrhne se příslušný křížek. |
DUV_ZdravotniDuvody Další důvody - zdravotní důvody. Pokud si uživatel doplnil vlastní výpovědní důvod do číselníku, zadáním zkratky tohoto důvodu do hodnoty parametru, se tento důvod promítne do formuláře pro úřad práce - zatrhne se příslušný křížek. |
EditovatDuchDoby - Ne Umožní editaci důchodových dob. |
NetestovatMesice - Ne Důchodové pojištění vyplnit od data nástupu. |
NetIncome - průměrný čistý měsíční příjem |
Odstupne12 - Ne Odstupné ve výši dvanáctinásobku průměrné mzdy. |
Odstupne3 - Ne Odstupné ve výši trojnásobku průměrné mzdy. |
OdstupneNevyplaceno - Ne Pokud odstupné k datu vyhotovení ještě nebylo vyplaceno, je třeba nastavit hodnotu na "ANO". (Parametr reaguje v souvislosti s parametry Odstupne12 a Odstupne3). |
PayDate - 0.0.0000 Do hodnoty parametru je možné uvést datum vyplacení odstupného. Pokud hodnota není vyplněna, načte se Den výplaty z knihy Mzdové konstanty. |
PrintDate - 0.0.0000 Do hodnoty parametru je možné vyplnit datum tisku. |
Sign - Obrázek s podpisem uživatele. Implicitní hodnota parametru je 0 - pak se razítko nezobrazí.
Možné hodnoty parametru:
- aktuální přihlášený uživatel: @akt;;; - přihlašovací jméno do K2 - tedy obrázek konkrétního uživatele (např. uživatel Novák): NOVAK;;;
Parametr má 5 pozic:
1. pozice určuje osobu, jejíž podpis se má zobrazit.
Implicitně se bere hodnota zadaná v poli Razítko v Nastavení vlastních firem. Zde se zadá cesta a název souboru. Cestu lze zadat pomocí aliasu. Místo konkrétního názvu souboru lze zadat %s. Pak se bere razítko uživatele nastaveného v parametru Sign (implicitně @Vyst - tedy ten, kdo ELDP vyhotovil.) Obrázek musí být vždy ve formátu xxx.png. Pokud není vyplněna cesta v Nastavení vlastních firem, pak se hledá soubor v adresáři Pictures dle zadaného parametru Sign.
Příklad zadání v poli Razítko v Nastavení vlastních firem: pomocí alias: k2*DEMO\Pictures\razitko.png (hledá se obrázek v cestě mandanta. Soubor razitko.png v adresáři Pictures) pomocí %s: k2*DEMO\Razitka\%s.png (takto zadaná hodnota umožní zobrazit bitmapy s podpisem všem uživatelům, kteří mohou být zadáni v parametri Sign a mají soubor ve formátu PNG v adresáři (v tomto případě uživatelem vytvořený adresář Razitka).
2. pozice: výška obrázku (udává o kolik bodů se má zvětšit výchozí výška obrázku) 3. pozice: vzdálenost od levého okraje. 4. pozice: vzdálenost obrázku od horního okraje dané sekce. 5. pozice: šířka obrázku (udává o kolik bodů se má zvětšit výchozí šířka obrázku) Příklad: (Sign - @akt;27;47;0;83) Tiskne podpis aktuálně přihlášeného uživatele, jehož výchozí pozice je: zvětšená o 27 bodů na výšku, odsazená zleva navíc o 47 bodů. Šířka obrázku je zvětšená o 83 bodů. |
SecondPage - ANO Nastavením parametru na "NE" je možné potlačit tisk druhé strany. |


Potvrzení pro účely výplaty náhrady mzdy za ztrátu
Číslo procesu: MZD005 |
Ident. číslo sestavy: SMZD143 |
Soubor: MZD_PotvNahr.AM |
Popis sestavy: Potvrzení pro účely výplaty náhrady mzdy za ztrátu na výdělku dle § 371 ZP. |
||
Adresa ve stromu: |
||
Parametry sestavy:
MadeBy. Vyřizuje. |
Phone Telefon. |
PrintDate Datum tisku. |

Potvrzení pro soud v případě výživného
Číslo procesu: MZD005 |
Ident. číslo sestavy: SMZD141 |
Soubor: MZD_PotvSo.AM |
Popis sestavy: Potvrzení vydávané zaměstnavatelem pro soud z důvodu určení výše výživného. Řádek 5 - složky zařazené ve skupině 101 - Mzdové náklady - základní mzda, odpracovaná doba Řádek 6 - složky zařazené ve skupině 102 - Mzdové náklady - přesčasy + MS 2230,2410,2610,2611,2615 Řádek 8 - složky zařazené ve skupině 201 - Nepřítomnost - dovolená a 202 - Nepřítomnost s náhradou mzdy Řádek 9 - mzdové složky ve skupině 106 - MNPH - Mzdové náklady pohotovost Řádek 11 - MS 7900 - Náhrada mzdy Řádek 18 - MS 7710 - Náhrady cestovních výdajů Řádek 19 - složky se zatrženým zatržítkem na 5. straně Příjmy osvobozené Řádek 20 - složky se zatrženým zatržítkem na 5. straně Pro srážky (exekuce) |
||
Adresa ve stromu: |
||
Parametry sestavy:
PrintDate Datum tisku. |
PrintPlace Místo tisku. Pokud není vyplněno, bere se hodnota z parametrů uživatele. |
Sign - @akt;;; Obrázek s podpisem uživatele.
Implicitní hodnota parametru je @akt;;; - aktuálně přihlášený uživatel.
Parametr má 5 pozic: 1. pozice určuje osobu, jejíž podpis se má zobrazit. Tedy dle aktuálního přihlášení (@akt).
Implicitně se bere hodnota zadaná v poli Razítko v Nastavení vlastních firem. Zde se zadá cesta a název souboru. Cestu lze zadat pomocí aliasu. Místo konkrétního názvu souboru lze zadat %s. Pak se bere razítko uživatele nastaveného v parametru Sign (implicitně @akt - tedy aktuálně přihlášený.) Obrázek musí být vždy ve formátu xxx.png. Pokud není vyplněna cesta v Nastavení vlastních firem, pak se hledá soubor v adresáři Pictures dle zadaného parametru Sign.
Příklad zadání v poli Razítko v Nastavení vlastních firem: pomocí alias: k2*DEMO\Pictures\razitko.png (hledá se obrázek v cestě mandanta. Soubor razitko.png v adresáři Pictures) pomocí %s: k2*DEMO\Razitka\%s.png (takto zadaná hodnota umožní zobrazit bitmapy s podpisem všem uživatelům, kteří mohou být zadáni v parametri Sign a mají soubor ve formátu PNG v adresáři (v tomto případě uživatelem vytvořený adresář Razitka).
2. pozice: výška obrázku (udává o kolik bodů se má zvětšit výchozí výška obrázku) 3. pozice: vzdálenost od levého okraje. 4. pozice: vzdálenost obrázku od horního okraje dané sekce. 5. pozice: šířka obrázku (udává o kolik bodů se má zvětšit výchozí šířka obrázku) Příklad: (Sign - @akt;27;47;0;83) Tiskne podpis aktuálně přihlášeného uživatele, jehož výchozí pozice je: zvětšená o 27 bodů na výšku, odsazená zleva navíc o 47 bodů. Šířka obrázku je zvětšená o 83 bodů.
Pokud je parametr nastavený na hodnotu 0, pak se razítko nezobrazí. |

Potvrzení příjmů pro dávky st. podpory - seznam
Číslo procesu: MZD005 |
Ident. číslo sestavy: SMZD045 |
Soubor: MZD_PRICS.AM |
Popis sestavy: Přehled údajů pro potvrzení příjmů pro dávky státní podpory za vybrané období za zaměstnance. |
||
Adresa ve stromu: [Mzdy] [Mzdové údaje] [Přehledy] |
||
Parametry sestavy:
ActualMonth - Ano Aktuální měsíc. |
Centre - Ne Ano - setřídí podle střediska. |
NewPage - Ano Ano - každé středisko na novou stranu (pokud je parametr "Centre" nastaven na "Ano"), Ne - jedn. střediska se řadí za sebou. |
NoInteractive - Ano Ano - nezobrazovat vstupní formulář. |
ShowCalcPayoff - Ano Ano - zobrazí poslední výpočet dobírek. |
Sorting - JM Setřídění podle JM (jména); OS (osoby). |
SubTitle Podtitulek. |
Year - Ne Rok. |

Potvrzení příjmů pro dávky státní podpory
Číslo procesu: MZD005 |
Ident. číslo sestavy: SMZD044 |
Soubor: MZD_PRIC.AM |
Popis sestavy: Potvrzení příjmů pro dávky státní podpory za čtvrtletí nebo za rok. Rozpis údajů pro vyplnění formulářů. |
||
Adresa ve stromu: [Mzdy] [Mzdové údaje] [Doklady - potvrzení] |
||
Parametry sestavy:
ActualMonth - Ne Aktuální měsíc. |
Centre - Ano Ano - setřídí podle střediska. |
NoInteractive - Ne Ano - nezobrazovat vstupní formulář. |
Sign - Obrázek s podpisem uživatele. Implicitní hodnota parametru je 0 - pak se razítko nezobrazí.
Možné hodnoty parametru:
- aktuální přihlášený uživatel: @akt;;; - přihlašovací jméno do K2 - tedy obrázek konkrétního uživatele (např. uživatel Novák): NOVAK;;;
Parametr má 5 pozic:
1. pozice určuje osobu, jejíž podpis se má zobrazit.
Implicitně se bere hodnota zadaná v poli Razítko v Nastavení vlastních firem. Zde se zadá cesta a název souboru. Cestu lze zadat pomocí aliasu. Místo konkrétního názvu souboru lze zadat %s. Pak se bere razítko uživatele nastaveného v parametru Sign (implicitně @Vyst - tedy ten, kdo ELDP vyhotovil.) Obrázek musí být vždy ve formátu xxx.png. Pokud není vyplněna cesta v Nastavení vlastních firem, pak se hledá soubor v adresáři Pictures dle zadaného parametru Sign.
Příklad zadání v poli Razítko v Nastavení vlastních firem: pomocí alias: k2*DEMO\Pictures\razitko.png (hledá se obrázek v cestě mandanta. Soubor razitko.png v adresáři Pictures) pomocí %s: k2*DEMO\Razitka\%s.png (takto zadaná hodnota umožní zobrazit bitmapy s podpisem všem uživatelům, kteří mohou být zadáni v parametri Sign a mají soubor ve formátu PNG v adresáři (v tomto případě uživatelem vytvořený adresář Razitka).
2. pozice: výška obrázku (udává o kolik bodů se má zvětšit výchozí výška obrázku) 3. pozice: vzdálenost od levého okraje. 4. pozice: vzdálenost obrázku od horního okraje dané sekce. 5. pozice: šířka obrázku (udává o kolik bodů se má zvětšit výchozí šířka obrázku) Příklad: (Sign - @akt;27;47;0;83) Tiskne podpis aktuálně přihlášeného uživatele, jehož výchozí pozice je: zvětšená o 27 bodů na výšku, odsazená zleva navíc o 47 bodů. Šířka obrázku je zvětšená o 83 bodů. |
Sorting - JM Setřídění podle JM (jména); OS (osoby). |
SubTitle Podtitulek. |
SuppressDetail - Ne Potlačit výpočet příjmů. |

Potvrzení zaměstnavatele o pojistném na zdr. poj.
Číslo procesu: MZD005 |
Ident. číslo sestavy: SMZD046 |
Soubor: MZD_POTVRZDR.AM |
Popis sestavy: Potvrzení zaměstnavatele o pojistném na zdravotní pojištění. |
||
Adresa ve stromu: |
||
Parametry sestavy:
NoInteractive - Ano Ano - nezobrazovat vstupní formulář. |
Sorting - JM Setřídění podle JM (jména); OS (osoby). |

Potvrzení zaměstnavatele druhého z poplatníků
Číslo procesu: MZD005 |
Ident. číslo sestavy: SMZD151 |
Soubor: MZD_CHILDCONF.AM |
Popis sestavy: Potvrzení zaměstnavatele druhého z poplatníků pro uplatnění nároku na daňové zvýhodnění pro účely podání přiznání k dani z příjmů fyzických osob. Po tisku a exportu sestavy se zobrazí hlášení, zda si uživatel přeje uložit datum vydání potvrzení. Implicitně se nabízí aktuální datum, ale je možné jej změnit. Po OK se datum uloží, po STORNO k uložení nedojde. V případě opětovného vydání potvrzení během téhož roku se datum do sestav doplní do části: Toto potvrzení nahrazuje potvrzení vydané dne: . Pokud se sestava tiskne pro zaměstnance, který nemá na personální kartě zadané žádné děti, pak se na potvrzení vytiskne věta: Zaměstnanec neuplatňuje daňové zvýhodnění na žádné své dítě. |
||
Adresa ve stromu:[Mzdy][Mzdové údaje][Doklady - potvrzení] |
||
Parametry sestavy:
Centre - Ano Ne - nezobrazovat vstupní formulář. |
PrintDay - Datum tisku. |
PreviousConfirmDate - datum vydání předchozího potvrzení. Toto datum se dosadí do části Toto potvrzení nahrazuje potvrzení vydané dne : datum na sestavě a má přednost před datem uloženým v K2. Pokud je do parametru zadáno nulové datum, pak se datum na sestavě vůbec nevytiskne, i když je v K2 uloženo (v prosinci ve složce H0107 na straně H). |
Sorting - JM Setřídění podle JM (jména); OS (osoby). |
Year - Rok (za který se potvrzení vydává) |

Potvrzení zaměstnavatele o pojistném na soc. poj.
Číslo procesu: MZD005 |
Ident. číslo sestavy: SMZD138 |
Soubor: MZD_Potvrsoc.AM |
Popis sestavy: Potvrzení zaměstnavatele o pojistném na sociální pojištění. |
||
Adresa ve stromu: |
||
Parametry sestavy:
PersonName Vyhotovil - jméno. |
PersonPhone Vyhotovil - telefon. |
PrintingDay Datum vyplnění. |

Pracovní poměry zaměstnanců
Číslo procesu: MZD005 |
Ident. číslo sestavy: SMZD047 |
Soubor: MZD_PPZ.AM |
Popis sestavy: Seznam platných pracovních poměrů zaměstnanců. |
||
Adresa ve stromu: [Mzdy] [Mzdové údaje] [Přehledy] |
||
Parametry sestavy:
Centre - Ano Ano - setřídí podle střediska. |
NewPage - Ano Ano - nová stránka. |
NoInteractive - Ano Ano - nezobrazovat vstupní formulář. |
ShowSumation - Ne Ano - zobrazit součty. |
Sorting - JM Setřídění podle JM (jména); OS (osoby). |
SubTitle Podtitulek. |
WorkTypeFromOrgJob - Ne - Druh práce se bere z pole Zařazení. Ano - Druh práce z pracovního místa |

Průměrné měsíční příjmy
Číslo procesu: MZD005 |
Ident. číslo sestavy: SMZD048 |
Soubor: MZD_PRI.AM |
Popis sestavy: Zobrazení různých průměrných měsíčních i ročních příjmů podle požadavků u různých potvrzení. |
||
Adresa ve stromu: |
||
Parametry sestavy:
Centre - Ano Středisko. |
ShowCalcPayoff - Ano Zobrazit výpočet dobírek. |
PosledniPeriodaStarychMezd Číslo periody. |
Sorting - JM Setřídění podle JM (jména); OS (osoby). |
SubTitle Podtitulek. |

Průměry pro náhrady mezd
Číslo procesu: MZD005 |
Ident. číslo sestavy: SMZD049 |
Soubor: MZD_VPRUM.AM |
Popis sestavy: Přehled průměrů pro náhrady mezd. |
||
Adresa ve stromu: [Mzdy] [Mzdové údaje] [Přehledy] |
||
Parametry sestavy:
ActualQuarter - Ne Aktuální čtvrtletí. |
Centre - Ano Setřídí podle střediska. |
NewPage - Ano Ano - nová stránka. |
ShowCalcAverage - Ne Ano – při editaci pole „Průměrný výdělek“ zobrazí sestava také hodnotu vypočtenou programem. |
ShowCalcFormula - Ne Ano - zobrazí způsob výpočtu průměrného výdělku u jednotlivých PP. |
ShowCalcPayoff - Ano Ano - zobrazí poslední výpočet dobírek. |
Sorting - JM Setřídění dle JM - jména, OS - osobního čísla. |
SortingFields Setřídění dle vybraného datového pole (název pole se uvede do hodnoty parametru). Možnost třídit i podle více polí najednou - názvy oddělíme čárkou. Tento parametr je ovlivněn také parametrem "Centre". Pokud je současně parametr "Centre" nastaven na „NE“, nedojde k setřídění ani podle zadaného pole v hodnotě parametru "SortingFields". |
SortingFieldsDescr - Popis vlastního setřídění definovaného v parametru "SortingFields ". |
SubTitle Podtitulek. |
SuppressAverage - Ne Ano - nezobrazí průměry. |
SupressDeatils - Ne Ano - Zobrazí se pouze jeden řádek za pracovní vztah a jsou jiné sloupce - sumy hodnot. |

Přehled daní z příjmu
Číslo procesu: MZD005 |
Ident. číslo sestavy: SMZD050 |
Soubor: MZD_DALA.AM |
Popis sestavy: Seznam vypočtených daní zaměstnance v nastaveném měsíci. |
||
Adresa ve stromu: [Mzdy] [Mzdové údaje] [Přehledy] [Daně z příjmu] |
||
Parametry sestavy:
ActualMonth - Ne Ano - aktuální měsíc. |
ByAccounting - Ano Ano - podle účtování. |
ByMonths - Ne Souhrn za měsíce. |
ByTypeOfTax - Ne Ano - Dle typu daně (zobrazují se součty za zálohovou a srážkovou daň). |
Centre - Ne Ano - setřídí podle střediska. |
Company - Ano Ano - celkem za společnost. |
NewPage - Ano Ano - každý zaměstnanec na novou stránku. |
NoInteractive - Ne Ano - skryje úvodní formulář. |
ShowCalcPayoff - Ano Ano - zobrazí poslední výpočet dobírek. |
Sorting - JM Setřídění podle: JM - jména; OS - osobního čísla; RČ - rodného čísla. |
SortingFields Setřídění dle vybraného datového pole (název pole se uvede do hodnoty parametru). Možnost třídit i podle více polí najednou - názvy oddělíme čárkou. Tento parametr je ovlivněn také parametrem "Centre". Pokud je současně parametr "Centre" nastaven na „NE“, nedojde k setřídění ani podle zadaného pole v hodnotě parametru "SortingFields". |
SortingFieldsDescr - Popis vlastního setřídění definovaného v parametru "SortingFields ". |
SubTitle Podtitulek. |
SuppressDetail - Ne Ano - potlačit detaily. |
SuppressEmp - Ne Ano - potlačit detaily zaměstnanců. |

Přehled doplatků daní
Číslo procesu: MZD008 |
Ident. číslo sestavy: SMZD091 |
Soubor: MZD_VDANS.AM |
Popis sestavy: Přehled o přeplatcích daně za zaměstnance. |
||
Adresa ve stromu: [Mzdy] [Mzdové údaje] [Přehledy] [Daně z příjmu] |
||
Parametry sestavy:
AllEmp - Ne Ano - všichni zaměstnanci (do sestavy se načítají také pracovníci s doplatkem na 7. straně nižším než 50 Kč. |
Centre - Ne Ano - setřídí podle střediska. |
FillFromTaxComp - Ne Naplnit ze mzdových složek. |
NewPage - Ano Ano - nová strana. |
OnlyOverpays - Ne Pouze přeplatky. |
ShowCalcPayoff - Ano Ano - zobrazí poslední výpočet dobírek. |
Sorting - JM Setřídění podle JM (jména); OS (osoby). |
SortingFields Setřídění dle vybraného datového pole (název pole se uvede do hodnoty parametru). Možnost třídit i podle více polí najednou - názvy oddělíme čárkou. |
SortingFieldsDescr - Popis vlastního setřídění definovaného v parametru "SortingFields ". |
SubTitle Podtitulek. |

Přehled o platbách zdrav. pojištění
Číslo procesu: MZD005 |
Ident. číslo sestavy: SMZD051 |
Soubor: MZD_PVZP.AM |
Popis sestavy: Formulář Přehled o platbách zdravotního pojištění. V pravém horním rohu tlačítko pro Export - vytvoří exportní soubory pro jednotlivé pojišťovny. Tlačítko Otevřít web - otevře formulář se záznamy jednotlivých pojišťoven, kde je opět tlačítko Export a přes tlačítko Otevřít web umožňuje otevřít webové stránky zadané u jednotlivých pojišťoven. Webové stránky je možné zadat zde: - adresa zadaná v poznámce typu WW na srážce organizace (poznámku typu WW je možno vytvořit pomocí F6 z poznámky I1 a zadat na ní webovou adresu) - adresa typu www na partnerovi (partner je přiřazen na srážce organizace na 1. straně v poli Adresát)
Při expotu do souboru je možné využít vlastnost stránek Kód zdravotní pojišťovny , která umožňuje při exportu (typicky do *.PDF) vytvářet pro každou zdravotní pojišťovnu samostatný soubor.
Sestavu ve formátu *.PDF je možné na jednotlivé pojišťovny zaslat emailem nebo datovou schránkou přímo ze sestavy. Pro předvyplnění emailu nebo datové schránky je potřeba mít na srážce z mezd pro jednotlivé pojišťovny vyplněno pole Adresát. Email pro odeslání se poté načítá z pole Email1 na Adresátu a číslo datové schránky se načítá z pole Datová schránka.
Zaslání emailem:
Zaslání datovou schránkou:
|
||
Adresa ve stromu: [Mzdy] [Mzdové údaje] [Přehledy] [Zdravotní pojištění] |
||
Parametry sestavy:
DataBox - datová sxhránka příjemce |
ExportFile - Ne Vytvořit exportní soubor automaticky (do uživatelského adresáře). |
ExportPath Cesta pro uložení souboru. |
idZpravy Klientské ID XML zprávy pro VZP. Implicitně nastaveno na 1. |
OnlyInsCompanyCode Pouze jedna zdrav. pojišťovna (zadá se kód). |
Org_City Organizace - obec. |
Org_ID Organizace - číslo plátce. |
Org_ID2 Organizace - číslo plátce (specifikace). |
Org_Name Organizace - název. |
Org_Phone Organizace - telefon. |
Org_PostCode Organizace - PSČ. |
Org_Number1 Organizace - číslo popisné. |
Org_Number2 Organizace - číslo orientační. |
Org_Street Organizace - ulice. |
PayDate - 0.0.0000 Výplatní termín. |
PayDay - 20 Den splatnosti. |
PersonName Odpovědný pracovník - jméno. |
PersonPhone Odpovědný pracovník - telefon. |
PrintDate - 0.0.0000 DatumTisku |
SendByDataBox - Po exportu odeslat přes datovou schránku |
SummaryType Typ přehledu: R - řádný; O - opravný. Při opravném přehledu čerpá informace z opravných složek H9010 na straně H. |
ToForm Do formuláře. |
TxtStructCodes - 211 Čísla pojišťoven (oddělené středníkem), pro které se vytváří textový soubor. |
VzpPointStructCodes Pro export souboru ve formátu pro podání přes VZP POINT je nutné do parametru nastavit hodnotu 111. (Zároveň je nutné zrušit implicitní nastavení parametru XmlStructCodes - zrušit tedy export souboru pro VZP do *.xml - parametr zadat na druhou stranu sestavy prázdný) |
XmlStructCodes - 111 Čísla pojišťoven (oddělené středníkem), pro které se vytváří xml soubor. |
XML2StructCodes - 205 Kódy ZP pro export XML formátu ČPZP Pro pojišťovnu ČPZP se exportní soubor vytváří implicitně ve formátu *.XML. Tento soubor je možné otevřít v programu Adobe Acrobat. Při otevření v Adobe Acrobat se z umístění SupportFiles\Lang5 otevře vyplnitelný soubor "PPZ_2011_v30_CPZP_web.pdf" a data se do něj načtou. |
PartnerLinkExportFileName Nastavení názvu exportního souboru pro aplikaci PartnerLink. (v podobě např. (RBP)-{PVZP}-IČ ORG.00; 00 tj. oddělení). Při nastavení na ANO se nevytváří podadresáře pro jednotlivé pojišťovny. |
Přehled průměrných hrubých a čistých výdělků
Číslo procesu: MZD005 |
Ident. číslo sestavy: SMZD052 |
Soubor: MZD_PRUM.AM |
Popis sestavy: Přehled průměrných hrubých a čistých výdělků jednotlivých pracovníků. |
||
Adresa ve stromu: [Mzdy] [Mzdové údaje] [Přehledy] |
||
Parametry sestavy:
Centre - Ano Ne - Řadit dle střediska. |
Company - Ne Ano - Průměr za organizaci. |
NewPage - Ano NE - Nová strana. |
NoInteractive - Ne Ne - zobrazí formulář "Zadejte období"; Ano - nezobrazí. |
PosledniPeriodaStarychMezd Číslo periody. |
ShowCalcPayoff - Ano Ano - zobrazí poslední výpočet dobírek. |
Sorting - JM Setřídění podle: JM - jména; OS - osobního čísla. |
SubTitle Podtitulek. |
Sumation - Ano Ne - Součet. Parametr funguje při současném nastavení parametru Company na "ANO". Při nastavení parametru "Sumation" na "ANO" se zobrazí součet výdělků za organizaci. Při nastavení parametru na "Ne" se zobrazí průměr výdělků za organizaci. |

Přehled skutečných hrubých a čistých výdělků
Číslo procesu: MZD05 |
Ident. číslo sestavy: SMZD053 |
Soubor: MZD_PRUM2.AM |
Popis sestavy: Přehled skutečných hrubých a čistých výdělků jednotlivých pracovníků. |
||
Adresa ve stromu: |
||
Parametry sestavy:
Centre - Ano Ano - setřídí podle střediska. |
Company - Ne Ano - průměr za organizaci. |
NewPage - Ano Ano - nová strana. |
NoInteractive - Ne Ne - zobrazí formulář "Zadejte období"; Ano - nezobrazí. |
PosledniPeriodaStarychMezd Číslo periody. |
ShowCalcPayoff - Ano Ano - zobrazí poslední výpočet dobírek. |
Sorting - JM Setřídění podle: JM - jména; OS - osobního čísla. |
SubTitle Podtitulek. |
Sumation - Ano Ne - Součet. Parametr funguje při současném nastavení parametru Company na "ANO". Při nastavení parametru "Sumation" na "ANO" se zobrazí součet výdělků za organizaci. Při nastavení parametru na "Ne" se zobrazí průměr výdělků za organizaci. |

Přehled účtů zaměstnanců
Číslo procesu: MZD005 |
Ident. číslo sestavy: SMZD054 |
Soubor: MZD_UCTY.AM |
Popis sestavy: Přehled účtů zaměstnanců. |
||
Adresa ve stromu: [Mzdy] [Mzdové údaje] [Přehledy] |
||
Parametry sestavy:
ActualMonth - Ano Aktuální měsíc. |
Bank - Ne Setřídí podle banky. |
Centre - Ano Setřídí podle střediska. |
NewPage - Ano Ano - nová strana. |
NoInteractive - Ano Ne - zobrazí vstupní formulář. |
NoInteractive2 - Ne Ne - zobrazí vstupní formulář 2. |
ShowCalcPayoff - Ano Ano - zobrazí poslední výpočet dobírek. |
Sorting - JM Setřídění podle: JM - jména; OS - osobního čísla. |
SubTitle Podtitulek. |
WageComp Výběr mzdových složek. |

Přehled údajů o zaměstnanci
Číslo procesu: MZD005 |
Ident. číslo sestavy: SMZD055 |
Soubor: MZD_PREUD.AM |
Popis sestavy: Přehled údajů o zaměstnanci. |
||
Adresa ve stromu: [Mzdy] [Mzdové údaje] [Přehledy] |
||
Parametry sestavy:
AllColumnsInEmplHistory - Ne Ano - Zobrazí všechny hodnoty ve sloupcích při historii zaměstnání (při parametru EmploymentHistory na Ano) |
AllEmp - Ne Všichni zaměstnanci. |
AllMonths - Ne Zobrazit všechny měsíce. |
Centre - Ano Ano - po střediscích. |
ConfLocation - 0 0 - default; 1 - user; 2 - firm; 3 - K2. |
DateFrom - 0.0.0000 Datum od. |
EmlpoymentHistory - Ne Ano - zobrazit historii zaměstnání. |
FromBeginLabour - Ne Ano - období od začátku prac. poměru. |
NewPage - Ano Ano - nová strana. |
NoInteractive - Ne Ano - zobrazí vstupní formulář. |
PosledniPeriodaStarychMezd Číslo periody. |
Sorting - JM Setřídění dle JM - jména; OS - osobního čísla. |
Subtitle Podtitulek. |

Obr.: Formulář Výběr pro zobrazení požadovaných údajů o zaměstnancích.
Popis vybraných polí formuláře:
Středisko |
Pokud je zatrhnuto setřídí se záznamy podle střediska. |
Sloupec - Druh činnosti |
V tomto poli si vybíráme, jaké údaje o zaměstnancích si přejeme zobrazit v sestavě. |
Sloupce |
V tomto poli jsou vybrané údaje o zaměstnancích, které se zobrazí v sestavě. Můžeme přidávat či odebírat. |
Setřídění |
V tomto poli můžeme zvolit údaj, podle kterého budou záznamy setříděny. Přidáváme ze sloupce Druh činnosti. Lze zvolit maximálně jednu položku. |

Přehled vstupních MS
Číslo procesu: MZD005 |
Ident. číslo sestavy: SMZD056 |
Soubor: MZD_VST.AM |
Popis sestavy: Přehled vstupních mzdových složek. |
||
Adresa ve stromu: [Mzdy] [Mzdové údaje] [Přehledy] |
||
Parametry sestavy:
ActualMonth - Ne Ano - aktuální měsíc. |
Centre - Ano Setřídí podle střediska. |
NewPage - Ne Ano - nová strana. |
NoInteractive - Ne Ano - nezobrazí vstupní formulář. |
Output - Ne ANO - Z výstupních položek |
PosledniPeriodaStarychMezd Číslo periody. |
ShowCalcPayoff - Ano Ano - zobrazí poslední výpočet dobírek. |
Sorting - JM Setřídění podle: JM - jména; OS - osobního čísla. |
SubTitle Podtitulek. |
Summarization by centre - Ne Ano - souhrn podle středisek. |
Summarization by commision - Ne Ano - souhrn podle zakázek. |
Summarization by goods - Ne Ano - souhrn podle zboží. |
WageComp Výběr mzdových složek. |

Přehled vyplacených mezd
Číslo procesu: MZD005 |
Ident. číslo sestavy: SMZD057 |
Soubor: MZD_PREHL.AM |
Popis sestavy: Přehled vyplacených mezd za vybrané období. |
||
Adresa ve stromu: [Mzdy] [Mzdové údaje] [Přehledy] |
||
Parametry sestavy:
ByAccounting - Ano Dle účtování. |
Centre - Ano Ano - setřídí podle střediska. |
DuplexPrint - Ne Ano - Oboustranný tisk |
Nezahrnovatnocniprace - Ne Ano - odpočet noční práce z odpracované doby. |
Nezahrnovatprescasy - Ne Ano - odpočítá přesčasy z odpracované doby. |
NoInteractive - Ne Ne - zobrazí formulář "Zadejte období"; Ano - nezobrazí. |
ShowCalcPayoff - Ano Ano - zobrazí poslední výpočet dobírek. |
Sorting - JM Setřídění podle: JM - jména; OS - osobního čísla; RČ - rodného čísla. |
SubTitle Podtitulek. |
SuppressName - Ne Ano- Skrýt jménno pracovníka - jméno zaměstnance ne na sestavě nezobrazí. |

Přehled změn zdrav. pojišťoven
Číslo procesu: MZD005 |
Ident. číslo sestavy: SMZD058 |
Soubor: MZD_ZP.AM |
Popis sestavy: Přehled změn zdravotních pojišťoven. |
||
Adresa ve stromu: [Mzdy] [Mzdové údaje] [Přehledy] [Zdravotní pojištění] |
||
Parametry sestavy:
AllEmployees - Ano Všichni zaměstnanci. |
Centre - Ano Ano - setřídí podle střediska. |
NewPage - Ano Ano - každé středisko na novou stranu (pokud je parametr "Centre" nastaven na "Ano"), Ne - jedn. střediska se řadí za sebou. |
ShowCalcPayoff - Ano Ano - zobrazí poslední výpočet dobírek. |
Sorting - JM Setřídění podle: JM - jména; OS - osobního čísla. |
SubTitle Podtitulek. |

Překážky v práci
Číslo procesu: MZD005 |
Ident. číslo sestavy: SMZD109 |
Soubor: MZD_PREK.AM |
Popis sestavy: Přehled o absencích zaměstnanců, ve zvoleném období. |
||
Adresa ve stromu: |
||
Parametry sestavy:
ActualMonth - Ano Ano - aktuální měsíc. |
Centre - Ano Ano - setřídí podle střediska. |
NewPage - Ano Ano - nová strana. |
NoInteractive - Ne Ano - nezobrazovat formulář. |
PosledniPeriodaStarychMezd Číslo periody. |
ShowCalcPayoff - Ano Ano - zobrazí poslední výpočet dobírek. |
Sorting - JM Setřídění podle: JM - jména; OS - osobního čísla. |
SubTitle Podtitulek. |
SuppressSvat - Ano Ano - potlačit svátky. |
WageComp Další mzdové složky, které nejsou výkonem práce. |

Příspěvky odborům
Číslo procesu: MZD005 |
Ident. číslo sestavy: SMZD059 |
Soubor: MZD_ROH.AM |
Popis sestavy: Zobrazí příspěvky odborům. |
||
Adresa ve stromu: [Mzdy] [Mzdové údaje] [Přehledy] |
||
Parametry sestavy:
ActualMonth - Ano Ano - aktuální měsíc. |
Centre - Ne Ano - setřídí podle střediska. |
NewPage - Ne Ano - nová strana. |
NoInteractive - Ne Ano - nezobrazovat formulář. |
PosledniPeriodaStarychMezd Číslo periody. |
ShowCalcPayoff - Ano Ano - zobrazí poslední výpočet dobírek. |
Sorting - JM Setřídění podle: JM - jména; OS - osobního čísla. |
SubTitle Podtitulek. |
WageComp Další mzdové složky, které nejsou výkonem práce. |

Rekapitulace mezd - suma, hrubá mzda
Číslo procesu: MZD005 |
Ident. číslo sestavy: SMZD063 |
Soubor: MZD_REKO.AM |
Popis sestavy: Rekapitulace podle mzdových složek v nastaveném měsíci (jen hrubé mzdy). Zobrazí formulář pro zadání měsíce. Při nastavení Rekapitulace mezd pouze na hrubé mzdy nelze použít parametr CentreType, ani parametr Centre. Pro třídění je možné použít parametry Sorting1, Sorting2 a Sorting3. Implicitně je jejich nastavení prázdné. Do těchto parametrů lze zadat všechna pole pro účtování: CodDepart1 - Středisko 1 CodDepart2 - Středisko 2 ContractCode - Kód zakázky CodGoods - Kód zboží CodSps1 - Kód1 CodSps2 - Kód2 Device - Prostředek |
||
Adresa ve stromu: [Mzdy] [Mzdové údaje] [Přehledy] |
||
Parametry sestavy:
Viz parametry sestavy Rekapitulace mezd za střediska. Odlišně jsou nastaveny tyto parametry:
GrossWage - Ano |
NoInteractive - Ne |

Rekapitulace mezd po měsících
Číslo procesu: MZD005 |
Ident. číslo sestavy: SMZD062 |
Soubor: MZD_REKO.AM |
Popis sestavy: Rekapitulace podle mzdových složek v nastaveném měsíci za organizaci. Zobrazí formulář pro zadání měsíce a pole pro zadání setřídění. |
||
Adresa ve stromu: [Mzdy] [Mzdové údaje] [Přehledy] |
||
Parametry sestavy:
Viz parametry sestavy Rekapitulace mezd za střediska. Odlišně jsou nastaveny tyto parametry:
ByMonths - Ano |
NoInteractive - Ne |


Rekapitulace mezd za organizaci
Číslo procesu: MZD005 |
Ident. číslo sestavy: SMZD061 |
Soubor: MZD_REKO.AM |
Popis sestavy: Rekapitulace podle mzdových složek v nastaveném měsíci. |
||
Adresa ve stromu: [Mzdy] [Mzdové údaje] [Přehledy] |
||
Parametry sestavy:
Viz parametry sestavy Rekapitulace mezd za střediska. Odlišně jsou nastaveny tyto parametry:
Centre - Ne |

Rekapitulace mezd za střediska
Číslo procesu: MZD005 |
Ident. číslo sestavy: SMZD060 |
Soubor: MZD_REKO.AM |
Popis sestavy: Rekapitulace podle mzdových složek za střediska. Při pouštění sestavy nad knihou (0. strana, žádné označení záznamů) sestava kontroluje výpočet mandanta - zahlásí, pokud tento není. V případě zobrazení nad vybranými záznamy (hvězdičky, výběr, filtr, jiná něž 0. strana) se v sestavě nezobrazují údaje mandanta (sociální a zákonné pojištění spočítané při výpočtu mandanta, rozdíly zaokrouhlení)
|
||
Adresa ve stromu: [Mzdy] [Mzdové údaje] [Přehledy] |
||
Parametry sestavy:
ActualMonth - Ne Ano - aktuální měsíc. |
ByAccounting - Ano Ano - podle účtování. |
ByMonths - Ne Ano - podle měsíce. |
Centre - Ne Ano - setřídí podle střediska. |
CentreType Typ střediska (K-středisko z hlavičky, H-středisko 1 z položek) |
Company - Ano Ano - celkem za organizaci. |
CompanyPrComp - Mzdové složky za organizaci Složky vyjmenované v parameru se zobrazí na sestavě ve sloupci Organizace. Implicitně má parametr hodnotu: 4301;4302;4303;4304;4501;9012;9013;9022;9023 |
ControlPPV - Ano Ano - kontroluje vyplnění právního vztahu. |
GrossWage - Ano Ano - jen hrubé mzdy. |
InCurrency - Ne Ano - hodnoty v sestavě se zobrazí dle měny mandanta. |
NewPage - Ano Ano - nová strana (jen hrubé mzdy). |
NezahrnovatNocniPrace - Ano Ano - odpočítá noční práci od celk. odpracované doby. |
NezahrnovatPrescasy - Ne Ano - odpočítá přesčasy od celk. odpracované doby. |
NoInteractive - Ano Ne - zobrazí se úvodní formulář pro zadání data; Ano - formulář pro zadání data se nezobrazí. |
OdprHodSlo Další mzdové složky - sloupec hodiny (oddělujeme středníkem). |
ShowCalcPayoff - Ano Ano - zobrazí poslední výpočet dobírek. |
ShowControlSum - Ano Ano - zobrazí kontrolní součet. |
ShowSumWages - Ne Ano - Zobrazí součty mezd (hrubá mzda, čistá mzda, čistý příjem) + zobrazí vyměřovací základy pro daň. |
SkrytMimoradnouSlevu - Ne Ano - skryje mimořádnou slevu. |
Sorting1 1. pole pro setřídění (CodDepart, CodDepart2, ContractCode, CodGoods, CodSps1, CodSps2, Device) |
Sorting2 2. pole pro setřídění (CodDepart, CodDepart2, ContractCode, CodGoods, CodSps1, CodSps2, Device) |
Sorting3 3. pole pro setřídění (CodDepart, CodDepart2, ContractCode, CodGoods, CodSps1, CodSps2, Device) |
SortingFields Setřídění dle vybraného datového pole (název pole se uvede do hodnoty parametru). Možnost třídit i podle více polí najednou - názvy oddělíme čárkou. Tento parametr je ovlivněn také parametrem "Centre". Pokud je současně parametr "Centre" nastaven na „NE“, nedojde k setřídění ani podle zadaného pole v hodnotě parametru "SortingFields". |
SortingFieldsDescr - Popis vlastního setřídění definovaného v parametru "SortingFields ". |
SubTitle Podtitulek. |
SuppressCVNaprij Potlačit skupinu mzdových složek, (oddělujeme středníkem). |
SuppressDetail - Ne Ano - potlačit detaily. |

Rekapitulace středisek
Číslo procesu: MZD005 |
Ident. číslo sestavy: SMZD147 |
Soubor: MZD_REKO_STR.AM |
Popis sestavy: Rekapitulace středisek. Střediska jsou uvedena na sestavě ve sloupcích. |
||
Adresa ve stromu: |
||
Parametry sestavy:
ActualMonth - Ne Ano - aktuální měsíc. |
ColumnCount - Počet sloupců (počet středisek ve sloupcích). |
ColumnField - Pole pro sloupce . Parametr má přednost před parametrem SortingFieldName. Lze do něj vyplnit hodnotu i s vazbou (napr. 'IdCommerce;Zkr'). U řádků v sestavě (sloupec v sestavě zdroj H) jsou hodnoty parametru z hlavičky dokladu. |
Company - ANO Ne - Souhrn za organizaci |
ShowBlocked - Ne . Sestava netiskne blokovaná střediska, na které není nic napočítáno (všude je nula). Blokovaná střediska s jinou hodnotou, než je nula,se tisknou. Ano - Tisknou se i blokovaná střediska s nulovou částkou. |
SortingFieldName - Název pole pro setřídění. Třídění do sloupců. Implicitně dle střediska. Do parametru lze zadat všechny analytické osy. U řádků v sestavě (sloupec v sestavě zdroj P) jsou hodnoty parametru z vystupnich polozek, u řádků v sestavě (sloupec v sestave zdroj H) jsou hodnoty parametru z hlavičky dokladu.
|
SortingFields - Pole pro setřídění (oddělte čárkou) |
SortingFieldsDescr - Popis vlastního setřídění |
Subtitle Podtitulek. |

Roční zúčtování daně - přehled
Číslo procesu: MZD005 |
Ident. číslo sestavy: SMZD118 |
Soubor: MZD_RDAN.AM |
Popis sestavy: Sestava podrobně zobrazí přehled údajů za jednotlivé zaměstnance v souvislosti s ročním zúčtováním daně. Do sestavy se načtou ty záznamy, které mají ve skriptu Roční zúčtování daně (PREMP_TaxSta.PAS) zatrženo Provést roční zúčtování (pro rok tisku sestavy). |
||
Adresa ve stromu: |
||
Parametry sestavy:
Centre - Ano Ano - setřídí podle střediska. |
BirthNo - Ne. Ano - Zobrazit rodné číslo místo osobního. |
NewPage - Ne Ano - nová strana. |
Proposal - Ne Ano - Návrh. Zobrazí záznam v sestavě i bez zatržení zatržítka Provést roční zúčtování ve skriptu Roční zúčtování daně. |
ShowCalcPayoff - Ano Ano - zobrazí poslední výpočet dobírek. |
Sorting - JM Setřídění podle JM (jména); OS (osobního čísla). |
SubTitle Podtitulek. |
SuppressDetail - Ne Potlačit detaily. |
SuppressSum - Ne Ano - Potlačit součty (nezobrazí součtový řádek přes všechny záznamy) |
Unions - Ne Ano - Načtou se příspěvky odborům (měsíce 12- 11) |
Year Pomocí parametru lze nastavit, za který rok se mají údaje tisknout do sestavy. Tento parametr nejde použít v modulu Mzdy_S. |

Roční zúčtování daně - nezdanitelné částky a slevy
Číslo procesu: MZD005 |
Ident. číslo sestavy: SMZD146 |
Soubor: MZD_RDAN2.AM |
Popis sestavy: Sestava zobrazuje nezdanitelné částky, slevy na dani a daňové zvýhodnění za jednotlivé zaměstnance v souvislosti s ročním zúčtováním daně. Do sestavy se načtou ty záznamy, které mají ve skriptu Roční zúčtování daně (PREMP_TaxSta.PAS) zatrženo Provést roční zúčtování (pro rok tisku sestavy). |
||
Adresa ve stromu: |
||
Parametry sestavy:
Centre - Ano Ano - setřídí podle střediska. |
BirthNo - Ne. Ano - Zobrazit rodné číslo místo osobního. |
NewPage - Ne Ano - nová strana. |
Proposal - Ne Ano - Návrh. Zobrazí záznam v sestavě i bez zatržení zatržítka Provést roční zúčtování ve skriptu Roční zúčtování daně. |
ShowCalcPayoff - Ano Ano - zobrazí poslední výpočet dobírek. |
Sorting - JM Setřídění podle JM (jména); OS (osobního čísla). |
SubTitle Podtitulek. |
SuppressDetail - Ne Potlačit detaily. |
SuppressSum - Ne Ano - Potlačit součty (nezobrazí součtový řádek přes všechny záznamy) |
Unions - Ne Ano - Načtou se příspěvky odborům (měsíce 12- 11) |
Year Pomocí parametru lze nastavit, za který rok se mají údaje tisknout do sestavy. |

Rozpis hromadných plateb
Číslo procesu: MZD005 |
Ident. číslo sestavy: SMZD064 |
Soubor: MZD_HRPL.AM |
Popis sestavy: Přehled plateb na jednotlivé bankovní účty. |
||
Adresa ve stromu: [Mzdy] [Mzdové údaje] [Přehledy] |
||
Parametry sestavy:
AmountDiffBold - Ano Rozdíly částek oproti minulému měsíci tučně. |
Centre - Ne Ano - setřídí podle střediska. |
NewPage - Ano Nová strana. |
SaveFilePath Cesta pro uložení souborů |
ShowCalcPayoff - NE Ano - zobrazí poslední výpočet dobírek. |
Sorting - JM Setřídění podle: JM - jména; OS - osobního čísla. |
SubTitle Podtitulek. |
SuppressBirthNo - Ne Potlačit rodné číslo. |

Směnovnice
Číslo procesu: MZD005 |
Ident. číslo sestavy: SMZD121 |
Soubor: MZD_DOCH.AM |
Popis sestavy: Sestava zobrazuje rozpis směn pro jednotlivé dny v měsíci. Sestavu spouštíme nad knihou Mzdové kalendáře,Mzdové údaje nebo Pracovní vztahy. |
||
Adresa ve stromu: |
||
Parametry sestavy:
ActualMonth - Ano Ano - Sestava zobrazí údaje pro aktuální měsíc. |
AddBreak - Ne Ano - zobrazí hodiny včetně přestávky. |
ByMonths - Ano Ano - Po měsících. |
Centre - Ano Ano - Záznamy se budou třídit dle střediska. |
NewPage - Ano Ano - Nová strana. |
NoInteractive - Ne Ano - Při spuštění sestavy se nezobrazí vstupní formulář. |
PlanCal - Ne Ano - Načíst údaje z plánu. Pokud je sestava spuštěna z knihy Mzdové údaje nebo Pracovní vztahy a parametr je nastaven na ANO, pak se načtou údaje z plánovacího kalendáře, ne z kalendáře na straně Rozvrh mzdového dokladu ve Mzdových údajích. Směny se berou z kalendářů, které jsou přiřazeny pro tištěná období, tedy respektují se změny kalendářů uložené pod budíčkem na poli Pracovní doba v knize Pracovní vztahy. |
Sorting - JM Setřídění podle jména (JM) nebo osobního čísla (OS). |
ShowSignature - NE Ano - Zobrazit podpis. Zobrazí se řádek pro podpis zaměstnance s textem: S rozvrhem seznámen dne. Parametr lze použít, pokud je zároveň parametr ByMonth nastaven na hodnotu NE. |
TďmeFromTo - NE Ano -Zobrazí časy od-do místo hodin. |
TypeOfShift - Ne Ano - Místo hodin se zobrazí typ směny (ranní, odpolední noční). |
WithRealCalRecords - Ne Ano - Včetně záznamů kalendáře skutečnosti. Nastavení tohoto parametru na ANO potlačí nastavení parametru WithWageComp. Při nastavení tohoto parametru na ANO se údaje berou ze strany Rozvrh mzdového dokladu ze záložky Skutečnost - evidence pracovní doby. Např. dovolená tak v sestavě nebude přes dny, kdy není definovaná směna. |
WithWageComp - Ne Ano - Pro nepřítomnosti (nemoc, dovolená, rodičovská dovolená, aj.) se bude v jednotlivých polích zobrazovat informace o typu nepřítomnosti dle mzdových složek. |

Sociální pojištění - srážky pojistného
Číslo procesu: MZD005 |
Ident. číslo sestavy: SMZD065 |
Soubor: MZD_SOCPOS.AM |
Popis sestavy: Přehled srážek sociálního zabezpečení za aktuální měsíc nebo za období. Při pouštění sestavy nad knihou (0. strana, žádné označení záznamů) sestava kontroluje výpočet mandanta - zahlásí, pokud tento není. V případě zobrazení nad vybranými záznamy (hvězdičky, výběr, filtr, jiná něž 0. strana) se v sestavě nezobrazuje řádek Odvod sociálního pojištění a Rozdíl zaokrouhlení (spočítané při výpočtu mandanta). |
||
Adresa ve stromu: [Mzdy] [Mzdové údaje] [Přehledy] [Sociální zabezpečení] |
||
Parametry sestavy:
ActualMonth- Ano Aktuální měsíc. |
AllEmp - Ne Ano - Všichni zaměstnanci. Zobrazují se všechny zaměstnanecké poměry. |
ByAccounting - Ano Ano - dle účtování. |
Centre - Ano Ano - setřídí podle střediska. |
NewPage - Ano Ano - každé středisko na novou stranu (pokud je parametr "Centre" nastaven na "Ano"); Ne - jedn. střediska se řadí za sebou (viz náhled). |
NoInteractive - Ne Ano - nezobrazí vstupní formulář. |
ShowCalcPayoff - Ano Ano - zobrazí poslední výpočet dobírek. |
Sorting - JM Setřídění podle: JM - jména; OS - osobního čísla. |
SortingFields Setřídění dle vybraného datového pole (název pole se uvede do hodnoty parametru). Možnost třídit i podle více polí najednou - názvy oddělíme čárkou. Tento parametr je ovlivněn také parametrem "Centre". Pokud je současně parametr "Centre" nastaven na „NE“, nedojde k setřídění ani podle zadaného pole v hodnotě parametru "SortingFields". |
SortingFieldsDescr - Popis vlastního setřídění definovaného v parametru "SortingFields ". |
SubTitle Podtitulek. |
SuppressDetail - Ne Potlačit detaily. |

Sociální zabezpečení - seznam účastníků
Číslo procesu: MZD005 |
Ident. číslo sestavy: SMZD066 |
Soubor: MZD_SOCSEZ.AM |
Popis sestavy: Seznam účastníků sociálního zabezpečení. |
||
Adresa ve stromu: [Mzdy] [Mzdové údaje] [Přehledy] [Sociální zabezpečení] |
||
Parametry sestavy:
Centre - Ano Ano - setřídí podle střediska. |
InsuranceKind - Ne Ano - zobrazí druh pojistného. |
NewPage - Ano Ano - každé středisko na novou stranu (pokud je parametr "Centre" nastaven na "Ano"); Ne - jedn. střediska se řadí za sebou (viz náhled). |
NoInteractive - Ano Ano - nezobrazí vstupní formulář. |
ShowCalcPayoff - Ano Ano - zobrazí poslední výpočet dobírek. |
Sorting - JM Setřídění podle: JM - jména; OS - osobního čísla. |
SubTitle Podtitulek. |

Sociální zabezpečení - přehled
Číslo procesu: MZD005 |
Ident. číslo sestavy: SMZD140 |
Soubor: MZD_SocInsurContr.AM |
Popis sestavy: Sestava pro kontrolu údajů na Přehledu o výši pojistného. |
||
Adresa ve stromu: [Mzdy] [Mzdové údaje] [Přehledy] [Zdravotní pojištění] |
||
Parametry sestavy:
NewPage - Ano Ano - každá pojišťovna na novou stranu (pokud je parametr "NewPage" nastaven na "Ano"); Ne - Jednotlivé pojišťovny se řadí za sebou. |

Srážky z mezd zaměstnanců
Číslo procesu: MZD005 |
Ident. číslo sestavy: SMZD067 |
Soubor: MZD_SRAZKY.AM |
Popis sestavy: Přehled o srážkách z mezd zaměstnanců. |
||
Adresa ve stromu: |
||
Parametry sestavy:
ActualMonth- Ano Ano - aktuální měsíc. |
Bank - Ano Ano - setřídění podle banky. |
BankDetail - Ne Ano - banka. |
Centre - Ano Ano - setřídí podle střediska. |
ByPaymentMethod - Ne Ano - Setřídit podle způsobu platby. |
NewPage - Ano Ano - každé středisko na novou stranu (pokud je parametr "Centre" nastaven na "Ano"); Ne - jedn. střediska se řadí za sebou (viz náhled). |
NewPage2 - Ano Ano - celková rekaputilace na nové straně. |
NoInteractive - Ne Ano - nezobrazí vstupní formulář. |
ShowCalcPayoff - Ano Ano - zobrazí poslední výpočet dobírek. |
Sorting - JM Setřídění podle: JM - jména; OS - osobního čísla. |
SubTitle Podtitulek. |
WageComp Možnost zobrazit požadované srážky ze mzdy dle čísla konkrétní mzdové složky. Při zadání více složek do hodnoty parametru najednou, oddělujeme složky středníkem. |

Srážky z mezd
Číslo procesu: MZD005 |
Ident. číslo sestavy: SMZD142 |
Soubor: BSP_SEZ03.AM |
Popis sestavy: Sestava zobrazuje srážky z mezd a mzdové složky na tyto srážky v dané periodě. Spustitelná nad knihou Srážky z mezd. |
||
Adresa ve stromu:[Mzdy][Srážky z mezd] |
||
Parametry sestavy:
ByBankAccount - Ne. Ano - Setřídění dle bankovních účtů. |
ByWageComp -Ne. Ano - Setřídit dle mzdových složek. |
NoInteractive - Ne Ano - Nezobrazovat vstupní formulář. |
SupressDetail - Ne Ano - Potlačit detaily. |
WageComp - Mzdové složky (oddělené středníkem) |

Statistika mzdových složek
Číslo procesu: MZD005 |
Ident. číslo sestavy: SMZD068 |
Soubor: MZD_STAMS.AM |
Popis sestavy: Rekapitulace vybraných mzdových složek za jednotlivé zaměstnance. Do vstupního okna je možné zadat více mzdových složek oddělených čárkou nebo středníkem. |
||
Adresa ve stromu: [Mzdy] [Mzdové údaje] [Statistiky] |
||
Parametry sestavy:
ActualMonth - Ano Ano - aktuální měsíc. |
AllEmploees - Ne Ano - všichni zaměstnanci. |
AllWageComp - Ne - mzdové složky, které jsou uvedeny v seznamu pro tisk, ale nejsou u nikoho nalezeny se v sestavě nevytisknou. Ano - Všechny složky v seznamu. Vytisknou se všechny složky ze seznamu, i ty, které u žádného pracovního vztahu zadané nejsou - zobrazí se v sestavě s nulou. |
Centre - Ano Ano - setřídí podle střediska. |
CentreType Typ střediska (K - Kmenové; H - Hospodářské). |
ContinuousComp - Ne Ano - V případě nastavení parametru na "Ano" se statistika tiskne pro 4. stranu Mzdových údajů - pro trvalé mzdové složky. V případě nastavení parametru "InputComp" na "ANO" má parametr pro vstupní složky přednost a na parametr "ContinuousComp" není brán zřetel. |
InCurrency - Ne Ano - hodnoty v sestavě se zobrazí dle měny mandanta. |
InputComp - Ne Ano - V případě nastavení na "Ano" se statistika tiskne pro 5. stranu Mzdových údajů - pro vstupní mzdové složky. |
NewPage - Ne Ano - každé středisko na novou stranu (pokud je parametr "Centre" nastaven na "Ano"); Ne - jedn. střediska se řadí za sebou. |
NoInteractive - Ne Ne - zobrazí formulář; Ano - nezobrazí formulář. |
NoInteractive2 - Ne Ne - zobrazí formulář č. 2; Ano - nezobrazí formulář č. 2. |
ShowCalcPayoff - Ano Ano - zobrazí poslední výpočet dobírek. |
Sorting - JM Setřídění podle: JM - jména; OS - osobního čísla. |
SortingFields Setřídění dle vybraného datového pole (název pole se uvede do hodnoty parametru). Možnost třídit i podle více polí najednou - názvy oddělíme čárkou. Tento parametr je ovlivněn také parametrem "Centre". Pokud je současně parametr "Centre" nastaven na "Ne", nedojde k setřídění ani podle zadaného pole v hodnotě parametru "SortingFields". |
SortingFieldsDescr - Popis vlastního setřídění definovaného v parametru "SortingFields ". |
SubTitle Podtitulek. |
SuppressDetail - Ne Ano - potlačit detaily. |
Value - KC Setřídit dle hodnoty: KC (korun); HOD (hodin); PD (pracovních dnů); KD (kalendářních dnů). Můžeme zvolit všechny hodnoty najednou (oddělujeme středníkem). |
Wage_Comp Mzdová složka (složky), Parametr umožňuje zadat mzdové složky a oddělit je čárkou nebo středníkem |

Statistický výkaz ÚNP 4-01 (A101 2. část)
Číslo procesu: MZD005 |
Ident. číslo sestavy: SMZD156 |
Soubor: MZD_UNP_A101.AM |
Popis sestavy: Výkaz o úplných nákladech práce.
Údaje pro část výkazu A101 - počet zaměstnanců, odpracované a placené hodiny.
Sestava obsahuje údaje dělené dle pracovní doby zaměstnanců se součty za jednotlivé měsíce. Poslední strana zobrazuje celkový součet za organizaci. 1. část údajů potřebnou pro část A101 zobrazuje sestava Statistický výkaz ÚNP 4-01 (A101 1. část) (PERS_UNP_A101.AM) spustitelná nad Personálními údaji. |
||
Adresa ve stromu: [Mzdy] [Mzdové údaje] [Statistiky] |
||
Parametry sestavy:
ActualMonth - Ne Ano - aktuální měsíc. |
Subtitle - Podtitulek. |


Statistický výkaz ÚNP 4-01 (A102)
Číslo procesu: MZD005 |
Ident. číslo sestavy: SMZD157 |
Soubor: MZD_UNP_A102.AM |
Popis sestavy: Výkaz o úplných nákladech práce. Údaje pro část výkazu A102 - Osoby pracující na dohody o pracích konaných mimo pracovní poměr. Poslední strana zobrazuje celkový součet osob a odpracovaných hodin za organizaci. |
||
Adresa ve stromu: [Mzdy] [Mzdové údaje] [Statistiky] |
||
Parametry sestavy:
ActualMonth - Ne Ano - aktuální měsíc. |
Subtitle - Podtitulek. |



Statistický výkaz ÚNP 4-01 (A104)
Číslo procesu: MZD005 |
Ident. číslo sestavy: SMZD158 |
Soubor: MZD_UNP_A104.AM |
Popis sestavy: Výkaz o úplných nákladech práce. Údaje pro část výkazu A104 -Mzdy bez OON vyúčtované zaměstnancům v evidenčním počtu.
Pro řádky (v sestavě sloupce) 3 až 12 jsou v K2 zavedeny skupiny mzdových složek UNP_A101_03 až UNP_A101_12, do kterých je potřeba správně zařadit mzdové složky, aby se hodnoty do sestavy načetly. Pro řádky (v sestavě sloupce)14-17 se hodnoty načítají takto: - sloupec 17 - Mzdová složka 5310
|
||
Adresa ve stromu: [Mzdy] [Mzdové údaje] [Statistiky] |
||
Parametry sestavy:
ActualMonth - Ne Ano - aktuální měsíc. |
Subtitle - Podtitulek. |

Statistický výkaz ÚNP 4-01 (A105)
Číslo procesu: MZD005 |
Ident. číslo sestavy: SMZD159 |
Soubor: MZD_UNP_A105.AM |
Popis sestavy: Výkaz o úplných nákladech práce.
Údaje pro část výkazu A105 - Sociální náklady/výdaje na zaměstnance v evidenčním počtu. - Sociální - výstupni mzdové složky 902x - Zdravotní - vystupni MS 901x - Odpovědnosti - mzdová složka 9099 - Penzijní a životní pojištění - mzdové složky 4301,4302,4303,4304. - Náhrady za DPN - mzdové složky 7900,7902 - Zvýšení náhrady za DPN - 7901
|
||
Adresa ve stromu: [Mzdy] [Mzdové údaje] [Statistiky] |
||
Parametry sestavy:
ActualMonth - Ne Ano - aktuální měsíc. |
Subtitle - Podtitulek. |

Statistický výkaz ÚNP 4-01 (A107)
Číslo procesu: MZD005 |
Ident. číslo sestavy: SMZD160 |
Soubor: MZD_UNP_A107.AM |
Popis sestavy: Výkaz o úplných nákladech práce.
Údaje pro část výkazu A107 -Doplňující ukazatele. - Odstupné - mzdová složka 6220 u pracovních poměrů. - Počet učňů - bere se dle nastavení Charakteristiky právního vztahu - dle školského zákona + Pracovně právní vztah II - žáci a studenti¨.
|
||
Adresa ve stromu: [Mzdy] [Mzdové údaje] [Statistiky] |
||
Parametry sestavy:
ActualMonth - Ne Ano - aktuální měsíc. |
Subtitle - Podtitulek. |

Stavy zaměstnanců
Číslo procesu: MZD005 |
Ident. číslo sestavy: SMZD069 |
Soubor: MZD_STAM.AM |
Popis sestavy: Přehled o stavu zaměstnanců k poslednímu dni v měsíci za organizaci. Po spuštění balíčku je parametr "SelectEmployees" nastaven na ruční vstup. |
||
Adresa ve stromu: [Mzdy] [Mzdové údaje] [Statistiky] |
||
Parametry sestavy:
ActualMonth - Ano Ano - aktuální měsíc. |
AllEmp - Ne Ano - všichni zaměstnanci. |
Centre - Ano Ano - setřídí podle střediska. |
DecimalNumbers - 2 Desetinné číslice. |
NewPage - Ne Nová strana. |
NoInteractive - Ne Ne - zobrazí formulář pro výběr data. |
SelectEmployees Výběr zaměstnanců: V - všichni; M - muži; Z - ženy. |
ShowCalcPayoff - Ano Ano - zobrazí poslední výpočet dobírek. |
Sorting - JM Setřídění podle: JM - jména; OS - osobního čísla. |
SortingFields Pole pro setřídění. |
SortingFieldsDescr - Popis vlastního setřídění definovaného v parametru "SortingFields ". |
SubTitle Podtitulek. |
SortingValueFromPeriod - NE - hodnota pro setřídění se bere z posledního období, pokud je sestava spuštěna za více období Ano - Hodnota setřídění z jednotlivých období |
SuppressDetailsPP - Ne Potlačit detaily o prac. poměru. |
SuppressEmps - Ne Nezobrazovat záznamy za zaměstnance. |
OnlyExemptionChanges - Ne |

Stavy zaměstnanců - přehled
Číslo procesu: MZD005 |
Ident. číslo sestavy: SMZD071 |
Soubor: MZD_STAV.AM |
Popis sestavy: Přehled o stavu zaměstnanců k poslednímu dni za jednotlivé měsíce v organizaci. |
||
Adresa ve stromu: [Mzdy] [Mzdové údaje] [Statistiky] |
||
Parametry sestavy:
NoInteractive - Ne Ne - zobrazí se úvodní formulář pro zadání data; Ano - formulář pro zadání data se nezobrazí. |
ShowCalcPayoff - Ano Ano - zobrazí poslední výpočet dobírek. |
SubTitle Podtitulek. |

Stavy zaměstnanců - šířka
Číslo procesu: MZD005 |
Ident. číslo sestavy: SMZD070 |
Soubor: MZD_STAM_X.AM |
Popis sestavy: Přehled o stavu zaměstnanců k poslednímu dni v měsíci za organizaci. Údaje, že má zaměstnanec ZPS nebo TZP se berou z druhé strany Personálních údajů z pole Změněná prac. schopnost. V případě, že je změněná pracovní schopnost jen za část roku, zadává se tato informace do Personálních údajů na 4. stranu do části Vzdělání. Do pole Název školy se zadá ZPS resp. ZPS TZP a do pole Datum začátku se zadá datum počátku změněné pracovní schopnosti. V případě, že toto datum není prvním dnem kalendářního měsíce, tak sestava považuje za začátek změněné pracovní schopnosti první den následujícího měsíce. |
||
Adresa ve stromu: |
||
Parametry sestavy:
ActualMonth - Ne Ano - aktuální měsíc. |
AllEmp - Ne Ano - všichni zaměstnanci. |
Centre - Ano Ano - setřídí podle střediska. |
DecimalNumbers - 2 Desetinné číslice. |
IgnoreOvertime_DSC1- Ne ANO - Ignorovat přesčasy. Pokud je parametr na ANO, pak se hodiny přesčasu do sestavy nenačtou. |
NewPage - Ne Nová strana. |
NoInteractive - Ne Ne - zobrazí formulář pro výběr data. |
SelectEmployees Výběr zaměstnanců: V - všichni; M - muži; Z - ženy. |
ShowCalcPayoff - Ano Ano - zobrazí poslední výpočet dobírek. |
Sorting - JM Setřídění podle: JM - jména; OS - osobního čísla. |
SortingFields Pole pro setřídění. |
SubTitle Podtitulek. |
SuppressDetailsPP - Ne Potlačit detaily o prac. poměru. |
SuppressEmps - Ne Nezobrazovat záznamy za zaměstnance. |
OnlyExemptionChanges - Ne |


Stavy zaměstnanců po dnech
Číslo procesu: MZD005 |
Ident. číslo sestavy: SMZD072 |
Soubor: MZD_STAD.AM |
Popis sestavy: Přehled o stavu zaměstnanců po jednotlivých dnech. |
||
Adresa ve stromu: |
||
Parametry sestavy:
ActualMonth - Ano Ano - aktuální měsíc. |
AllEmp - Ne Ano - Všichni zaměstnanci. |
Centre - Ano Ano - setřídí podle střediska. |
Columns - Ano Ano - sloupce. |
NewPage - Ano Ano - každé středisko na novou stranu (pokud je parametr "Centre" nastaven na "Ano"); Ne - jedn. střediska se řadí za sebou. |
NoInteractive - Ne Ne - zobrazí se úvodní formulář pro výběr data. |
ShowCalcPayoff - Ano Ano - zobrazí poslední výpočet dobírek. |
SortingFields Pole pro setřídění. |
SortingFieldsDescr - Popis vlastního setřídění definovaného v parametru "SortingFields ". |
SubTitle Podtitulek. |

Vybrané ukazatele o práci pro výkazy ČSÚ
Číslo procesu: MZD005 |
Ident. číslo sestavy: SMZD073 |
Soubor: MZD_CSU.AM |
Popis sestavy: Vypočte a zobrazí vybrané ukazatele o práci. |
||
Adresa ve stromu: [Mzdy] [Mzdové údaje] [Statistiky] |
||
Parametry sestavy:
ActualMonth - Ano Ano - aktuální měsíc. |
Centre - Ne Ano - setřídí podle střediska. |
NewPage - Ano Ano - každé středisko na novou stranu (pokud je parametr "Centre" nastaven na "Ano"); Ne - jedn. střediska se řadí za sebou. |
NezahrnovatNocniPrace - Ne Ano - nezahrne noční práci do odpracované doby. |
NezahrnovatPrescasy - Ne Ano - nezahrne přesčasy do odpracované doby. |
NoInteractive - Ne Ne - zobrazí se úvodní formulář pro výběr data. |
Quarter - Ne Ano - čtvrtletí. |
ShowCalcPayoff - Ano Ano - zobrazí poslední výpočet dobírek. |
SubTitle Podtitulek. |
Year - Ne Rok. |

Výkaz o pracovní neschopnosti
Číslo procesu: MZD005 |
Ident. číslo sestavy: SMZD074 |
Soubor: MZD_DNP2.AM |
Popis sestavy: Statistické údaje o pracovní neschopnosti za organizaci. |
||
Adresa ve stromu: [Mzdy] [Mzdové údaje] [Statistiky] |
||
Parametry sestavy:
ActualMonth - Ne Ano - aktuální měsíc. |
Centre - Ne Ano - setřídí podle střediska. |
NoInteractive - Ne Ne - zobrazí se úvodní formulář pro zadání data; Ano - formulář pro zadání data se nezobrazí. |
ShowCalcPayoff - Ano Ano - zobrazí poslední výpočet dobírek. |
SubTitle Podtitulek. |

Výkaz péče o dítě
Číslo procesu: MZD005 |
Ident. číslo sestavy: SMZD190 |
Soubor:MZD_ReportChildCare.AM |
Popis sestavy: Sestava tiskne oficiální formulář Záznamy zaměstnavatele k výkazu péče o dítě z důvodu uzavření výchovného zařízení. Naplánované směny se do sestavy plní ze strany C. Dny, ve kterých zaměstnanec vykonával zaměstnání se načítají dle toho, na které dny jsou naplánovaná směny a není na ně zadána mzdová složka 5120 - Ošetřování člena rodiny. |
||
Adresa ve stromu: |
||
Parametry sestavy:
Centre - Ne Ano - setřídění podle střediska. |
LeftShift - Posunutí doprava |
PrintDate - Datum tisku |
PrintPlace - Místo tisku |
Sorting - Setřídění podle: JM, OS nebo RČ |
Výplatní lístek
Číslo procesu: MZD005 |
Ident. číslo sestavy: SMZD075 |
Soubor: MZD_VYPL.AM |
Popis sestavy: Výplatní páska. Při posílání výplatních lístků emailem je nutné mít nastavený parametr "Printing" na hodnotu "NE". Při posílání zaheslovaného výplatního lístku ve formátu *.pdf je potřeba nastavit parametr CryptPdfFile na hodnotu "Ano". Výplatní lístek bude poslán ve formátu *.pdf, ale pro otevření bude potřeba zadat heslo (heslo z první strany personální karty nebo druhou část rodného čísla, pokud není zadáno heslo).
Při posílání zašifrovaného výplatního lísku pomocí externího programu je nutné mít nastaveny parametry: "Printing" na "Ne" "MailCryptFile" na "Ano" "MailCryptFileExt" - přípona zaheslovaného souboru (např. rar, zip) "MailCryptCommand" - cesta k programu, který soubor zašifruje.
Do parametrů "Text","Subject" a "AttachmentFileName" lze zadat v hranatých závorkách pole datového modulu (se středníkem i přes vazbu) a jeho hodnota se poté použije v zaslaném emailu. Např. Pokud je do parametru "Text" vepsáno: Výplatní lístek za měsíc [PeriodId;Description] , pak v textu příchozího emailu bude např. text : Výplatní lístek za měsíc listopad 2017. Pokud je do paramatru "Subject" vepsáno: [Surname], pak předmět příchozího emailu bude příjmení pracovníka.
|
||
Adresa ve stromu: [Mzdy] [Mzdové údaje] [Přehledy] |
||
Parametry sestavy:
AdditionalFile - Cesta k souboru s přílohou emailu Parametr umožňuje odeslat spolu s výplatním lístkem i další přiložený soubor, který je stejný pro všechny odesílané emaily. |
AttachmentFileName - Název souboru pro email. Do parametru je možné zadat název souboru výplatního lístku. Za tento název je vždy programem přidáno interní číslo pracovníka (spodní podtržítko a interní číslo pracovníka). |
Centre - Ne Ano - setřídí podle střediska. |
CryptPdfFile - Ne Ano - Zaheslovat posílaný výplatní lístek. Heslo je vyžadováno nejen při posílání emailem, ale také při exportu do *.pdf. Pro export bez hesla je potřeba mít parametr na Ne. |
DivideHolidayType - Ne Ano - Zobrazit druhy dovolené rozděleně. Zobrazí dovolenou ve tvaru (běžná + prodloužená). Případná dodatková dovolená je součástí dovolené běžné.) |
EditMail - Ne Ano - umožní editovat maily. |
ExtraRecords - Ne Ano - přidat záznamy. |
HideTaxBase - Ne Ne - netiskne základ daně. |
InCurrency- Ne Ano - hodnoty v sestavě se zobrazí dle měny mandanta. |
InsurByEmpl - Ne Ano - Pojištění placené zaměstnavatelem. |
KontaPracovniDoby - Ne Ano - konta pracovní doby. |
MailCryptCommand - "C:\Program Files\WinRAR\rar.exe" a -p[PASSWORD] "[FILENAME]" "[SOURCE]" Cesta k souboru, Příkaz. |
MailCryptFile - Ne Ano - Zaheslovat odesílaný výplatní lístek. |
MailCryptFileExt - rar Přípona zaheslovaného souboru. |
MailCryptShowLog - Ne Zobrazit log archivace souboru. Pokud je parametr nastaven na „ANO“ zobrazí se formulářové okno, které informuje, zda byly výplatní lístky v pořádku zaarchivovány, případně upozorní na chybu. |
MailDefault - Ne Ano - zapne se implicitní funkčnost mailu. Výplatní lístky lze odeslat ve formě PDF na mailovou adresu, kterou zadáme. |
NezahrnovatNocniPrace - Ne Ano - pokud je nastaveno "KPD", hodiny noční práce se nezahrnou do celkové odpracované doby. |
NezahrnovatPrescasy - Ne Ano - pokud je nastaveno "KPD", hodiny práce přesčas se nezahrnou do celkové odpracované doby. |
NoInteractive - Ano Ne - zobrazí se vstupní formulář. |
PayCentre - ANO. Středisko pro třídění se bere z pole Výplatní středisko. NE - středisko se bere z pole Středisko. |
Printing - Ne Ano - tisk více lístků na stránku. |
PrintCompNotes - Ne Ano - Tisk poznámky z výstupní položky. Vytiskne se obsah poznámky ze mzdových složek, které mají v poznámce něco zadáno. |
ReportNameLeftShift - 0 Posunout název sestavy. |
ShowEmpty - Ne Zobrazit i prázdné výplatní lístky. |
ShowSupplement - Ne Ano - na výplatním lístku se zobrazí vepsaný text v dodatku mandanta "MZD_VYPL" u všech pracovních poměrů. |
ShowSupplementRecord - Ne Ano - zobrazí se informace uvedená v poznámce (Text patičky) u konkrétního PP. |
ShowRefCalc - Ne Ano - zobrazí výpočet náhrad mezd za DPN. |
ShowSickDays - Ne Ano - Zobrazit zůstatek Sick Days |
Sorting - JM Setřídění podle JM (jména); OS (osoby). |
Subject - Předmět emailu |
Sumation - Ne Ano - sumuje mzdové složky. |
SuppressComp - Potlačit mzdové složky (oddělte středníkem) |
SuppressEmpty - Ne Ano - Potlačit prázdné. Parametr zajistí, že se netiskne výpl. lístek, pokud je podepsané prohlášení k dani, ale neexistují položky na straně výstup stručného výpisu. |
SuppressCompanyName - NE Ano - Potlačit název organizace |
SuppressDiffAmoun - tKPD - Ne Ano - potlačí rozdíl v částce u konta prac. doby. |
SuppressName - Ne Ano- Skrýt jménno pracovníka - jméno zaměstnance ne na sestavě nezobrazí. |
Text - text emailové zprávy. V textu může být také uvedeno %ZkratkaDodatkuMandanta%, čímž se do textu emailu vloží tento dodatek mandanta. V textu dodatku mohou být uvedena i pole datového modulu v [ ] , např. [PeriodId;Description] |
SickDaysDescr - popiska pro "Sick days" Do hodnoty parametru se zadá požadovaný popis, který se na výplatním lístku zobrazí místo "Sick days" Zatržítko "Zadávat před spuštěním" umožňuje zadávat popis pro Sick days vždy před samotným spuštěním sestavy. |

Výplatní lístek - txt
Číslo procesu: MZD005 |
Ident. číslo sestavy: SMZD076 |
Soubor: MZD_VYPL_TXT.AM |
Popis sestavy: Výplatní lístek určený pro tisk do formuláře. |
||
Adresa ve stromu: |
||
Parametry sestavy:
AddRows - číslo. Přidá řádky pod záhlaví. |
Centre - Ne Ano - setřídí podle střediska. |
HideTaxBase - Ne Ne - netiskne základ daně. |
InsurByEmpl - Ne Ano - Pojištění placené zaměstnavatelem. |
KontaPracovniDoby - Ne Ano - konta pracovní doby. |
Lines - Počet řádků pro tisk. Implicitní hodnota je 80, pokud je parametr Printing nastaven na ANO, nebo 40 , pokud je parametr Printing nastaven na NE. Na stejnou hodnotu - počet řádků, jako je v tomto parametru, by měla být nastavena také tiskárna pro tisk. |
NezahrnovatNocniPrace - Ne Ano - pokud je nastaveno "KPD", hodiny noční práce se nezahrnou do celkové odpracované doby. |
NezahrnovatPrescasy - Ne Ano - pokud je nastaveno "KPD", hodiny práce přesčas se nezahrnou do celkové odpracované doby. |
NoInteractive - Ano Ne - zobrazí se vstupní formulář. |
PayCentre - ANO. Středisko pro třídění se bere z pole Výplatní středisko. NE - středisko se bere z pole Středisko. |
Printing - Ano Ano - tisk více lístků na stránku. |
PrintCompNotes - Ne Ano - Tisk poznámky z výstupní položky . Vytiskne se obsah poznámky ze mzdových složek, které mají v poznámce něco zadáno. |
RowsBeforeHeader - 2 Počet řádku před záhlavím. Parametr posunuje záhlaví o daný počet řádků. |
ShowEmpty - Ne Zobrazit i prázdné výplatní lístky. |
ShowMarks - Ne Zobrazit označení položky +/-. |
Sorting - JM Setřídění podle JM (jména); OS (osoby). |
SortingFields - pole pro setřídění (oddělte čárkou) - zároveň musí být parametr "Centre" nastaven na "Ano". |
Sumation - Ne Ano - sumuje mzdové složky. |
SuppressComp - Potlačit mzdové složky (oddělené středníkem). |
SuppressEmpty - Ne Ano - Potlačit prázdné. Parametr zajistí, že se netiskne výpl. lístek, pokud je podepsané prohlášení k dani, ale neexistují položky na 6. straně stručného výpisu. |
TextCode - Kódování textu ("OEM852","Kamenici","WIN1250","OEM437","") |

Výplatní lístek se seznamem měsíců
Číslo procesu: |
Ident. číslo sestavy: |
Soubor: MZD_VYPL2.AM |
Popis sestavy: Výplatní lístek, na kterém se zobrazuje seznam předchozích měsíců. |
||
Adresa ve stromu: [Mzdy] [Mzdové údaje] [Přehledy] |
||
Parametry sestavy:
PreviousDocuments_DSC1 - implicitně -1 (zobrazí měsíce od ledna tisknutého roku) |
Printing - parametr je zde nastaven výlučně na NE |
Ostatní parametry sestavy jsou shodné, jako u standardní sestavy výplatního lístku MZD_VYPL.AM.
Výplatní listina dobírek
Číslo procesu: MZD005 |
Ident. číslo sestavy: SMZD077 |
Soubor: MZD_DOLI.AM |
Popis sestavy: Přehled částek k výplatě dobírek v hotovosti za zaměstnance. |
||
Adresa ve stromu: [Mzdy] [Mzdové údaje] [Přehledy] |
||
Parametry sestavy:
ByEmployedPerson - Ne Ano - Tiskne se jeden zaměstnanec na jednu stranu. |
Centre - Ano Ano - setřídí podle střediska. |
NewPage - Ano Ano - nová strana. |
PayCentre - ANO. Středisko se bere z pole Výplatní středisko. NE - středisko se bere z pole Středisko. |
ShowCalcPayoff - Ano Ano - zobrazí poslední výpočet dobírek. |
ShowDebts - Ne. Ano - Zobrazení dlužných částek. |
Sorting - JM Setřídění podle JM (jména); OS (osoby). |
SubTitle Podtitulek. |
SuppressDetail - Ne Ano - Potlačit detaily. Na sestavě se nezobrazí zaměstnanci. |
Vyloučené doby důch. poj. kryjící se s příjmem
Číslo procesu: MZD005 |
Ident. číslo sestavy: SMZD122 |
Soubor: MZD_VDDP.AM |
Popis sestavy: Sestava zobrazuje Vyloučené doby důch. poj. kryjící se s příjmem. |
||
Adresa ve stromu: [Mzdy] [Mzdové údaje] |
||
Parametry sestavy:
ActualMonth - Ne Ano - zobrazí se záznamy pouze v aktuálním měsíci. |
Centre - Ne Ano - setřídí podle střediska. |
NewPage - Ne Nová strana. |
NoInteractive - Ne Ano - zobrazit vstupní formulář. |
ShowCalcPayoff - Ano Ano - zobrazí poslední výpočet dobírek. |
Sorting - JM Setřídění podle: JM - jména; OS - osobního čísla. |
SubTitle Podtitulek. |

Výplatní listina záloh
Číslo procesu: MZD005 |
Ident. číslo sestavy: SMZD078 |
Soubor: MZD_ZALI.AM |
Popis sestavy: Přehled částek k výplatě záloh v hotovosti za zaměstnance. Zobrazuje zálohy vyplacené prostřednictvím složek 9700,9710 a 9820. |
||
Adresa ve stromu: [Mzdy] [Mzdové údaje] [Přehledy] |
||
Parametry sestavy:
CashOnly - Ano Ano - pouze v hotovosti. |
Centre - Ano Ano - setřídí podle střediska. |
NewPage - Ano Ano - nová stránka. |
PayCentre - ANO. Středisko se bere z pole Výplatní středisko. NE - středisko se bere z pole Středisko. |
ShowCalcPayoff - Ano Ano - zobrazí poslední výpočet dobírky. |
Sorting - JM Setřídění podle JM (jména); OS (osoby). |
SubTitle Podtitulek. |
Výpočet daně a daňového zvýhodnění
Číslo procesu: MZD008 |
Ident. číslo sestavy: SMZD090 |
Soubor: MZD_VDAN.AM |
Popis sestavy: Formulář pro výpočet daně z příjmu (přeplatek daně). |
||
Adresa ve stromu: [Mzdy] [Mzdové údaje] [Přehledy] [Daně z příjmu] |
||
Parametry sestavy:
Centre - Ano Ano - setřídí podle střediska. |
LeftShift - 0 Odsazení z leva. |
PicturePath Cesta k podkladovému obrázku. |
PrintingDate - 0.0.0000 Datum tisku. |
Sign - Obrázek s podpisem uživatele. Implicitní hodnota parametru je 0 - pak se razítko nezobrazí.
Možné hodnoty parametru:
- aktuální přihlášený uživatel: @akt;;; - přihlašovací jméno do K2 - tedy obrázek konkrétního uživatele (např. uživatel Novák): NOVAK;;;
Parametr má 5 pozic:
1. pozice určuje osobu, jejíž podpis se má zobrazit.
Implicitně se bere hodnota zadaná v poli Razítko v Nastavení vlastních firem. Zde se zadá cesta a název souboru. Cestu lze zadat pomocí aliasu. Místo konkrétního názvu souboru lze zadat %s. Pak se bere razítko uživatele nastaveného v parametru Sign (implicitně @Vyst - tedy ten, kdo ELDP vyhotovil.) Obrázek musí být vždy ve formátu xxx.png. Pokud není vyplněna cesta v Nastavení vlastních firem, pak se hledá soubor v adresáři Pictures dle zadaného parametru Sign.
Příklad zadání v poli Razítko v Nastavení vlastních firem: pomocí alias: k2*DEMO\Pictures\razitko.png (hledá se obrázek v cestě mandanta. Soubor razitko.png v adresáři Pictures) pomocí %s: k2*DEMO\Razitka\%s.png (takto zadaná hodnota umožní zobrazit bitmapy s podpisem všem uživatelům, kteří mohou být zadáni v parametri Sign a mají soubor ve formátu PNG v adresáři (v tomto případě uživatelem vytvořený adresář Razitka).
2. pozice: výška obrázku (udává o kolik bodů se má zvětšit výchozí výška obrázku) 3. pozice: vzdálenost od levého okraje. 4. pozice: vzdálenost obrázku od horního okraje dané sekce. 5. pozice: šířka obrázku (udává o kolik bodů se má zvětšit výchozí šířka obrázku) Příklad: (Sign - @akt;27;47;0;83) Tiskne podpis aktuálně přihlášeného uživatele, jehož výchozí pozice je: zvětšená o 27 bodů na výšku, odsazená zleva navíc o 47 bodů. Šířka obrázku je zvětšená o 83 bodů. |
Sorting - JM Setřídění podle JM (jména); OS (osoby). |
ToForm - Ne Ano - do formuláře, Ne - do podkladového obrázku. |

Výpočet srážek ze mzdy
Číslo procesu: MZD005 |
Ident. číslo sestavy: SMZD079 |
Soubor: MZD_VYPSR.AM |
Popis sestavy: Výpočet srážek ze mzdy. |
||
Adresa ve stromu: |
||
Parametry sestavy:
AfterCompute - Ne Ano - hodnoty po výpočtu - pokud se parametr nastaví na hodnotu Ano, pak se místo Splaceno do období zobrazí na sestavě Splaceno vč. období a místo Měsíčně se zobrazí Zůstatek. |
Bonus - Ne Ano. Parametr pouze ovlivňuje text v záhlaví (s bonusem x bez bonusu), nikoli nápočet bonusu do čistého příjmu. |
Centre - Ano Ano - setřídí podle střediska. |
CostsOfLiving - 0 Náklady na bydlení. |
NewPage - Ano Ano - nová stránka. |
ReduceNetIncome - 0 Snížení čistého příjmu. |
ShowCalcPayoff - Ano Ano - zobrazí poslední výpočet dobírky. |
Sorting - JM Setřídění podle JM (jména); OS (osoby). |
SubTitle Podtitulek. |
ShowBirthNumber - Ne Ano - Pokud se parametr nastaví na hodnotu Ano, pak se u zaměstnance zobrazí místo osobního čísla číslo rodné. |
UsedBaseAmount Tento parametr se použije v případě potřeby upravit výši základní nezabavitelné částky pro výpočet srážek ze mzdy, na základě zaslaných podkladů OSSZ. Pokud je v parametru zadaná nějaká hodnota(různá od nuly), pak se nebere v potaz hodnota zadaná na mzdové složce 8040 - Snížení nezabavitelné částky. Pokud zde hodnota zadaná není, pak se nezabavitelná částka v sestavě může ovlivnit mzdovou složkou 8040, |

Vyúčtování srážek ze mzdy
Číslo procesu: MZD005 |
Ident. číslo sestavy: SMZD172 |
Soubor: BSP_RecaptDeducts.AM |
Popis sestavy: Sestava pro komunikaci v rámci srážek ze mzdy na základě výkonu rozhodnutí. |
||
Adresa ve stromu:[Mzdy][Srážky z mezd] |
||
Parametry sestavy:
Email - Email |
MadeBy -Sestavil |
PrintDate - Datum tisku |
PrintPlace - Místo tisku |
Telephone - Telefon |

Vyúčtování srážkové daně - soupis údajů
Číslo procesu: MZD008 |
Ident. číslo sestavy: SMZD124 |
Soubor: MZD_MZD_VSR.AM |
Popis sestavy: Sestava zobrazuje přehled údajů pro zpracování vyúčtování srážkové daně, nejedná se o oficiální formulář. |
||
Adresa ve stromu: [Mzdy] [Mzdové údaje] [Přehledy] [Daně z příjmu] [Vyúčtování srážkové daně - soupis údajů] |
||
Parametry sestavy:
ActualRecords - NE - sestava se spouští pro všechny záznamy, včetně dávno ukončených. Ano - Sestava se spouští pouze nad vybranými záznamy. |
ObjectDataPath Parametr není určen pro změnu uživatelem. Pomocí parametru se přenášejí data do sestavy. |
ShiftedBegin - Ne A""Ano - Posun měsíců. Při nastavení na "Ano" se srážková daň spočtená za předchozí měsíc načte do vyúčtování za následující měsíc. (Např. prosinec do ledna, leden do února,...) |

Vyúčtování zálohové daně - soupis údajů
Číslo procesu: MZD008 |
Ident. číslo sestavy: SMZD123 |
Soubor: MZD_MZD_VZD.AM |
Popis sestavy: Sestava zobrazuje přehled údajů pro zpracování vyúčtování zálohové daně, nejedná se o oficiální formulář. Počet zaměstnanců je možné porovnat s počtem ve sloupečku Vyúčtování zálohové daně na sestavě Stavy zaměstnanců (na šířku), na které je třeba nastavit parametr "AllEmp" na "ANO". |
||
Adresa ve stromu: [Mzdy] [Mzdové údaje] [Přehledy] [Daně z příjmu] [Vyúčtování zálohové daně - soupis údajů] |
||
Parametry sestavy:
ActualRecords - NE - sestava se spouští pro všechny záznamy, včetně dávno ukončených. Ano - Sestava se spouští pouze nad vybranými záznamy. |
ObjectDataPath Parametr není určen pro změnu uživatelem. Pomocí parametru se přenášejí data do sestavy. |


Zákonné pojištění odpovědnosti org.
Číslo procesu: MZD005 |
Ident. číslo sestavy: SMZD080 |
Soubor: MZD_ZAPO.AM |
Popis sestavy: Přehled o Zákonném pojištění odpovědnosti organizace za jednotlivé zaměstnance. |
||
Adresa ve stromu: [Mzdy] [Mzdové údaje] [Přehledy] |
||
Parametry sestavy:
Centre - Ano Ano - setřídí podle střediska. |
CentreCalcul - Ne Ano - výpočet částky i za středisko. |
ControlPPV - Ano Ano - kontrola vyplnění právního vztahu. |
NewPage - Ano Ano - každé středisko na novou stranu (pokud je parametr "Centre" nastaven na "Ano"); Ne - Jedn. střediska se řadí za sebou. |
NoInteractive - Ano Ano - nezobrazí vstupní formulář. |
Short - Ano Ano - nezobrazí sloupec se zaměstnancem. |
ShowCalcPayoff - Ano Ano - zobrazí poslední výpočet dobírek. |
Sorting - JM Setřídění dle JM - jména; OS - osobního čísla. |
SortingFields Setřídění dle vybraného datového pole (název pole se uvede do hodnoty parametru). Možnost třídit i podle více polí najednou - názvy oddělíme čárkou. Tento parametr je ovlivněn také parametrem "Centre". Pokud je současně parametr "Centre" nastaven na „NE“, nedojde k setřídění ani podle zadaného pole v hodnotě parametru "SortingFields". |
SortingFieldsDescr - Popis vlastního setřídění definovaného v parametru "SortingFields ". |
SubTitle Podtitulek. |

Záznam o úrazu
Číslo procesu: MZD005 |
Ident. číslo sestavy: SMZD181 |
Soubor: WOIN_InjuryRecord.AM |
Popis sestavy: Sestava záznam o úrazu, spustitelná nad knihou úrazů. |
||
Adresa ve stromu:[Mzdy][Kniha úrazů] |
||
Parametry sestavy:
|





Záznam o úrazu - hlášení změn
Číslo procesu: MZD005 |
Ident. číslo sestavy: SMZD182 |
Soubor: WOIN_InjuryRecordChange.AM |
Popis sestavy: Sestava záznam o úrazu- hlášení změn, spustitelná nad knihou úrazů. |
||
Adresa ve stromu:[Mzdy][Kniha úrazů] |
||
Parametry sestavy:
|


Zálohová daň
Číslo procesu: MZD005 |
Ident. číslo sestavy: SMZD148 |
Soubor: MZD_DANZ.AM |
Popis sestavy: Zobrazuje informace týkající se zálohové daně, ročního zúčtování a oprav na dani. |
||
Adresa ve stromu: |
||
Parametry sestavy:
Sorting - JM Setřídění podle JM (jména); OS (osoby). |
SubTitle Podtitulek. |

Zaměstnanci ve zkušební době
Číslo procesu: MZD005 |
Ident. číslo sestavy: SMZD081 |
Soubor: MZD_TRY.AM |
Popis sestavy: Seznam zaměstnanců ve zkušební době. |
||
Adresa ve stromu: |
||
Parametry sestavy:
AllEmp - Ano Ano - všichni se zkušební dobou. |
Centre - Ano Ano - setřídí podle střediska. |
Date - 0.0.0000 K datu. |
NewPage - Ano Ano - každé středisko na novou stranu (pokud je parametr "Centre" nastaven na "Ano"); Ne - Jedn. střediska se řadí za sebou. |
NoInteractive - Ne Ano - nezobrazí vstupní formulář. |
Sorting - JM Setřídění podle JM (jména); OS (osoby). |
SubTitle Podtitulek. |

Zařazení zaměstnanců
Číslo procesu: MZD005 |
Ident. číslo sestavy: SMZD082 |
Soubor: MZD_STRK.AM |
Popis sestavy: Seznam zaměstnanců podle střediska nebo funkce. |
||
Adresa ve stromu: [Mzdy] [Mzdové údaje] [Přehledy] |
||
Parametry sestavy:
Centre or Function - S S - středisko, F - funkce. |
NewPage - Ano Ano - každé středisko na novou stranu; Ne - jedn. střediska se řadí za sebou (viz náhled). |
NewPageInsComp - Ano Ano - nová strana - zdr. pojišťovny. |
Sorting - JM Setřídění podle JM (jména); OS (osoby). |
SubTitle Podtitulek. |
WorkTypeFromOrgJob - Ne - Druh práce se bere z pole Zařazení. Ano - Druh práce z pracovního místa |

Zdravotní pojištění
Číslo procesu: MZD005 |
Ident. číslo sestavy: SMZD083 |
Soubor: MZD_ZDRPOS.AM |
Popis sestavy: Přehled o odvodech zdravotního pojištění zaměstnanců od začátku kalendářního roku do nastaveného měsíce za jednotlivé zdravotní pojišťovny. |
||
Adresa ve stromu: [Mzdy] [Mzdové údaje] [Přehledy] [Zdravotní pojištění] |
||
Parametry sestavy:
ActualMonth - Ne Ano - aktuální měsíc. |
AllEmp - Ne Ano - Všichni zaměstnanci. Zobrazují se všechny zaměstnanecké poměry. |
ByAccounting - Ano Ano - podle účtování. |
Centre - Ano Ano - setřídí podle střediska. |
NewPage - Ano Ano - každé středisko na novou stranu (pokud je parametr "Centre" nastaven na "Ano"); Ne - Jedn. střediska se řadí za sebou. |
NewPageInsComp - Ano Ano - nová strana - zdr. pojišťovny. |
NoInteractive - Ne Ano - nezobrazí vstupní formulář. |
ShowCalcPayoff - Ano Ano - zobrazí poslední výpočet dobírek. |
SubTitle Podtitulek. |
SortingFields Setřídění dle vybraného datového pole (název pole se uvede do hodnoty parametru). Možnost třídit i podle více polí najednou - názvy oddělíme čárkou. Tento parametr je ovlivněn také parametrem "Centre". Pokud je současně parametr "Centre" nastaven na „NE“, nedojde k setřídění ani podle zadaného pole v hodnotě parametru "SortingFields". |
SortingFieldsDescr - Popis vlastního setřídění definovaného v parametru "SortingFields ". |
SuppressDetail - Ne Potlačit detaily. |
SuppressInsurComp - Ne Potlačit sumování za zdravotní pojišťovny. |

Zdravotní pojištění - přehled
Číslo procesu: MZD005 |
Ident. číslo sestavy: SMZD139 |
Soubor: MZD_HealthInsurContr.AM |
Popis sestavy: Sestava pro kontrolu údajů na Přehledu o platbách zdravotního pojištění. |
||
Adresa ve stromu: [Mzdy] [Mzdové údaje] [Přehledy] [Zdravotní pojištění] |
||
Parametry sestavy:
NewPage - Ano Ano - každá pojišťovna na novou stranu (pokud je parametr "NewPage" nastaven na "Ano"); Ne - Jednotlivé pojišťovny se řadí za sebou. |

Zdravotní pojišťovny
Číslo procesu: MZD005 |
Ident. číslo sestavy: SMZD084 |
Soubor: MZD_ZDRP.AM |
Popis sestavy: Seznam zaměstnanců podle zdravotní pojišťovny. |
||
Adresa ve stromu: [Mzdy] [Mzdové údaje] [Přehledy] [Zdravotní pojištění] |
||
Parametry sestavy:
ActualMonth - Ne Ano - aktuální měsíc. |
Centre - Ne Ano - setřídí podle střediska. |
NewPage - Ano Ano - nová strana. |
NoInteractive - Ne Ano - nezobrazí vstupní formulář. |
ShowCalcPayoff - Ano Ano - zobrazí poslední výpočet dobírek. |
Sorting - JM Setřídění podle JM (jména); OS (osoby). |
SubTitle Podtitulek. |
Změny za období
Číslo procesu: MZD005 |
Ident. číslo sestavy: SMZD176 |
Soubor:PREMP_DateCHanges.AM |
Popis sestavy: Sestava se spouští nad knihou Pracovní vztahy. Sestava vypíše změny provedené na historicky sledovaných polích (pole s budíkem) za vybrané období. |
||
Adresa ve stromu: |
||
Parametry sestavy:
AllowedFields - povolená pole - implicitně všechna historicky sledovaná pole. Do parametru lze zadat datové názvy polí (v případě více polí oddělené středníkem), jejichž změny chceme sledovat. |
DateFrom - Datum od |
DateTo - Datum do |
ForbiddenFields - zakázaná pole - Do parametru lze zadat pole, jijichž změnu sestava zobrazovat nemá (v případě více polí oddělené středníkem). |
Sorting - setřídění dle jména nebo osobního čísla |

Žádost o chybějící částku daňového bonusu
Číslo procesu: MZD005 |
Ident. číslo sestavy: SMZD119 |
Soubor: MZD_BONUS.AM |
Popis sestavy: Jedná se o formulář „Žádost podle § 35d odst. 5 zákona o daních z příjmů, o poukázání chybějící částky vyplacené plátcem daně poplatníkům na měsíčních daňových bonusech“. Sestava se spouští z knihy Mzdových údajů. Informace potřebné k odeslání sestava bere z parametrů zálohové daně (skript Vyúčtování zálohové daně - nastavení parametrů - MZD_VZDP.PAS). Je možné je nastavit i přímo na sestavě přes tlačítko Nastavení parametrů zálohové daně. Tlačítko Export do souboru umožňuje export do souboru *.xml pro elektronické podání. |
||
Adresa ve stromu: |
||
Parametry sestavy:
BankAccount - Bankovní účet firmy (zkratka knihy) |
DisableItemFilter - Ano Ne - Zapnout zobrazovací filtr na položkách. |
DodatecnaZadost - Ne Ano - Zatrženo pole Dodatečná žádost. |
PrintDate - 0.0.0000 Datum tisku. |
ToForm - Ne Ano - Tisk do originálního formuláře. |

Žádost o chybějící částku daňového bonusu - roční
Číslo procesu: MZD005 |
Ident. číslo sestavy: SMZD134 |
Soubor: MZD_BONUSR.AM |
Popis sestavy: Jedná se o formulář „Žádost podle § 35d odst. 9 zákona o daních z příjmů, o poukázání chybějící částky vyplacené plátcem daně poplatníkům na doplatku na daňovém bonusu z ročního zúčtování záloh a daňového zvýhodnění“. Sestava se spouští z knihy Mzdových údajů. Informace potřebné k odeslání sestava bere z parametrů zálohové daně (skript Vyúčtování zálohové daně - nastavení parametrů - MZD_VZDP.PAS). Je možné je nastavit i přímo na sestavě přes tlačítko Nastavení parametrů zálohové daně. Tlačítko Export do souboru umožňuje export do souboru *.xml pro elektronické podání. |
||
Adresa ve stromu: |
||
Parametry sestavy:
BankAccount - Bankovní účet firmy (zkratka knihy) |
DisableItemFilter - Ano Ne - Zapnout zobrazovací filtr na položkách. |
DodatecnaZadost - Ne Ano - Zatrženo pole Dodatečná žádost. |
PrintDate - 0.0.0000 Datum tisku. |
ToForm - Ne Ano - Tisk do originálního formuláře. |

Kvalifikace
Přehled kvalifikací
Číslo procesu: MZD002 |
Ident. číslo sestavy: SMZD017 |
Soubor: TRN_SEZ.AM |
Popis sestavy: Přehled kvalifikací se seznamem účastníků. |
||
Adresa ve stromu: [Mzdy] [Kvalifikace] |
||
Parametry sestavy:
Centre - Ne Rozčlenit na střediska Ano/Ne. |
Desc(Text) - Ne Ano - zobrazení popisu (textu). |
Sorting - JM Setřídění dle JM - jména; OS - osobního čísla. |

Kvalifikace - prezenční listina
Číslo procesu: MZD002 |
Ident. číslo sestavy: SMZD018 |
Soubor: TRN_SEP.AM |
Popis sestavy: Kvalifikace - prezenční listina. |
||
Adresa ve stromu: [Mzdy] [Kvalifikace] |
||
Parametry sestavy:
Centre - Ne Rozčlenit na střediska Ano/Ne. |
Sorting - JM Setřídění dle JM - jména; OS - osobního čísla. |

Kvalifikace - prezenční listina 2
Číslo procesu: MZD002 |
Ident. číslo sestavy: SMZD019 |
Soubor: TRN_SEP2.AM |
Popis sestavy: Prezenční listina 2. |
||
Adresa ve stromu: [Mzdy] [Kvalifikace] |
||
Parametry sestavy:
Mobil - 1 Telefon 1/2 |

Kvalifikace zaměstnanců
Číslo procesu: MZD002 |
Ident. číslo sestavy: SMZD020 |
Soubor: TRN_ZAM.AM |
Popis sestavy: Přehled kvalifikací jednotlivých zaměstnanců a kontaktních osob. |
||
Adresa ve stromu: [Mzdy] [Kvalifikace] |
||
Parametry sestavy:
AllEmp - Ano Ne - Všichni zaměstnanci. Při nastavení parametru na NE se berou v potaz pouze zaměstnanci s platným pracovním vztahem. Při vyhodnocení u parametru AllEmp se bere v potaz pole ValEmpDateCalc - tedy vyhodnocuje se, jestli má zaměstnanec nějaký platný vztah k aktuálnímu datu. |
Centre - Ne Rozčlenit na střediska Ano/Ne. |
ContactPerson - Ne Ano - zobrazí se také kvalifikace kontaktních osob. |
NewPage - Ano Ano - nová strana. |
Sorting - JM Setřídění dle JM - jména; OS - osobního čísla. |
NoInteractive - Ne Ano - nezobrazí vstupní formulář. |

Konec platnosti kvalifikace
Číslo procesu: MZD002 |
Ident. číslo sestavy: SMZD021 |
Soubor: TRN_PDP.AM |
Popis sestavy: Konec platnosti kvalifikace. |
||
Adresa ve stromu: [Mzdy] [Kvalifikace] |
||
Parametry sestavy:
AllEmp - Ano Ne - Všichni zaměstnanci. Při nastavení parametru na NE se berou v potaz pouze zaměstnanci s platným pracovním vztahem. Při vyhodnocení u parametru AllEmp se bere v potaz pole ValEmpDateCalc - tedy vyhodnocuje se, jestli má zaměstnanec nějaký platný vztah k aktuálnímu datu. |
Centre - Ne Rozčlenit na střediska Ano/Ne. |
NewPage - Ne Ano - nová strana. |
NoInteractive - Ne Ano - skryje formulář. |

Kvalifikace - obsah, cíl, vyhodnocení
Číslo procesu: MZD002 |
Ident. číslo sestavy: SMZD022 |
Soubor: TRN_CONT.AM |
Popis sestavy: Kvalifikace - obsah, cíl, vyhodnocení. |
||
Adresa ve stromu: [Mzdy] [Kvalifikace] |
||
Parametry sestavy:
Bez parametrů.
|

Závazky z mezd
Seznam závazků z mezd
Číslo procesu: MZD007 |
Ident. č. sestavy: SMZD128 |
Soubor: PLI_SEZ01.AM |
Popis sestavy: Seznam závazků z mezd setříděný dle zadaného klíče s možností součtů. Součty jsou možné přes periody, pracovníka, srážky, střediska nebo dle analytického účtu. Setřídění podle dokladu, příjmení, osobního čísla nebo částky. |
||
Adresa ve stromu: [Mzdy][Závazky z mezd] |
||
Parametry sestavy:
InCurrency - NE V měně. |
BankAccount - NE ANO - Místo názvu srážky se zobrazí bankovní účet uložený na závazku. Pokud se jedná o srážku za organizaci, pak se místo osobního čísla zobrazí název srážky organizace. |
NoInteractive - NE Zobrazit úvodní výběrový formulář. |
ShowBothCurrs - ANO Zobrazit obě měny? |
Sorting - 0 (dokladu) Setřídění dle dokladu, příjmení, osobního čísla nebo částky |
Sumation - 0 (bez součtů) Součty dle periody, pracovníka, srážky nebo střediska |
SuppressName - Ne Ano - skryje jméno, příjmení a osobní číslo pracovníka
|

Seznam závazků z mezd (na šířku)
Číslo procesu: MZD007 |
Ident. č. sestavy: SMZD135 |
Soubor: PLI_SEZ01X.AM |
Popis sestavy: Seznam závazků z mezd (na šířku) setříděný dle zadaného klíče s možností součtů. Součty jsou možné přes periody, pracovníka, srážky, střediska nebo dle analytického účtu. Setřídění podle dokladu, příjmení, osobního čísla nebo částky. Zobrazuje srážku i bankovní účet. |
||
Adresa ve stromu: [Mzdy][Závazky z mezd] |
||
Parametry sestavy:
InCurrency - NE V měně. |
NoInteractive - NE Zobrazit úvodní výběrový formulář. |
ShowBothCurrs - ANO Zobrazit obě měny? |
Sorting - 0 (dokladu) Setřídění dle dokladu, příjmení, osobního čísla nebo částky |
Sumation - 0 (bez součtů) Součty dle periody, pracovníka, srážky nebo střediska |
SuppressName - Ne Ano - skryje jméno, příjmení a osobní číslo pracovníka |

Saldo závazků z mezd - základní informace
Sestava Saldo závazků z mezd (PLI_OpenItemList.AM) zobrazuje k zadanému datu seznam nezaplacených závazků z mezd dle zadaných parametrů, které je možné nastavit ve vstupním formuláři a uložit je jako parametry sestavy pomocí tlačítka Uložit jako parametry sestavy. Výše salda, od které se budou závazky v sestavě zobrazovat, se zadává v poli min. rozdíl.
Pokud před uložením parametrů sestavy zatrhneme pole Nezobrazovat vstupní formulář (parametr sestavy NoInteractive = „ANO"), při dalším spuštění se již nebude zobrazovat úvodní formulář a použijí se uložené parametry. Pro opětovné spuštění úvodního formuláře musíme nastavit parametr sestavy NoInteractive na hodnotu „NE". Sestava umožňuje zobrazit saldo před a po datu splatnosti a zobrazit platby k závazkům, umožňuje považovat bankovní příkaz za platbu.
Saldo závazků z mezd můžeme tisknout:
- ze stromového menu Mzdy/Závazky z mezd nebo Účetnictví/Kontroly zaúčtování,
- z F9 nad knihou Závazky z mezd.
Obr.: Saldo závazků z mezd - Seskupit dle
Sestava umožňuje až tři úrovně seskupení. Seskupení je možné dle Periody, Knihy, Střediska, Způsobu platby, Pracovníka, Dodavatele, Analytického účtu a Lhůty. V případě seskupení dle lhůty je umožněno zadat skupiny lhůt. Implicitně jsou nastaveny "0;30;60;90;180" denní lhůty, můžeme je změnit.

Obr.: Saldo závazků z mezd - Zobrazit
Popis polí:
Saldo před a po datu splatnosti |
Zobrazí závazky se saldem ve lhůtě a se saldem po datu splatnosti. |
Platby |
K zaplaceným závazkům zobrazí číslo dokladu, kterým byla platba provedena, datum zaplacení a částku. |
Bankovní příkazy považovat za platbu |
Po zatržení tohoto pole se budou do plateb zahrnovat i bankovní příkazy. |

Obr.: Saldo závazků z mezd - Nastavení hodnot
Popis polí:
Titulek sestavy |
Umožňuje změnit titulek sestavy. |
Min. rozdíl |
Výše salda, od které se budou závazky v sestavě zobrazovat |
Do data |
Zadáme datum, do kterého se mají salda zobrazit. Jedná se o datum účetního případu. |
Seřadit závazky podle |
Možnost seřazení ve vybraných seskupeních. |
Nezobrazovat vstupní formulář |
Nebude se zobrazovat vstupní formulář, sestava se pustí s nastavenými parametry. |
Saldo závazků z mezd
Číslo procesu: MZD007 |
Ident. č. sestavy: SMZD130 |
Soubor: PLI_OpenItemList.AM |
Popis sestavy: Sestava zobrazuje k zadanému datu seznam nezaplacených závazků z mezd dle zadaných parametrů, které je možné nastavit ve vstupním formuláři a uložit je jako parametry sestavy. |
||
Adresa ve stromu: [Mzdy][Závazky z mezd] |
||
Parametry sestavy:
GroupBy1 - 0 Seskupit podle. |
GroupBy2 - 0 Seskupit podle. |
GroupBy3 - 0 Seskupit podle. |
ListOfTerms - 0;30;60;90;180 Seznam lhůt oddělených ";" |
MinDiff - 0,01 Minimální rozdíl. |
NoInteractive - NE Nezobrazovat vstupní formulář. |
PaidBankOrder - NE Bankovní příkazy považovat za platbu. |
ShowBalanceBefAft - NE Zobrazit saldo před a po datu splatnosti. |
ShowPayments - NE Zobrazit platby. |
SortBy - 0 Setřídění. |
Title - Titulek sestavy. |

Závazky z mezd dle typu srážky
Číslo procesu: MZD007 |
Ident. č. sestavy: SMZD150 |
Soubor: PLI_TypeDed.AM |
Popis sestavy: Seznam závazků z mezd seskupený dle Způsobu platby a poté dle Typu srážky z mezd těchto závazků (zadaný na první straně srážky z mezd v poli Typ srážky). Ve sloupci Částka se zobrazuje celková částka závazků z mezd, ve sloupci Zbývá uhradit se zobrazuje rozdíl mezi Zbývá zaplatit a Uhrazeno = částka, která zatím není na bankovním příkazu. |
||
Adresa ve stromu: [Mzdy][Závazky z mezd] |
||
Parametry sestavy:
|

Mzdy - NEM
Oznámení zaměstnavatele
Číslo procesu: MZD015 |
Ident. číslo sestavy: SMZD105 |
Soubor: SBR_Doc01.AM |
Popis sestavy: Formulář Oznámení zaměstnavatele. Spouští se v knize Oznámení zaměstnavatele (Mzdy - Pracovní vztahy - Oznámení zaměstnavatele - Oznámení zaměstnavatele), která je součástí standardního rozšíření pro Mzdy a Personalistiku.
|
||
Adresa ve stromu: |
||
Parametry sestavy:
ContactPerson Kontaktní pracovník. |
DateFrom - 0.0.0000 Datum vyhotovení od. |
DateTo - 0.0.0000 Datum vyhotovení do. |
NoInteractive - Ne Ano - nezobrazovat vstupní formulář. |
PhoneNumber Telefon. |
Sorting - JM JM - setřídění podle jména; OS - podle osobního čísla. |
ToForm - Ne Ano - do formuláře. |


Příloha k Exekučnímu příkazu, usnesení
Číslo procesu: MZD005 |
Ident. číslo sestavy: SMZD125 |
Soubor: SBR_PrilEx.AM |
Popis sestavy: Sestava je určena pro OSSZ a spouští se z aplikace Oznámení zaměstnání. |
||
Adresa ve stromu: |
||
Parametry sestavy:
AddresseeFromDescription - Ne Ano - Adresát z popisu srážky. Při nastavení na ANO se exekutorský úřad na sestavu načte z pole Popis na srážce. Při nastavení NE se exekutorský úřad načítá z pole Adresát na srážce. |
Bonus - Ne Ano - daňový bonus vstupuje do čistého příjmu |
Centre - Ano Ano - setřídí podle střediska. |
ContactPerson Kontaktní pracovník. |
NoInteractive - Ne Ano - nezobrazí vstupní formulář. |
PhoneNumber Do hodnoty lze uvést telefonní číslo. |
Sorting - JM Setřídění podle JM (jména); OS (osoby). |

Mzdy - HOZ
Hromadné oznámení zaměstnavatele
Číslo procesu: |
Ident. číslo sestavy: |
Soubor: HIN_Form.AM |
Popis sestavy: Formulář Hromadné oznámení zaměstnavatele pro zdravotní pojišťovny. Spouští se v knize Hromadné oznámení zaměstnavatele (Mzdy - Personální údaje - Hromadné oznámení zaměstnavatele - Hromadné oznámení zaměstnavatele), která je součástí standardního rozšíření pro Mzdy a Personalistiku.
Sestava se tiskne dle data Vystavení.
Sestavu ve formátu *.PDF je možné na jednotlivé pojišťovny zaslat emailem nebo datovou schránkou přímo ze sestavy. Pro předvyplnění emailu nebo datové schránky je potřeba mít na srážce z mezd pro jednotlivé pojišťovny vyplněno pole Adresát. Email pro odeslání se poté načítá z pole Email1 na Adresátu a číslo datové schránky se načítá z pole Datová schránka.
Zaslání emailem:
Zaslání datovou schránkou:
|
||
Adresa ve stromu: |
||
Parametry sestavy:
AttachmentFileName - Název souboru pro email. Do parametru je možné zadat název souboru sestavy. Za tento název je vždy programem přidána zkratka ze záznamu Srážky z mezd. |
EditMail - Ne Ano - umožní editovat maily. |
Phone - telefon Pokud parametr není zadán, bere se telefon z knihy Uživatelé - 1. strana. |
Subject - Předmět emailu |
Text - text emailové zprávy |

Mzdy - HZUPN
Hlášení zaměstnavatele při ukončení pracovní neschopnosti
Číslo procesu: |
Ident. číslo sestavy: SMZD105 |
Soubor: STN_Doc01.AM |
Popis sestavy: Sestava se spouští nad knihou Hlášení zaměstnavatele při ukončení pracovní neschopnosti. Je také součástí standardního rozšíření pro Mzdy a Personalistiku.
|
||
Adresa ve stromu: |
||
Parametry sestavy:
DateFrom - 0.0.0000 Datum vyhotovení od. |
DateTo - 0.0.0000 Datum vyhotovení do. |
NoInteractive - Ne Ano - nezobrazovat vstupní formulář. |
Sorting - JM JM - setřídění podle jména; OS - podle osobního čísla. |
ToForm - Ne Ano - do formuláře. |

MZDY - ONZ
Oznámení o nástupu do zaměstnání
Číslo procesu: |
Ident. číslo sestavy: |
Soubor: SIN_Form.AM |
Popis sestavy: Sestava pro Oznámení o nástupu do zaměstnání. Spouští se v knize Oznámení o nástupu do zaměstnání (Mzdy - Pracovní vztahy - Oznámení o nástupu do zaměstnání - Oznámení o nástupu do zaměstnání), která je součástí standardního rozšíření pro Mzdy a Personalistiku.
Sestava se tiskne dle data Vystavení.
|
||
Adresa ve stromu: |
||
Parametry sestavy:
ToForm - Ne Ano - do formuláře. |


Mzdy - ELDP
Evidenční list důchodového pojištění
Číslo procesu: MZD010 |
Ident. číslo sestavy: SMZD095 |
Soubor: PIR_Doc01.AM |
Popis sestavy: Sestava zobrazuje údaje posílané na ČSSZ. Slouží k napočtení odpracované doby pro důchod. Evidenční listy je možné zaměstnancům zasílat také elektronicky, podobně jako výplatní lístky. Evidenční list je možné při zasílání také zaheslovat. Při posílání zaheslovaného evidenčního listu ve formátu *.pdf je potřeba nastavit parametr CryptPdfFile na hodnotu "Ano". Evideční list bude poslán ve formátu *.pdf, ale pro otevření bude potřeba zadat heslo (heslo z první strany personální karty nebo druhou část rodného čísla, pokud není zadáno heslo). Do parametrů "Text","Subject" a "AttachmentFileName" lze zadat v hranatých závorkách pole datového modulu (se středníkem i přes vazbu) a jeho hodnota se poté použije v zaslaném emailu. Např. Pokud je do paramatru "Subject" vepsáno: ELDP [Ps_SName], pak předmět příchozího emailu bude: ELDP + příjmení pracovníka.
|
||
Adresa ve stromu: |
||
Parametry sestavy:
AdditionalFile - Cesta k souboru s přílohou emailu Parametr umožňuje odeslat spolu s výplatním lístkem i další přiložený soubor, který je stejný pro všechny odesílané emaily. |
AttachmentFileName - Název souboru pro email. Do parametru je možné zadat název souboru výplatního lístku. Za tento název je vždy programem přidáno interní číslo pracovníka (spodní podtržítko a interní číslo pracovníka). |
Centre - Ano Ano - setřídění podle střediska. |
CryptPdfFile - Ne Ano - Zaheslovat posílaný evidenční list. Heslo je vyžadováno nejen při posílání emailem, ale také při exportu do *.pdf. Pro export bez hesla je potřeba mít parametr na Ne. |
DateFrom - 0.0.0000 Datum od. |
DateTo - 0.0.0000 Datum do. |
EditMail - Ne Ano - umožní editovat maily. |
LeftShift - 0 Odsazení zleva. |
NoInteractive - Ne Ano - nezobrazí vstupní formulář. |
Picture path Cesta k podkladovému obrázku. |
Sign - @Vyst;;; - implicitní hodnota parametru
Další možné hodnoty parametru:
@akt - kdo je akt. přihlášen Parametr má 5 pozic: 1. pozice určuje osobu, jejíž podpis se má zobrazit. Může jít o obrázek pojmenovaný dle Logname uživatele, který doklad vystavil (@Vyst) nebo doklad tiskne - tedy dle aktuálního přihlášení (@akt), nebo konkrétní Logname.
Implicitně se bere hodnota zadaná v poli Razítko v Nastavení vlastních firem. Zde se zadá cesta a název souboru. Cestu lze zadat pomocí aliasu. Místo konkrétního názvu souboru lze zadat %s. Pak se bere razítko uživatele nastaveného v parametru Sign (implicitně @Vyst - tedy ten, kdo ELDP vyhotovil.) Obrázek musí být vždy ve formátu xxx.png. Pokud není vyplněna cesta v Nastavení vlastních firem, pak se hledá soubor v adresáři Pictures dle zadaného parametru Sign.
Příklad zadání v poli Razítko v Nastavení vlastních firem: pomocí alias: k2*DEMO\Pictures\razitko.png (hledá se obrázek v cestě mandanta. Soubor razitko.png v adresáři Pictures) pomocí %s: k2*DEMO\Razitka\%s.png (takto zadaná hodnota umožní zobrazit bitmapy s podpisem všem uživatelům, kteří mohou být zadáni v parametri Sign a mají soubor ve formátu PNG v adresáři (v tomto případě uživatelem vytvořený adresář Razitka).
2. pozice: výška obrázku (udává o kolik bodů se má zvětšit výchozí výška obrázku) 3. pozice: vzdálenost od levého okraje. 4. pozice: vzdálenost obrázku od horního okraje dané sekce. 5. pozice: šířka obrázku (udává o kolik bodů se má zvětšit výchozí šířka obrázku)
Příklad: (Sign - @akt;27;47;0;83) Tiskne podpis aktuálně přihlášeného uživatele, jehož výchozí pozice je: zvětšená o 27 bodů na výšku, odsazená zleva navíc o 47 bodů. Šířka obrázku je zvětšená o 83 bodů.
Pokud je parametr nastavený na hodnotu 0, pak se razítko nezobrazí. |
Printing - Ne Ano - tiskne více eldp na jednu stránku. |
Sorting - JM Setřídění podle RP (rodného příjmení); JM (jméno); OS (osobní číslo) nebo RČ (rodné číslo). |
Subject - Předmět emailu |
Text - text emailové zprávy. |
ToForm - Ne Ano - do formuláře; Ne - do podkladového obrázku. |
TopShift - 0 Odsazení shora. |
AdressShow - Ne Ano - Zobrazení poštovní adresy zaměstnance ve spodní části formuláře, jedná se vždy o adresu trvalého bydliště, uvedenou v Personálních údajích. |
AdressFromELDP - Ne Ano - Zobrazení poštovní adresy zaměstnance uvedené na ELDP, současně musí být parametr AdressShow nastaven na hodnotu ANO. |
AdressTopShift Posun vertikální. |
AdressLeftShift Posun horizontální. |

Evidenční list důchodového pojištění - seznam
Číslo procesu: MZD010 |
Ident. číslo sestavy: SMZD146 |
Soubor: PIR_List01.AM |
Popis sestavy: Sestava zobrazuje seznam evidenčních listů důchodového pojištění. |
||
Adresa ve stromu: |
||
Parametry sestavy:
DateFrom - 0.0.0000 Datum vyhotovení od. |
DateTo - 0.0.0000 Datum vyhotovení do. |
NoInteractive - Ne Ano - nezobrazí vstupní formulář. |
Sorting - JM Setřídění podle JM (jméno); OS (osobní číslo) |
Year - Rok |

Organizační struktura
Organizační struktura
Číslo procesu: CIS011 |
Ident. číslo sestavy: SORG001 |
Soubor: ORG_LIST01.AM |
Popis sestavy: Sestava zobrazující stromovou hierarchii organizačních jednotek včetně plánovaného počtu pracovníků, obsazených pracovníků, jejich osobních čísel a úvazků.
|
||
Adresa ve stromu: |
||
Parametry sestavy:
Date -K datu Implicitně aktuální datum. Ovlivňuje zobrazené pracovníky v sestavě. Posuzují se data Platnost Od a Platnost do u Obsazených pracovníků. |
LogoPictureHeader - Cesta k logu pro hlavičku sestavy. Pokud není vyplněna, pak se hodnota bere ze správy vlastních firem. Při zadání hodnoty "0" - místo pro logo bude prázdné, při zadání hodnoty "1" - sestava bez loga se posune k hornímu okraji.
|
RecordNo - Pořadí organizační jednotky k tisku struktury Do parametru je možné zadat číslo z pole RecordNo na organizační jednotce. V sestavě se poté tiskne tato organizační jednotka a jí podřízené. |
ShowCostCentre - Ne - Zobrazit středisko Ano - Před názvem pozice se zobrazí také popis střediska. |

Organizační struktura
Číslo procesu: CIS011 |
Ident. číslo sestavy: SORG003 |
Soubor: ORG_LIST01X.AM |
Popis sestavy: Sestava zobrazující stromovou hierarchii organizačních jednotek včetně plánovaného počtu pracovníků, obsazených pracovníků, jejich osobních čísel a úvazků. Sestav se tiskne na šířku.
|
||
Adresa ve stromu: |
||
Parametry sestavy:
Date -K datu Implicitně aktuální datum. Ovlivňuje zobrazené pracovníky v sestavě. Posuzují se data Platnost Od a Platnost do u Obsazených pracovníků. |
LogoPictureHeader - Cesta k logu pro hlavičku sestavy. Pokud není vyplněna, pak se hodnota bere ze správy vlastních firem. Při zadání hodnoty "0" - místo pro logo bude prázdné, při zadání hodnoty "1" - sestava bez loga se posune k hornímu okraji.
|
RecordNo - Pořadí organizační jednotky k tisku struktury Do parametru je možné zadat číslo z pole RecordNo na organizační jednotce. V sestavě se poté tiskne tato organizační jednotka a jí podřízené. |
ShowCostCentre - Ne - Zobrazit středisko Ano - Před názvem pozice se zobrazí také popis střediska.
|

Organizační struktura - strom
Číslo procesu: CIS011 |
Ident. číslo sestavy: SORG002 |
Soubor: ORG_LIST02.AM |
Popis sestavy: Sestava zobrazující stromovou hierarchii organizačních jednotek včetně obsazených pracovníků. |
||
Adresa ve stromu: |
||
Parametry sestavy:
Date -K datu Implicitně aktuální datum. Ovlivňuje zobrazené pracovníky v sestavě. Posuzují se data Platnost Od a Platnost do u Obsazených pracovníků. |
Height - Výška V případě dlouhých názvů pozic se název zalomí na druhý řádek, ale zobrazovací čáry je potřeba prodloužit parametrem Height dle potřeby. Implicitní hodnota je 5,3 , takže při zalomení řádků (názvů pozic) je potřeba nastavit hodnotu vyšší, tak ať je sestava správně vykreslená.
|
ShowCostCentre - Ne - Zobrazit středisko Ano - Před názvem pozice se zobrazí také popis střediska. |
RecordNo - Pořadí organizační jednotky k tisku struktury Do parametru je možné zadat číslo z pole RecordNo na organizační jednotce. V sestavě se poté tiskne tato organizační jednotka a jí podřízené. |
SuppressEmployeess - Potlačit obsazené pracovníky Implicitně nastaven na "NE". Při nastavení na "ANO" se tisknou jen názvy organizačních jednotek bez obsazených pracovníků. |

Organizační struktura - strom
Číslo procesu: CIS011 |
Ident. číslo sestavy: SORG004 |
Soubor: ORG_LIST02X.AM |
Popis sestavy: Sestava zobrazující stromovou hierarchii organizačních jednotek včetně obsazených pracovníků. Sestava se tiskne na šířku. |
||
Adresa ve stromu: |
||
Parametry sestavy:
Date -K datu Implicitně aktuální datum. Ovlivňuje zobrazené pracovníky v sestavě. Posuzují se data Platnost Od a Platnost do u Obsazených pracovníků. |
Height - Výška V případě dlouhých názvů pozic se název zalomí na druhý řádek, ale zobrazovací čáry je potřeba prodloužit parametrem Height dle potřeby. Implicitní hodnota je 5,3 , takže při zalomení řádků (názvů pozic) je potřeba nastavit hodnotu vyšší, tak ať je sestava správně vykreslená.
|
ShowCostCentre - Ne - Zobrazit středisko Ano - Před názvem pozice se zobrazí také popis střediska. |
RecordNo - Pořadí organizační jednotky k tisku struktury Do parametru je možné zadat číslo z pole RecordNo na organizační jednotce. V sestavě se poté tiskne tato organizační jednotka a jí podřízené. |
SuppressEmployeess - Potlačit obsazené pracovníky Implicitně nastaven na "NE". Při nastavení na "ANO" se tisknou jen názvy organizačních jednotek bez obsazených pracovníků. |

Docházkový systém
Pracovní list
Číslo procesu: |
Ident. číslo sestavy: |
Soubor: ATTWTR_Doc01.AM |
Popis sestavy: Pracovní list zaměstnance tištěný na výšku. Zaměstnancům jde zaslat emailem podobně jako Výplatní lístek. Emailová adresa pro zasílání se bere z personální karty, pokud je propojena s kontaktní osobou, pokud není, pak se vezme z pole EMAIL na kontaktní osobě. Pro zaměstance je možné jej zaheslovat.
Do parametrů "Text","Subject" a "AttachmentFileName" lze zadat v hranatých závorkách pole datového modulu (se středníkem i přes vazbu) a jeho hodnota se poté použije v zaslaném emailu. Např. Pokud je do parametru "Text" vepsáno: Pracovní list za období [PayrollPeriodId;Abbr], pak v textu příchozího emailu bude text : Pracovní list za období 2022/06.
|
||
Adresa ve stromu: |
||
Parametry sestavy:
AttachmentFileName - Název souboru pro email |
CryptPdfFile - Ne Ano - Zaheslovat posílaný pdf soubor |
EditEmail - Ne Ano - Editovat exportované emaily |
Subject - Předmět emailu |
Text - text emailu |

Pracovní list
Číslo procesu: |
Ident. číslo sestavy: |
Soubor: ATTWTR_Doc02.AM |
Popis sestavy: Pracovní list zaměstnance tištěný na šířku. |
||
Adresa ve stromu: |
||
Parametry sestavy:
|







