Účetnictví
DPH
Formulář Přiznání k DPH
Číslo procesu: UCT005 |
Ident. číslo sestavy: SUCT307 |
Soubor: VATD_FORM01.AM |
Popis sestavy: Zobrazí formulář Přiznání k dani z přidané hodnoty s napočtenými údaji. |
||
Adresa ve stromu: [Účetnictví] [DPH]_[DPH] |
||
Parametry sestavy:
ListForGroup - Ne Ano - přiznání za skupinu. |
PrintDate - 0.0.0000 Datum tisku. |
ToForm Ano - tiskne do originálního formuláře DPH. |


Rekapitulace daňových dokladů
Číslo procesu: UCT005 |
Ident. číslo sestavy: SUCT308 |
Soubor: VATD_RECAP01.AM |
Popis sestavy: Zobrazí rekapitulaci daňových dokladů setříděnou podle vstupů a výstupů a následně dle typů daně. |
||
Adresa ve stromu: [Účetnictví] [DPH]_[DPH] |
||
Parametry sestavy:
ByMonth - Ne Ano - za jednotlivé měsíce. |
ByMonthSumOnly - Ne Ano - za jednotlivé měsíce (pouze sumy). |
IgnoredTypeOfTaxForSum - MA, MK Typy daní, které se nezapočítávají do závěrečné rekapitulace Celkem za přiznání. |
IgnoreTypeOfTax - Ignoruje vybrané typy daní (jednotlivé typy daní je potřeba oddělit středníkem). |
ListForGroup - Ne Ano - přiznání za skupinu. |
OnlyTypeOfDocs - V rekapitulaci zobrazit jen vybrané typy dokladů (např. "VF;PF;PO"). |
ShowNoVatDetails - Ano Ano - zobrazí detaily dokladů bez daně. |

Soupis daňových dokladů
Číslo procesu: UCT005 |
Ident. číslo sestavy: SUCT311 |
Soubor: VATD_SEZ01.AM |
Popis sestavy: Zobrazí soupis daňových dokladů. Pokud jsou vyplněny parametry BasicRate a DecreaseRate, hodnota těchto parametrů má přednost před implicitními hodnotami definovanými v sestavě. |
||
Adresa ve stromu: [Účetnictví] [DPH]_[DPH] |
||
Parametry sestavy:
BasicRate - 0 Základní sazba. |
ByMonth - Ne Ano - za jednotlivé měsíce. |
DecreasedRate - 0 Snížená sazba. |
HideTypeOfTax Skrýt detail (doklady) s vyjmenovanými typy daní (typy daní se oddělují středníkem). |
InputText - 0 Snížená sazba. |
ListByRowID - Ne Ano - setřídění dle řádků přiznání. |
ListByTaxID - Ne Ano - setřídění podle DIČ. Pokud je nastaven parametr ShowTaxNumber = Ano, pak setřídí podle daňového čísla (vhodné pro slovenské K2, ve kterých se do pole Daňové číslo eviduje IČ DPH). |
ListForGroup - Ne Ano - přiznání za skupinu. |
ObjectDataPath |
OutputText - Alternativní text pro výstupy. |
RowID - Zadá se číslo řádku přiznání k DPH, který se má v sestavě zobrazit. Pokud se má zobrazit více řádků, je potřeba čísla řádků oddělit středníkem. Parametr je implicitně prázdný (zobrazí se tedy všechny řádky). |
ShowAccDate - Ne Ano - u dokladů, které mají různé Datum úč. případu a Datum UZP, se zobrazí další řádek s Datem úč. případu. Parametr není funkční na importovaném dokladu DPH. |
ShowDocItems - Ne Ano - pokud stejná sazba a typ daně, pak se položky neseskupí, ale zobrazí se stejně jako na 2.straně dokladu DPH (typicky u pokladních dokladů). |
ShowMoreColumns - Ne Ano - zobrazí více sloupců pro sazby (určeno pro polské DPH). |
ShowRegPos - Ne Ano - zobrazí pozice registru (určeno pro polské DPH). |
ShowTaxID - Ano Ano - zobrazit DIČ. |
ShowTaxNumber - Ne Ano - zobrazit daňové číslo. |
ShowUE - Ne Ano - zobrazí informaci o plnění v rámci EU (určeno pro polské DPH). |
SuppressBookSum - Ne Ano - potlačit součty. |
ZeroRate - 0 Nulová sazba. |

Soupis dokladů kontrolního hlášení
Číslo procesu: UCT005 |
Id. číslo sestavy: SUCT340 |
Soubor: VATD_KHCZ_List01.AM |
Popis sestavy: Sestavu lze spustit ze skriptu Kontrolní hlášení, zobrazí doklady, zařazené do jednotlivých sekcí kontrolního hlášení. V sekcích A5 a B3 se u dokladů, na kterých je součet za Ev. číslo dokladu, Dodavatele / Odběratele a DUZP větší než 10.000 Kč, zobrazuje vykřičník. |
||
Adresa ve stromu: |
||
Parametry sestavy:
ByExtNo - Ne Ne - v sestavě Soupis dokladů kontrolního hlášení se doklady v rámci sekcí setřídí podle Dokladu K2; Ano - doklady se setřídí podle Evidenčního čísla dokladu. |
SaleRefNo - Ne Ano - pro doklady prodeje se jako evidenční číslo dokladu do kontrolního hlášení použije variabilní symbol; Ne - pro doklady prodeje se jako evidenční číslo dokladu do kontrolního hlášení použije Kniha/Období/Číslo. |

Kontrolní hlášení
Číslo procesu: UCT005 |
Id. číslo sestavy: SUCT341 |
Soubor: VATD_KHCZ_Doc01.AM |
Popis sestavy: Sestavu lze spustit ze skriptu Kontrolní hlášení, zobrazí hodnoty kontrolního hlášení. |
||
Adresa ve stromu: |
||
Parametry sestavy:
ByExtNo - Ne Ne - v sestavě Kontrolní hlášení se doklady v rámci sekcí setřídí podle Dokladu K2; Ano - doklady se setřídí podle Evidenčního čísla dokladu. |

Příloha Oprava výše daně - insolvenční řízení
Číslo procesu: UCT005 |
Ident. č. sestavy: SUCT313 |
Soubor: FAV_VAT_IN.AM |
Popis sestavy: Příloha k daňovému přiznání, kterou předkládá věřitel, který provádí opravu výše daně. |
||
Adresa ve stromu:[Účetnictví][DPH][DPH] |
||
Parametry sestavy:
InvoiceDateFrom - 0.0.0000 Datum od. |
InvoiceDateTo - 0.0.0000 Datum do. |
NoInteractive - Ne Ano - nezobrazí vstupní formulář. |
TaxPeriod Zdaňovací období. |
TaxType - IN Typ daně. |
UseFilter - Ne Ano - zpracovat faktury vydané z kontejneru. |
UseSelection - Ne Ano - zpracovat faktury vydané ve filtru. |

Kontrola částek DPH
Číslo procesu: UCT005 |
Ident. číslo sestavy: SUCT312 |
Soubor: VATD_SEZ03.AM |
Popis sestavy: Sestava kontroluje, zda částka DPH na prvotním dokladu odpovídá sazbě daně. Pokud je na faktuře zatrženo "Výpočet DPH shora" nebo na pokladním dokladu je zatrženo "Nezaokrouhlovat", částka DPH se počítá brutto koeficientem (u dokladu je pak v sloupci "DPH shora" hodnota Ano). |
||
Adresa ve stromu: |
||
Parametry sestavy:
MinDiffPercent - 0,01 Minimální rozdíl v procentech. |

Doklady s Datem úč. případu a UZP v různém období
Číslo procesu: UCT033 |
Ident. č. sestavy: SUCT322 |
Soubor: PF_SEZ10.AM |
Popis sestavy: Po spuštění sestavy se zadá kontrolované období. V 1. části sestavy se zobrazí doklady, které mají Datum úč. případu a nemají Datum UZP ve zvoleném období a jsou zaúčtovány na účet zadaný v parametru VatAccount. V 2. části se zobrazí doklady, které nemají Datum úč. případu a mají Datum UZP v období (a jsou zaúčtované na příslušný účet). V 3. části se zobrazí rekapitulace za jednotlivé analytické účty a vyčíslí se Rozdíl mezi částí 1 a 2. Tento Rozdíl představuje rozdíl mezi částkou DPH v účetnictví a v Přiznání k DPH. Prvotní doklady, zobrazené v sestavě, se vloží do kontejneru. Pokud se sestava spustí nad kontejnerem dokladů (parametr EvaluationFilter = Ano), kontejner dokladů se neaktualizuje. |
||
Adresa ve stromu: [Účetnictví] [DPH] [DPH] |
||
Parametry sestavy:
DateFrom - 0. Datum od. |
DateTo - 0. Datum do. |
VatAccount - 343. Účty, které se zobrazí v sestavě. |

Doklady, které nevstoupily do výpočtu DPH
Číslo procesu: UCT005 |
Ident. číslo sestavy: SUCT353 |
Soubor: VATD_check.AM |
Popis sestavy: Sestava zobrazí doklady, které mají Datum UZP v kontrolovaném období a nejsou načteny do žádného dokladu DPH. Kontrolují se faktury, zaplacené zálohy, ostatní pohledávky a závazky, pokladní doklady s položkami typu Příjem a Výdej a interní doklady s položkami typu Výstup a Vstup. Do parametrů Ignore... lze zadat zkratky knih (oddělené středníkem), které se nemají kontrolovat. |
||
Adresa ve stromu: [Účetnictví] [DPH]_[DPH] |
||
Parametry sestavy:
DateFrom - Začátek minulého měsíce Datum od pro kontrolu. |
DateTo - Konec minulého měsíce Datum do pro kontrolu |
IgnoreBooksOfInternalDocuments - Ignoruje knihy Interních dokladů |
IgnoreBooksOfOtherLiabilities - Ignoruje knihy Ostatních závazků |
IgnoreBooksOfOtherReceivables - Ignoruje knihy Ostatních pohledávek |
IgnoreBooksOfPurchase - Ignoruje knihy Nákupu |
IgnoreBooksOfSale - Ignoruje knihy prodeje |
IgnoreCashRegisters - Ignoruje knihy Pokladních dokladů |

Souhrnné hlášení - výpis
Číslo procesu: UCT023 |
Ident. číslo sestavy: SUCT310 |
Soubor: VATD_SUMMARYREPORTROWS.AM |
Popis sestavy: Výpis jednotlivých položek souhrnného hlášení. |
||
Adresa ve stromu: [Účetnictví] [DPH]_[Souhrnné hlášení] |
||
Parametry sestavy:
Bez parametrů. |

Souhrnné hlášení - Soupis dokladů
Číslo procesu: UCT023 |
Ident. číslo sestavy: SUCT309 |
Soubor: VATD_SEZ02.AM |
Popis sestavy: Zobrazí soupis dokladů souhrnného hlášení. |
||
Adresa ve stromu: [Účetnictví] [DPH]_[Souhrnné hlášení] |
||
Parametry sestavy:
Viz parametry sestavy Soupis daňových dokladů.

One Stop Shop
One Stop Shop – Režim EU
Číslo procesu: UCT039 |
Id. číslo sestavy: SUCT347 |
Soubor: OSS_VatReturn_EUScheme.AM |
Popis sestavy: Sestavu lze spustit ze skriptu Přiznání k DPH OSS – Režim EU a zobrazí hodnoty přiznání k DPH pro příslušný režim OSS. |
||
Adresa ve stromu: |
||
Parametry sestavy:
Bez parametrů.
|

OSS – Režim EU – Soupis dokladů
Číslo procesu: UCT039 |
Ident. číslo sestavy: SUCT348 |
Soubor: OSS_EUSchemeDocuments.AM |
Popis sestavy: Zobrazí soupis dokladů, které vstupují do Přiznání k DPH OSS - Režim EU. Sestavu lze spustit ze skriptu Přiznání k DPH OSS – Režim EU. |
||
Adresa ve stromu: |
||
Parametry sestavy:
Bez parametrů.
|

One Stop Shop – Dovozní režim
Číslo procesu: UCT039 |
Id. číslo sestavy: SUCT349 |
Soubor: OSS_VatReturn_ImportScheme.AM |
Popis sestavy: Sestavu lze spustit ze skriptu Přiznání k DPH OSS – Dovozní režim a zobrazí hodnoty přiznání k DPH pro příslušný režim OSS. |
||
Adresa ve stromu: |
||
Parametry sestavy:
Bez parametrů.
|

OSS – Dovozní režim – Soupis dokladů
Číslo procesu: UCT039 |
Ident. číslo sestavy: SUCT350 |
Soubor: OSS_ImportSchemeDocuments.AM |
Popis sestavy: Zobrazí soupis dokladů, které vstupují do Přiznání k DPH OSS - Dovozní režim. Sestavu lze spustit ze skriptu Přiznání k DPH OSS – Dovozní režim. |
||
Adresa ve stromu: |
||
Parametry sestavy:
Bez parametrů.
|

One Stop Shop – Režim mimo EU
Číslo procesu: UCT039 |
Id. číslo sestavy: SUCT351 |
Soubor: OSS_VatReturn_NonEUScheme.AM |
Popis sestavy: Sestavu lze spustit ze skriptu Přiznání k DPH OSS – Režim mimo EU a zobrazí hodnoty přiznání k DPH pro příslušný režim OSS. |
||
Adresa ve stromu: |
||
Parametry sestavy:
Bez parametrů.
|

OSS – Režim mimo EU – Soupis dokladů
Číslo procesu: UCT039 |
Ident. číslo sestavy: SUCT352 |
Soubor: OSS_NonEUSchemeDocuments.AM |
Popis sestavy: Zobrazí soupis dokladů, které vstupují do Přiznání k DPH OSS - Režim mimo EU. Sestavu lze spustit ze skriptu Přiznání k DPH OSS – Režim mimo EU. |
||
Adresa ve stromu: |
||
Parametry sestavy:
Bez parametrů.
|

Interní doklady
Interní doklad
Číslo procesu: UCT034 |
Ident. č. sestavy: SUCT328 |
Soubor: INT_DOC01.AM |
Popis sestavy: Sestava zobrazí interní doklad. |
||
Adresa ve stromu: [Účetnictví] [Interní doklady] [Tisk dokladů] |
||
Parametry sestavy:
Assignement - Ne Ano - zobrazí zaúčtování dokladů. |
Axes - Ne Ano - Zobrazí podpůrné analytiky (středisko, kód zakázky, zboží, kód1 a 2, Referenta, Zákazník, Párovací s.), pokud jsou zadané. |
BusinessRegister - 1 Zobrazí se informace o obchodním rejstříku z Nastavení vlastních firem. 0 – nezobrazí informace o obchodním rejstříku, 1 – zobrazí maximálně dvouřádkový text o obchodním rejstříku, 2 – zobrazí maximálně čtyřřádkový text o obchodním rejstříku. |
Contacts - 1;Addr;TaxNum;Tel1;Fax1;Email1;WWW 1. pozice: uživatel, jehož kontakty z karty uživatele (telefon, mobil, fax, email) se tisknou. Možnosti: 0 - žádné uživatelské kontakty, 1 - uživatel, který doklad vystavil, 2 - aktuálně přihlášený uživatel - který doklad tiskne. 2. pozice: "Addr" - je-li zadáno, pak se zobrazí adresa firmy. 3. pozice: "TaxNum" - je-li zadáno, pak se zobrazí IČO a DIČ. 4. - 10. pozice: vyjmenované typy elektronických adres vlastní firmy (tzn. může jich být až 7). Příklad: (Contacts - 1;Addr;;TEL1;FAX1;WWW1): Zobrazí se Adresa firmy, pod ní kontakty z karty uživatele, který doklad vystavil, (daňová čísla jsou vynechána prázdným stringem 3. pozici) následují elektronické adresy s typem Tel1, Fax1, WWW1. |
Description - Ne Ano - zobrazí Popis. |
DraftLabel - Ano Ano - zobrazí NÁVRH, pokud je doklad nepotvrzený; Ne - NÁVRH se nezobrazí. |
K2Info - Ano Ano - Zobrazí informativní text o dokladu vystaveném systémem K2. |
LeftShift - 5 O kolik se posune okraj doleva. |
LogoPictureFooter Název souboru zobrazující logo patičky. Pokud je parametr prázdný, zobrazí logo podle nastavení parametru Obrázek v patičce ve funkci Správce - nastavení vlastních firem. |
LogoPictureHeader Název souboru zobrazující logo hlavičky. Pokud je parametr prázdný, zobrazí logo podle nastavení parametru Obrázek v hlavičce ve funkci Správce - nastavení vlastních firem. |
ShowBothCurrs - Ne Ano - zobrazí položku i v měně firmy; Ne - položky jen v měně dokladu. |
ShowTypeOfTax - Ano U položek typ vstup/výstup se zobrazí Typ daně. |
Sum - Ano Ano - zobrazí se částky celkem; Ne - částky celkem se nezobrazí. |
SupplFromCustom - Zobrazí typ dodatku, vložený na kartu zákazníka. |
Title Titul sestavy. Lze si zvolit libovolný text. |

Interní doklad - Insolvence
Číslo procesu: UCT034 |
Ident. č. sestavy: SUCT331 |
Soubor: INT_DOC02.AM |
Popis sestavy: Sestava zobrazí insolvenční doklad. |
||
Adresa ve stromu: |
||
Parametry sestavy:
Axes - Ne Ano - Zobrazí podpůrné analytiky (středisko, kód zakázky, zboží, kód1 a 2, Referenta, Zákazník, Párovací s.), pokud jsou zadané. |
DisplayAssignement - Ne Ano - zobrazí zaúčtování interního dokladu. |
DisplayContactsFrom - 0 |
ExistAddress - Ne Ne - dodavatelská adresa není součásti loga (hlavičkového papíru), proto se zobrazí; Ano - adresu nezobrazí. |
ExistICOandDIC - Ne Ne - IČO A DIČ není součásti loga (hlavičkového papíru), proto se zobrazí; Ano - nezobrazí. |
ExistOR - Ne Ne - informace o obchod. rejstříku není součást loga (hlavič. papíru), proto se zobrazí; Ano - nezobrazí. |
ExistTelFax - Ne Ne - telefon a fax není součásti loga (hlav. papíru), proto se zobrazí; Ano - nezobrazí. |
Insolvence - 1 1 - pod daňovou rekapitulaci tiskne text podle insolvenčního řízení par. 44/1, 2 - pod daňovou rekapitulaci tiskne text podle par. 44/6. |
K2Info - Ano Ano - Zobrazí informativní text o dokladu vystaveném systémem K2. |
LogoPictureFooter Název souboru zobrazující logo patičky. Pokud je parametr prázdný, zobrazí logo podle nastavení parametru Obrázek v patičce ve funkci Správce - nastavení vlastních firem. |
LogoPictureHeader Název souboru zobrazující logo hlavičky. Pokud je parametr prázdný, zobrazí logo podle nastavení parametru Obrázek v hlavičce ve funkci Správce - nastavení vlastních firem. |
ProportionalFont - Ne Ano - dodatky se tisknou fontem typu Verdana. Ne - dodatky se tisknou fontem Courier New. |
ShowContacts - KU Zkratka dodatku zobrazující další kontaktní údaje z Parametrů mandanta. |
ShowDescription - Ne Ano - zobrazí popis |
ShowDraftLabel - Ano Ano - zobrazí NÁVRH, pokud je doklad nepotvrzený; Ne - NÁVRH se nezobrazí. |
ShowLogoFooter - Ano Ano - zobrazí logo v patičce. |
ShowLogoHeader - Ano Ano - zobrazí logo v hlavičce. |
ShowSender - Ne Ne - nezobrazí adresu odesílatele v okénku pro obálku; Ano - adresu zobrazí. |
Title Titul sestavy. Lze si zvolit libovolný text. |

Oprava základu daně - nedobytné pohledávky
Číslo procesu: |
Ident. č. sestavy: SUCT346 |
Soubor: INT_DOC04.AM |
Popis sestavy: Sestava vytiskne Opravný daňový doklad v případě nedobytných pohledávek. |
||
Adresa ve stromu: |
||
Parametry sestavy:
Assignement - Ne Ano - zobrazí zaúčtování interního dokladu. |
Axes - Ne Ano - Zobrazí podpůrné analytiky (středisko, kód zakázky, zboží, kód1 a 2, Referenta, Zákazník, Párovací s.), pokud jsou zadané. |
BusinessRegister - 1 Zobrazí se informace o obchodním rejstříku z Nastavení vlastních firem. 0 – nezobrazí informace o obchodním rejstříku, 1 – zobrazí maximálně dvouřádkový text o obchodním rejstříku, 2 – zobrazí maximálně čtyřřádkový text o obchodním rejstříku. |
Contacts - Ne Vícehodnotový parametr pro zobrazení kontaktů (viz. manuál). |
DisplayContactsFrom - 0 |
Insolvence - 1 1 - pod daňovou rekapitulaci tiskne text podle insolvenčního řízení par. 44/1, 2 - pod daňovou rekapitulaci tiskne text podle par. 44/6. |
K2Info - Ano Ano - Zobrazí informativní text o dokladu vystaveném systémem K2. |
LogoPictureFooter Název souboru zobrazující logo patičky. Pokud je parametr prázdný, zobrazí logo podle nastavení parametru Obrázek v patičce ve funkci Správce - Systém - Správa vlastních firem. |
LogoPictureHeader Název souboru zobrazující logo hlavičky. Pokud je parametr prázdný, zobrazí logo podle nastavení parametru Obrázek v hlavičce ve funkci Správce - Systém - Správa vlastních firem. |
ProportionalFont - Ne Ano - dodatky se tisknou fontem typu Verdana. Ne - dodatky se tisknou fontem Courier New. |
ShowBothCurrs - Ne Ano - zobrazí položku i v měně vlastní firmy; Ne - položky jen v měně dokladu. |
ShowContacts - KU Zkratka dodatku zobrazující další kontaktní údaje z Parametrů mandanta. |
ShowDraftLabel - Ano Ano - zobrazí NÁVRH, pokud je doklad nepotvrzený; Ne - NÁVRH se nezobrazí. |
ShowLogoFooter - Ano Ano - zobrazí logo v patičce. |
ShowLogoHeader - Ano Ano - zobrazí logo v hlavičce. |
Title Titul sestavy. Lze si zvolit libovolný text. |

Přecenění závazků a pohledávek k RD
Číslo procesu: UCT022 |
Ident. č. sestavy: SUCT336 |
Soubor: INT_OVERRATE.AM |
Popis sestavy: Zobrazí interní doklady vzniklé z přecenění závazků a pohledávek k rozvahovému dni. |
||
Adresa ve stromu:[Účetnictví][Přecenění k rozvahovému dni][Přecenění závazků a pohledávek] |
||
Parametry sestavy:
bez parametrů |

Seznam interních dokladů
Číslo procesu: UCT034 |
Ident. č. sestavy: SUCT329 |
Soubor: INT_SEZ01.AM |
Popis sestavy: Sestava zobrazí seznam interních dokladů. |
||
Adresa ve stromu: [Účetnictví] [Interní doklady] [Tisk dokladů] |
||
Parametry sestavy:
NoInteractive - Ano Ano - Nezobrazí úvodní formulář; Ne - Zobrazí úvodní formulář s možností setřídění dle parametru ReportID. |
ReportID - 0 Seskupení dokladů podle: 0 - číslo dokladu, 1 - datum vystavení, 2 - podle měny, 3 - podle brutta |
ShowBothCurrs - Ano Ano - Zobrazí doklad i v měně firmy, Ne - Zobrazí doklad jen v měně dokladu. |

Výpis interních dokladů
Číslo procesu: UCT034 |
Ident. č. sestavy: SUCT330 |
Soubor: INT_VYP01.AM |
Popis sestavy: Sestava zobrazí výpis interních dokladů. |
||
Adresa ve stromu: [Účetnictví] [Interní doklady] [Tisk dokladů] |
||
Parametry sestavy:
ShowBothCurrs - Ano Ano - Zobrazí doklad i v měně firmy, Ne - Zobrazí doklad jen v měně dokladu. |

Silniční daň
Přiznání k silniční dani – výpis hodnot
Číslo procesu: UCT_035 |
Ident. číslo sestavy: SDOP004 |
Soubor: VOZ_RTD_VALUES.AM |
Popis sestavy: Výpis hodnot přiznání k silniční dani za jednotlivá vozidla. |
||
Adresa ve stromu: [Účetnictví] [Silniční daň] [Silniční daň] |
||
Parametry sestavy:
FiltrRTD - Ne Ano - Pouze kontejner dokladů pro silniční daň. |
ObjectDataPathDate - Parametr není určen uživatelům, slouží pro interní použití. |
OnlyConfirmedRTD - Ne Ano - Pouze potvrzené doklady pro silniční daň. |
ShowCostCentre - Ne Ano - zobrazí řádek se střediskem vozidla; Ne - středisko vozidla se nezobrazí. |

Účetní rozvrh
Účetní osnova
Číslo procesu: UCT028 |
Ident. číslo sestavy: SUCT063 |
Soubor: VIE_SEZ01.AM |
Popis sestavy: Účetní osnova (seznam účtů v účetní osnově). |
||
Adresa ve stromu: [Účetnictví] [Základní nastavení účetnictví] [Účetní rozvrh] |
||
Parametry sestavy:
Bez parametrů. |

Účetní rozvrh
Číslo procesu: UCT028 |
Ident. číslo sestavy: SUCT064 |
Soubor: VIE_SEZ02.AM |
Popis sestavy: Zobrazí účetní rozvrh |
||
Adresa ve stromu: [Účetnictví] [Základní nastavení účetnictví] [Účetní rozvrh] |
||
Parametry sestavy:
Bez parametrů. |

Kontrola účetního rozvrhu
Číslo procesu: UCT_028 |
Ident. číslo sestavy: SUCT263 |
Soubor: VIE_SEZ03.AM |
Popis sestavy: Kontrola následujících polí: Pole TYP ÚČTU: - kontrola, zda má každý účet, - třídy 0-4 v poli Typ: bilanční, - třídy 5-6 v poli Typ: výsledkový, - účet 701000 -- počáteční závěrkový účet, - účet 702000 -- konečný závěrkový účet, - účet 710000 -- konečný závěrkový účet, - 7,7x -- konečný závěrkový účet, - 75 a výš v poli Typ: podrozvahový.
Pole Sběrný účet: - pokud je účet analytický, musí mít v poli Sběrný účet zadán sběrný účet se stejnými počátečními znaky, - pokud je účet xxx, musí mít v pole sběrný xx nebo x, - př. 604000 má sběrný 604 nebo 60 nebo 6, - 604 má sběrný 60 nebo 6, - a 60 má sběrný 6, - účty, které jsou jednomístné tedy např. 6 nebo 0, nemají pole Sběrný účet vyplněné, - všechny ostatní účty (kromě podrozvahových) musí mít pole vyplněné. - účty 701000 a 702000 mají sběrný účet 70, účet 710000 má sběrný účet 71.
Pole Závěrkový účet: - všechny účty třídy 0-4 musí mít v poli Závěrkový účet -- nastaven Konečný účet rozvážný tedy 702xxx, - všechny účty tříd 5 a 6 musí mít v poli Závěrkový účet - nastaven Účet zisků a ztrát tedy 710xxx, - Účet zisků a ztrát musí mít v poli Závěrkový účet -- žádný účet, - Počáteční účet rozvážný musí mít v poli Závěrkový účet - žádný účet, - Konečný účet rozvážný musí mít v poli Závěrkový účet - Počáteční účet rozvážný, tedy 701xxx, - účty 75 a > - žádný účet.
Testovat zda má: - pouze jednu analytiku.
Př. Existuje 701000 -- nesmí existovat 701001, 701002, 701100, 701200. Pokud takový účet existuje, vypsat do sestavy -- počáteční účet rozvážný má více analytik -- a vypsat, jaké to jsou. Hláška: Uzavření účetních knih bude provedeno na první analytiku. |
||
Adresa ve stromu: [Účetnictví] [Základní nastavení účetnictví] [Účetní rozvrh] |
||
Parametry sestavy:
KonUctRozv - 702000 Konečný účet rozvážný. |
PocUctRozv - 701000 Počáteční účet rozvážný. |
UctZiskZtr - 710000 Účet zisků a ztrát. |

Souvztažnosti
Souvztažnosti
Číslo procesu: UCT027 |
Ident. číslo sestavy: SUCT061 |
Soubor: POH_DOK01.AM |
Popis sestavy: Výpis kontací. |
||
Adresa ve stromu: [Účetnictví] [Základní nastavení účetnictví] [Souvztažnosti] |
||
Parametry sestavy:
Bez parametrů. |

Souvztažnosti - seznam
Číslo procesu: UCT027 |
Ident. číslo sestavy: SUCT060 |
Soubor: POH_SEZ01.AM |
Popis sestavy: Seznam souvztažností vybraného typu dokladu s řádky kontací. |
||
Adresa ve stromu: [Účetnictví] [Základní nastavení účetnictví] [Souvztažnosti] |
||
Parametry sestavy:
Bez parametrů. |

Párovací symboly
Párovací symboly
Číslo procesu: UCT025 |
Ident. číslo sestavy: SUCT051 |
Soubor: UCT_PAR.AM |
Popis sestavy: Přehled párovacích symbolů, u kterých je různá částka na straně Má dáti a Dal (nespárovaných). |
||
Adresa ve stromu: [Účetnictví] [Základní nastavení účetnictví] [Párovací symboly] |
||
Parametry sestavy:
NesparovaneVObdobi - Ne Ano - nespárovanost podle položek. |
PolozkyPodleObdobi - Ne Ne - údaje za celý účetní deník; Ano - údaje podle nastaveného období. |
PouzeNesparovane - Ano Ano - tisknou se pouze nespárované párovací symboly. |
ShowDetail - Ne Ano - zobrazí pro každý pár. symbol seznam dokladů, které obsahují tento pár. symbol. |

Párovací symboly za období
Číslo procesu: UCT025 |
Ident. číslo sestavy: SUCT052 |
Soubory: UCT_PAR2.AM |
Popis sestavy: Přehled párovacích symbolů, u kterých je různá částka na straně Má dáti a Dal (nespárovaných), s kumulací obratů za zobrazené období. |
||
Adresa ve stromu: [Účetnictví] [Základní nastavení účetnictví] [Párovací symboly] |
||
Parametry sestavy:
NesparovaneVObdobi - Ne Ano - nespárovanost podle položek. |
PolozkyPodleObdobi - Ne Ne - údaje za celý účetní deník; Ano - údaje podle nastaveného období. |
PouzeNesparovane - Ano Ano - tisknou se pouze nespárované párovací symboly. |

Účetní deník
Předkontace účetních dokladů
Číslo procesu: UCT002; UCT006; UCT007; UCT009; UCT010; UCT011; UCT012 |
Ident. č. sestavy: SUCT057 |
Soubor: UCT_PRKD.AM |
Popis sestavy: Výpis zaúčtování jednotlivých prvotních dokladů. Sestavu lze spouštět nad knihou prvotních dokladů, sestava se automaticky přizpůsobuje typu dokladů. Zobrazuje prvotní doklad a příslušný účetní doklad s položkami, tj. zaúčtování prvotního dokladu. Po spuštění můžeme ve vstupním formuláři hvězdičkou označit analytické osy, které se mají v sestavě zobrazit. Pomocí tlačítka Uložit parametry ve formuláři můžeme uložit nastavení pro další spuštění sestavy. |
||
Adresa ve stromu: [Účetnictví] [Účtování] [Bankovní výpisy] [Účetnictví] [Účtování] [Pokladní doklady] [Účetnictví] [Účtování] [Faktury přijaté] [Účetnictví] [Účtování] [Faktury vydané] [Účetnictví] [Účtování] [Příjemky] [Účetnictví] [Účtování] [Výdejky] [Účetnictví] [Účtování] [Převodky] [Účetnictví] [Účtování] [Průvodky] [Účetnictví] [Účtování] [Zálohy poskytnuté] [Účetnictví] [Účtování] [Zálohy přijaté] [Účetnictví] [Účtování] [Interní doklady] [Účetnictví] [Účtování] [Ostatní pohledávky] [Účetnictví] [Účtování] [Ostatní závazky] [Účetnictví] [Účtování] [Majetek] |
||
Parametry sestavy:
Book_SimulatedInv - FF Kniha daňových faktur. |
Column01 - 16 Číslo pole ze vstupního formuláře, které se zobrazí v sestavě (16 = Účet MD). |
Column02 - 116 Číslo pole ze vstupního formuláře, které se zobrazí v sestavě (116 = Účet D). |
Column03 - 4 Číslo pole ze vstupního formuláře, které se zobrazí v sestavě (4 = Středisko MD). |
Column04 - 104 Číslo pole ze vstupního formuláře, které se zobrazí v sestavě (104 = Středisko D). |
Column05 Číslo pole ze vstupního formuláře, které se zobrazí v sestavě. |
Column06 Číslo pole ze vstupního formuláře, které se zobrazí v sestavě. |
Column07 Číslo pole ze vstupního formuláře, které se zobrazí v sestavě. |
Column08 Číslo pole ze vstupního formuláře, které se zobrazí v sestavě. |
EachDocOnNewPage - Ne Ano - Umožní tisknout každý doklad na novou stránku. |
InventoryNumber - Ne Ano - zobrazí inventární číslo místo čísla majetku. |
NoInteractive - Ne Ano - nezobrazí vstupní formulář. |
OsobaOdpZaUcetniPripad=PoslZmenaDokladu - Ne Ano - osoba odp. za úč. případ je ta, která doklad posledně měnila. Zobrazí se v případě, že je zapnut parametr Tisknout_Schvalil_Zauctoval. |
OsobaOdpZaZauctovani=PoslZmenaZauctovani - Ne Ano - osoba odpovědná za zaúčtování je ta, která doklad posledně účtovala (měnila zaúčtování). Zobrazí se v případě, že je zapnut parametr Tisknout_Schvalil_Zauctoval. |
Setridit_Dle_Vyhotoveni - Ne Ano - setřídí záznamy dle data vystavení; jinak dle řady, čísla. |
ShowDescription - Ne Ano - zobrazí pole Popis z dokladu (jen VF, PF, VY, PRI, PRE, PRU). |
ShowExRate - Ano Ano - zobrazí kurz z hlavičky dokladu. |
ShowReferenceNo - Ne Ano - u faktur, záloh, ostatních pohledávek a závazků se zobrazí další řádek s variabilním symbolem. |
ShowVatControlStatInfo - 0 0 - nezobrazí; 1 - zobrazí Evidenční číslo a Datum pro KH na dokladech nákupu a prodeje; 2 - zobrazí, v prodeji přednostně var. symbol |
Text_Pro_FormalniKontrola Textový ekvivalent pro "Formální kontrola". |
Text_Pro_Schvalil Textový ekvivalent pro "Schválil". |
Text_Pro_VecnaKontrola Textový ekvivalent pro "Věcná kontrola". |
Text_Pro_Zauctoval Textový ekvivalent pro "Zaúčtoval". |
Tisknout_Datum_Zauctovani - Ne Tiskne datum zaúčtování. |
Tisknout_Detail_PDO - Ano Ano - tisknout platební doklady detailně (pokladní doklady, bankovní výpisy, interní doklady). |
Tisknout_Hlavicky_Dokladu_v_Sede_Barve - Ne Ano - tisk hlavičky dokladu v šedé barvě. |
Tisknout_Schvalil_Zauctoval - Ne Ano - tisknout texty "Schválil" a "Zaúčtoval". |
Tisknout_Vecna_a_Formalni_Kontrola - Ano Ano - tisknout texty pro věcnou a formální kontrolu. |
Title Nadpis sestavy. |

Účetní doklad
Číslo procesu: UCT002; UCT006; UCT007; UCT009; UCT010; UCT011; UCT012 |
Ident. č. sestavy: SUCT062 |
Soubor: UCT_DOK.AM |
Popis sestavy: Zobrazí informace účetního dokladu. Na parametr zobrazí i podpůrné analytiky jako např. středisko, kód zakázky apod. Spouští se z účetního deníku. |
||
Adresa ve stromu: [Účetnictví] [Účetní deník] |
||
Parametry sestavy:
NewPage - Ano Ano - každý doklad na novou stranu. |
ShowAxes - Ne Ano - Zobrazí podpůrné analytiky (středisko, kód zakázky, zboží, kód1 a 2, Referenta, Zákazník, Párovací s.), pokud jsou zadané. |
ShowInCurrency - Ne Ano - Zobrazí i částky v měně (pokud je doklad v měně) |
ShowSignature - Ne Ano – zobrazí se část s podpisy osob zodpovědných za schválení a zaúčtování. |
SumAccounts - Ne Ano - Sesumuje řádky se stejnými Md i D. |

Účetní doklad v měně
Číslo procesu: UCT002; UCT006; UCT007; UCT009; UCT010; UCT011; UCT012 |
Ident. č. sestavy: SUCT323 |
Soubor: UCT_DOK.AM |
Popis sestavy: Zobrazí informace účetního dokladu v měně. Na parametr zobrazí i podpůrné analytiky jako např. středisko, kód zakázky apod. Spouští se z účetního deníku. |
||
Adresa ve stromu: [Účetnictví] [Účetní deník] |
||
Parametry sestavy:
Viz parametry sestavy Účetní doklad. Odlišně jsou nastaveny tyto parametry:
ShowInCurrency - Ano |

Účetní doklad sumační
Číslo procesu: UCT002; UCT006; UCT007; UCT009; UCT010; UCT011; UCT012 |
Ident. č. sestavy: SUCT324 |
Soubor: UCT_DOK.AM |
Popis sestavy: Zobrazí informace účetního dokladu. Řádky jsou sesumované podle stejného MD a D. Na parametr zobrazí i podpůrné analytiky jako např. středisko, kód zakázky apod. Spouští se z účetního deníku. Sestava se spouští pro zobrazení dokladů účetní závěrky. |
||
Adresa ve stromu: [Účetnictví] [Účetní závěrka] |
||
Parametry sestavy:
Viz parametry sestavy Účetní doklad. Odlišně jsou nastaveny tyto parametry:
SumAccounts - Ano |

Historie změn účetních dokladů
Číslo procesu: UCT001 |
Ident. číslo sestavy: SUCT247 |
Soubor: UCT_HISTORY.AM |
Popis sestavy: Sestava vytiskne historii změn účetních dokladů ze strany A v účetním deníku, soubor "UDLOG.TXT". Data je možno seskupit podle data změny nebo osoby, která změnu provedla. Data lze omezit parametry od, do na datum změny. |
||
Adresa ve stromu: [Účetnictví] [Účetní deník] |
||
Parametry sestavy:
DateFrom - 0.0.0000 Datum od. |
DateTo - 0.0.0000 Datum do. |
GroupBy - 0 0 - seskupit podle Datum změny; 1- seskupit podle Změnil. |
NoInteractive - Ne Ano - zobrazí formulář s datem od - do. |

Seznam účetních dokladů
Číslo procesu: UCT002; UCT003; UCT006; UCT007; UCT009-012; UCT029; UCT031; UCT036 |
Ident. číslo sestavy: SUCT325 |
Soubor: UCT_SEZ01.AM |
Popis sestavy: Seznam účetních dokladů. Pokud je parametr NoInteractive na Ne (implicitní hodnota), pak se zobrazí formulář, ve kterém je možno nastavit hodnoty parametrů. |
||
Adresa ve stromu: [Účetnictví] [Účetní deník] |
||
Parametry sestavy:
CanGrow - Ne Ano - Pole popis se v případě dlouhého textu zobrazí na více řádků, Ne - Nadbývající text se nezobrazí. Text se zobrazí ořezaně a neúplně, pokud je delší, než je šířka pole pro popis. |
NoInteractive - Ne Ne - Zobrazí formulář s parametry, Ano - Nezobrazí formulář. |
ReportID - 0 Setřídění dle 0 - Typu, knihy, čísla dokladu, 1 - Datum úč. případu, 2 - Celk. částky. |
ShowAxes - Ne Ano - Zobrazí podpůrné analytiky (středisko, kód zakázky, zboží, kód1 a 2, Referenta, Zákazník, Párovací s.) pokud jsou zadané. |
ShowDocument - Ne Ano - Zobrazí číslo prvotního dokladu. |
ShowInCurrency - Ne Ano - Zobrazí i částky v měně (pokud je doklad v měně). |
ShowSignature - Ano – zobrazí se část s podpisy osob zodpovědných za schválení a zaúčtování. |
SubTitle - Podtitulek. |
SuppressReportFooter - Ne Ano - skryje patičku sestavy. |
Title Nadpis sestavy. |

Výpis účetního deníku
Číslo procesu: UCT002; UCT003; UCT006; UCT007; UCT009-012; UCT029; UCT031; UCT036 |
Ident. číslo sestavy: SUCT065 |
Soubor: UCT_DENC.AM |
Popis sestavy: Seznam položek účetních dokladů. Pokud je parametr NoInteractive na Ne (implicitní hodnota), pak se zobrazí formulář, ve kterém je možno nastavit hodnoty parametrů. |
||
Adresa ve stromu: [Účetnictví] [Položky účetního deníku] |
||
Parametry sestavy:
CanGrow - Ne Ano - Pole popis se v případě dlouhého textu zobrazí na více řádků, Ne - Nadbývající text se nezobrazí. Text se zobrazí ořezaně a neúplně, pokud je delší, než je šířka pole pro popis. |
NoInteractive - Ne Ne - Zobrazí formulář s parametry, Ano - Nezobrazí formulář. |
ReportID - 0 Setřídění dle 0 - Typu, knihy, čísla dokladu, 1 - Datum úč. případu, 2 - Celk. částky, 3 - Typu, knihy a čísla prvotního dokladu. |
ShowAxes - Ne Ano - Zobrazí podpůrné analytiky (středisko, kód zakázky, zboží, kód1 a 2, Referenta, Zákazník, Párovací s.) pokud jsou zadané. |
ShowDocument - Ne Ano - Zobrazí číslo prvotního dokladu. |
ShowInCurrency - Ne Ano - Zobrazí i částky v měně (pokud je doklad v měně). |
ShowSignature - Ano – zobrazí se část s podpisy osob zodpovědných za schválení a zaúčtování. |
SubTitle - Podtitulek. |
SumAccounts - Ne Ano - Sesumuje řádky se stejnými Md i D. |
SuppressReportFooter - Ne Ano - skryje patičku sestavy. |
Title Nadpis sestavy. |

Hlavní kniha
Hl. kn. - an. účty podle setřídění
Číslo procesu: UCT021; UCT009; UCT025 |
Ident. č. sestavy: SUCT034 |
Soubor: UCT_HLKG.AM |
Popis sestavy: Tisk hlavní knihy včetně pohybů na účtech, které jsou setříděny podle zvoleného kritéria (datum dokladu, párovací symbol, středisko, kód zakázky, kód zboží, protiúčet, částka, typ účetního dokladu, prvotního dokladu). Na sestavě se zobrazí součty za jednotlivé hodnoty třídícího kritéria. |
||
Adresa ve stromu: [Účetnictví] [Hlavní kniha] [Tisk hlavní knihy] |
||
Parametry sestavy:
AccountType - 1 Typ účtu: 0 - vše; 1 - pouze analytické účty; 2 - pouze sběrné účty. |
IgnoreCloseOp - Ne Ano - ignoruje závěrkové operace. |
IgnoreOpenOp - Ne Ano - ignoruje otvírkové operace. |
JedenUcet - Ne Ano - vynucený jeden účet. |
MinRozdil - 0,001 Do jaké meze je položka spárovaná, má význam pouze s parametrem "PouzeNesparovane" = "Ano". |
PouzeNesparovane - Ne Ano - tiskne pouze nespárované. |
PouzeSparovane - Ne Ano - tiskne pouze spárované. |
Report_Title Název sestavy. |
Setrideni - -1 Setřídění (uvádí se číslo setřídění – je uvedeno ve vstupním formuláři sestavy, který se zobrazí, pokud není zadaný tento parametr). 0 - dle datumu, 1 - dle párovacího symbolu, 2 - střediska, 3 - kódu zakázky, 4 - kódu zboží, 5 - popis pár. symbolu, 6 - protiúčtu, 7 - typu, 8 - dokladu, 9 - zákazníka, 10 - kódu 1, 11 - kódu 2, 12 - Referenta. |
SetrideniDo Filtr na setřídění "do". |
SetrideniOd Filtr na setřídění "od". |
ShowAllConditions - Ne Ano - v záhlaví se zobrazí všechny filtrovací podmínky; Ne - v záhlaví se zobrazí filtrovací podmínky stejně jako na spodním panelu Hlavní knihy (při větším počtu filtrovacích podmínek se nezobrazí všechny). |
ShowNoOfPrimaryDoc - Ne Ano - Zobrazí číslo prvotního dokladu místo sloupce číslo účetního dokladu. |
TestNaUzaverku - Ano Ano - zahrne do salda i pohyby na otvírkovém dokladu.
Použití: V současné době se v sestavách nad hlavní knihou pohyby na otvírkovém a závěrkovém účtu do salda nezahrnují, což je správně. Výjimku je právě tato sestava, protože např. když se kontroluje podle párovacího symbolu, zobrazují se párovací symboly, na které byla např. příjemka v loňském roce a faktura v letošním roce, jako nespárované. Parametr TestNaUzaverku = Ano (true) zobrazí tyto doklady jako spárované. |
TestNaUzaverkuOZ - Ano Ano - zahrne do salda i pohyby na závěrkovém dokladu. |
ValueToSplitRow - 10000000 Hodnota, při které se mají částky zobrazit ve dvou řádcích. |

Hl. kn. - an. účty podle setřídění - XL
Číslo procesu: UCT021 |
Ident. číslo sestavy: SUCT035 |
Soubor: UCT_HLKGX.AM |
Popis sestavy: Tisk hlavní knihy včetně pohybů na účtech, které jsou setříděny podle zvoleného kritéria (datum dokladu, párovací symbol, středisko, kód zakázky, kód zboží, protiúčet, částka, typ účetního dokladu, prvotního dokladu). Na sestavě se zobrazí si součty za jednotlivé hodnoty třídícího kritéria. Tisk na šířku. |
||
Adresa ve stromu: [Účetnictví] [Hlavní kniha] [Tisk hlavní knihy] |
||
Parametry sestavy:
AccountType - 1 Typ účtu: 0 - vše; 1 - pouze analytické účty; 2 - pouze sběrné účty. |
IgnoreCloseOp - Ne Ano - ignoruje závěrkové operace. |
IgnoreOpenOp - Ne Ano - ignoruje otvírkové operace. |
JedenUcet - Ne Ano - vynucený jeden účet. |
MinRozdil - 0,001 Do jaké meze je položka spárovaná, má význam pouze s parametrem "PouzeNesparovane" = "Ano". |
PouzeNesparovane - Ne Ano - tiskne pouze nespárované. |
PouzeSparovane - Ne Ano - tiskne pouze spárované. |
Report_Title Název sestavy. |
Setrideni - -1 Setřídění (uvádí se číslo setřídění – je uvedeno ve vstupním formuláři sestavy, který se zobrazí, pokud není zadaný tento parametr). 0 - dle datumu, 1 - dle párovacího symbolu, 2 - střediska, 3 - kódu zakázky, 4 - kódu zboží, 5 - popis pár. symbolu, 6 - protiúčtu, 7 - typu, 8 - dokladu, 9 - zákazníka, 10 - kódu 1, 11 - kódu 2, 12 - Referenta. |
SetrideniDo Filtr na setřídění "do". |
SetrideniOd Filtr na setřídění "od". |
ShowAllConditions - Ne Ano - v záhlaví se zobrazí všechny filtrovací podmínky; Ne - v záhlaví se zobrazí filtrovací podmínky stejně jako na spodním panelu Hlavní knihy (při větším počtu filtrovacích podmínek se nezobrazí všechny). |
ShowNoOfPrimaryDoc - Ne Ano - Zobrazí číslo prvotního dokladu místo sloupce číslo účetního dokladu. |
TestNaUzaverku - Ano Ano - zahrne do salda i pohyby na otvírkovém dokladu.
Použití: V současné době se v sestavách nad hlavní knihou pohyby na otvírkovém a závěrkovém účtu do salda nezahrnují, což je správně. Výjimku je právě tato sestava, protože např. když se kontroluje podle párovacího symbolu, zobrazují se párovací symboly, na které byla např. příjemka v loňském roce a faktura v letošním roce, jako nespárované. Parametr TestNaUzaverku = Ano (true) zobrazí tyto doklady jako spárované. |
TestNaUzaverkuOZ - Ano Ano - zahrne do salda i pohyby na závěrkovém dokladu. |

Hl. kn. - an. účty setříděné
Číslo procesu: UCT021; UCT020; UCT006; UCT007; UCT009; UCT010; UCT011; UCT012 |
Ident. č. sestavy: SUCT036 |
Soubor: UCT_HLKS.AM |
Popis sestavy: Tisk hlavní knihy včetně pohybů na účtech, které jsou setříděny podle zvoleného kritéria (datum dokladu, párovací symbol, středisko, kód zakázky, kód zboží, protiúčet, částka, typ účetního dokladu, prvotního dokladu). |
||
Adresa ve stromu: [Účetnictví] [Hlavní kniha] [Tisk hlavní knihy] |
||
Parametry sestavy:
AccountType - 1 Typ účtu: 0 - vše; 1 - pouze analytické účty; 2 - pouze sběrné účty. |
BalanceFromCumul - Ano Ano - Saldo se napočte z Kumulace obratu Má dáti - Dal, Ne - Saldo se napočte z obratu Má dáti - Dal. |
IgnoreCloseOp - Ne Ano - ignoruje závěrkové operace. |
IgnoreOpenOp - Ne Ano - ignoruje otvírkové operace. |
JedenUcet - Ne Ano - vynucený jeden účet. |
Report_Title Název sestavy. |
Setrideni - -1 Setřídění (uvádí se číslo setřídění – je uvedeno ve vstupním formuláři sestavy, který se zobrazí, pokud není zadaný tento parametr). 0 - dle datumu, 1 - dle párovacího symbolu, 2 - střediska, 3 - kódu zakázky, 4 - kódu zboží, 5 - popis pár. symbolu, 6 - protiúčtu, 7 - typu, 8 - dokladu, 9 - zákazníka, 10 - kódu 1, 11 - kódu 2, 12 - Referenta. |
SetrideniDo Filtr na setřídění "do". |
SetrideniOd Filtr na setřídění "od". |
ShowAllConditions - Ne Ano - v záhlaví se zobrazí všechny filtrovací podmínky; Ne - v záhlaví se zobrazí filtrovací podmínky stejně jako na spodním panelu Hlavní knihy (při větším počtu filtrovacích podmínek se nezobrazí všechny). |
ShowNoOfPrimaryDoc - Ne Ano - Zobrazí číslo prvotního dokladu místo sloupce číslo účetního dokladu. |
ValueToSplitRow - 10000000 Hodnota, při které se mají částky zobrazit ve dvou řádcích. |

Hl. kn. - an. účty setříděné - XL
Číslo procesu: UCT021 |
Ident. číslo sestavy: SUCT037 |
Soubor: UCT_HLKSX.AM |
Popis sestavy: Tisk hlavní knihy včetně pohybů na účtech, které jsou setříděny podle zvoleného kritéria (datum dokladu, párovací symbol, středisko, kód zakázky, kód zboží, protiúčet, částka, typ účetního dokladu, prvotního dokladu). Tisk na šířku. |
||
Adresa ve stromu:[Účetnictví] [Hlavní kniha] [Tisk hlavní knihy] |
||
Parametry sestavy:
AccountType - 1 Typ účtu: 0 - vše; 1 - pouze analytické účty; 2 - pouze sběrné účty. |
BalanceFromCumul - Ano Ano - Saldo se napočte z Kumulace obratu Má dáti - Dal, Ne - Saldo se napočte z obratu Má dáti - Dal. |
IgnoreCloseOp - Ne Ano - ignoruje závěrkové operace. |
IgnoreOpenOp - Ne Ano - ignoruje otvírkové operace. |
JedenUcet - Ne Ano - vynucený jeden účet. |
Report_Title Název sestavy. |
Setrideni - -1 Setřídění (uvádí se číslo setřídění – je uvedeno ve vstupním formuláři sestavy, který se zobrazí, pokud není zadaný tento parametr). 0 - dle datumu, 1 - dle párovacího symbolu, 2 - střediska, 3 - kódu zakázky, 4 - kódu zboží, 5 - popis pár. symbolu, 6 - protiúčtu, 7 - typu, 8 - dokladu, 9 - zákazníka, 10 - kódu 1, 11 - kódu 2, 12 - Referenta. |
SetrideniDo Filtr na setřídění "do". |
SetrideniOd Filtr na setřídění "od". |
ShowAllConditions - Ne Ano - v záhlaví se zobrazí všechny filtrovací podmínky; Ne - v záhlaví se zobrazí filtrovací podmínky stejně jako na spodním panelu Hlavní knihy (při větším počtu filtrovacích podmínek se nezobrazí všechny). |
ShowNoOfPrimaryDoc - Ne Ano - Zobrazí číslo prvotního dokladu místo sloupce číslo účetního dokladu. |

Hl. kn. - an. účty SUM
Číslo procesu: UCT021 |
Ident. č. sestavy: SUCT038 |
Soubor: UCT_HLSU.AM |
Popis sestavy: Tisk obratů na jednotlivých účtech za zvolené kritérium (datum dokladu, párovací symbol, středisko, kód zakázky, kód zboží, protiúčet, částka, typ účetního dokladu, prvotní doklad). |
||
Adresa ve stromu: [Účetnictví] [Hlavní kniha] [Tisk hlavní knihy] |
||
Parametry sestavy:
AccountType - 1 Typ účtu: 0 - vše; 1 - pouze analytické účty; 2 - pouze sběrné účty. |
BalanceFromCumul - Ano Ano - Saldo se napočte z Kumulace obratu Má dáti - Dal, Ne - Saldo se napočte z obratu Má dáti - Dal. |
Grouping - -1 Seskupení sestavy (číslo podle formuláře). |
GroupingFrom Seskupení od. |
GroupingTo Seskupení do. |
IgnoreCloseOp - Ne Ano - ignoruje závěrkové operace. |
IgnoreOpenOp - Ne Ano - ignoruje otvírkové operace. |
JedenUcet - Ne Ano - vynucený jeden doklad. |
MinRozdil - 0,001 Do jaké meze je položka spárovaná. |
PouzeNesparovane - Ne Ano - tiskne pouze nespárované. |
PouzeSparovane - Ne Ano - tiskne pouze spárované. |
Report_Title Název sestavy. |
Setrideni - -1 Setřídění (uvádí se číslo setřídění – je uvedeno ve vstupním formuláři sestavy, který se zobrazí, pokud není zadaný tento parametr). 0 - dle datumu, 1 - dle párovacího symbolu, 2 - střediska, 3 - kódu zakázky, 4 - kódu zboží, 5 - popis pár. symbolu, 6 - protiúčtu, 7 - typu, 8 - dokladu, 9 - zákazníka, 10 - kódu 1, 11 - kódu 2, 12 - Referenta. |
SetrideniDo Filtr na setřídění "do". |
SetrideniOd Filtr na setřídění "od". |
ShowAllConditions - Ne Ano - v záhlaví se zobrazí všechny filtrovací podmínky; Ne - v záhlaví se zobrazí filtrovací podmínky stejně jako na spodním panelu Hlavní knihy (při větším počtu filtrovacích podmínek se nezobrazí všechny). |
ValueToSplitRow - 100000000 Hodnota, při které se mají částky zobrazit ve dvou řádcích. |

Hl. kn. - an. účty SUM - XL
Číslo procesu: UCT021 |
Ident. č. sestavy: SUCT039 |
Soubor: UCT_HLSUX.AM |
Popis sestavy: Tisk obratů na jednotlivých účtech za zvolené kritérium (datum dokladu, párovací symbol, středisko, kód zakázky, kód zboží, protiúčet, částka, typ účetního dokladu, prvotní doklad). Tisk na šířku. |
||
Adresa ve stromu:[Účetnictví] [Hlavní kniha] [Tisk hlavní knihy] |
||
Parametry sestavy:
AccountType - 1 Typ účtu: 0 - vše; 1 - pouze analytické účty; 2 - pouze sběrné účty. |
BalanceFromCumul - Ano Ano - Saldo se napočte z Kumulace obratu Má dáti - Dal, Ne - Saldo se napočte z obratu Má dáti - Dal. |
Grouping - -1 Setřídění (uvádí se číslo setřídění – je uvedeno ve vstupním formuláři sestavy, který se zobrazí, pokud není zadaný tento parametr). 0 - dle datumu, 1 - dle párovacího symbolu, 2 - střediska, 3 - kódu zakázky, 4 - kódu zboží, 5 - popis pár. symbolu, 6 - protiúčtu, 7 - typu, 8 - dokladu, 9 - zákazníka, 10 - kódu 1, 11 - kódu 2, 12 - Referenta. |
GroupingFrom Seskupení od. |
GroupingTo Seskupení do. |
IgnoreCloseOp - Ne Ano - ignoruje závěrkové operace. |
IgnoreOpenOp - Ne Ano - ignoruje otvírkové operace. |
JedenUcet - Ne Ano - vynucený jeden doklad. |
MinRozdil - 0,001 Do jaké meze je položka spárovaná. |
PouzeNesparovane - Ne Ano - tiskne pouze nespárované. |
PouzeSparovane - Ne Ano - tiskne pouze spárované. |
Report_Title Název sestavy. |
ShowAllConditions - Ne Ano - v záhlaví se zobrazí všechny filtrovací podmínky; Ne - v záhlaví se zobrazí filtrovací podmínky stejně jako na spodním panelu Hlavní knihy (při větším počtu filtrovacích podmínek se nezobrazí všechny). |
TestNaUzaverku - Ano Ano - ignoruje závěrkové operace; Ne - neignoruje. |

Hl. kn. - obraty
Číslo procesu: UCT021 |
Ident. č. sestavy: SUCT047 |
Soubor: UCT_OBZ.AM |
Popis sestavy: Tisk obratů na účtech v nastaveném období (počáteční stav, obrat za poslední měsíc, obrat za období celkem, konečný zůstatek). Sestavu je možné spustit jen pro setřídění Datum (neplatí je-li parametr TurnoverTotal_DSC1 nastaven na hodnotu Ano). |
||
Adresa ve stromu: [Účetnictví] [Hlavní kniha] [Tisk hlavní knihy] |
||
Parametry sestavy:
AccountType - 1 Typ účtu: 0 - vše; 1 - pouze analytické účty; 2 - pouze sběrné účty. |
CanGrow - Ano Ano - zobrazí dlouhý text na více řádků. |
IgnoreConsolidationAccounts - Ne Ano - v sestavách se nezobrazí účty, označené v účetním rozvrhu jako Účet pro podnik konsolidačního celku. Pokud je parametr nastaven na Ano, v sestavě se zobrazí jen analytické účty (nastavení parametru AccountType se v tomto případě nebere v úvahu). |
IgnoreTaxUndeductAccounts - Ne Ano - v sestavách se nezobrazí účty, označené v účetním rozvrhu jako Daňově neuznatelné. Pokud je parametr nastaven na Ano, v sestavě se zobrazí jen analytické účty (nastavení parametru AccountType se v tomto případě nebere v úvahu). |
IncomeStatement - Ne Ano - zobrazí jen výsledkové účty. |
IncomeTaxesAccountAbbr - 59 Zkratka účtů (oddělených středníkem) daně z příjmů. Účty, zadané v tomto parametru, se nezahrnou do Hospodářského výsledku před zdaněním. |
OffBalanceSheetAccount - 8;9 Podrozvahové účty, které se zobrazí při zapnutém parametru IncomeStatement. |
OffBalanceSheetAccounts - Ne Ano - pokud je zapnut parametr IncomeStatement, do sum zahrne podrozvahové účty, zadané v parametru OffBalanceSheetAccount. |
ShowAllConditions - Ne Ano - v záhlaví se zobrazí všechny filtrovací podmínky; Ne - v záhlaví se zobrazí filtrovací podmínky stejně jako na spodním panelu Hlavní knihy (při větším počtu filtrovacích podmínek se nezobrazí všechny). |
ShowBalance_DSC1 - Ne Ano - zobrazí sloupec Saldo, Ne - zobrazí sloupec Zůstatek. |
SuppressEmptyRows - Ano Ano - skryje prázdné řádky. |
ReportTitle Název sestavy. |
TurnoverTotal_DSC1 - Ne Ano - zobrazí sloupce obrat celkem. Nezobrazí sloupce obrat za prodlení periodu. Pokud je parametr nastaven na Ano, pak parametr ValueToSplitRow_DSC1 je nefunkční (není potřeba). |
ValueToSplitRow_DSC1 - 100000000 Hodnota, při které se mají částky zobrazit ve dvou řádcích. |

Hl. kn. - obraty - XL
Číslo procesu: UCT021 |
Ident. č. sestavy: SUCT048 |
Soubor: UCT_OBZ_X.AM |
|
Popis sestavy: Tisk obratů na účtech v nastaveném období (počáteční stav, obrat za poslední měsíc, obrat za období celkem, konečný zůstatek). Tisk na šířku. |
|||
Adresa ve stromu: [Účetnictví] [Hlavní kniha] [Tisk hlavní knihy] |
|||
Parametry sestavy:
AccountType - 1 Typ účtu: 0 - vše; 1 - pouze analytické účty; 2 - pouze sběrné účty. |
CanGrow - Ano Ano - zobrazí dlouhý text na více řádků. |
IgnoreConsolidationAccounts - Ne Ano - v sestavách se nezobrazí účty, označené v účetním rozvrhu jako Účet pro podnik konsolidačního celku. Pokud je parametr nastaven na Ano, v sestavě se zobrazí jen analytické účty (nastavení parametru AccountType se v tomto případě nebere v úvahu). |
IgnoreTaxUndeductAccounts - Ne Ano - v sestavách se nezobrazí účty, označené v účetním rozvrhu jako Daňově neuznatelné. Pokud je parametr nastaven na Ano, v sestavě se zobrazí jen analytické účty (nastavení parametru AccountType se v tomto případě nebere v úvahu). |
IncomeStatement - Ne Ano - zobrazí jen výsledkové účty. |
IncomeTaxesAccountAbbr - 59 Zkratka účtů (oddělených středníkem) daně z příjmů. Účty, zadané v tomto parametru, se nezahrnou do Hospodářského výsledku před zdaněním. |
OffBalanceSheetAccount - 8;9 Podrozvahové účty, které se zobrazí při zapnutém parametru IncomeStatement. |
OffBalanceSheetAccounts - Ne Ano - pokud je zapnut parametr IncomeStatement, do sum zahrne podrozvahové účty, zadané v parametru OffBalanceSheetAccount. |
ShowAllConditions - Ne Ano - v záhlaví se zobrazí všechny filtrovací podmínky; Ne - v záhlaví se zobrazí filtrovací podmínky stejně jako na spodním panelu Hlavní knihy (při větším počtu filtrovacích podmínek se nezobrazí všechny). |
ShowBalance_DSC1 - Ne Ano - zobrazí sloupec Saldo, Ne - zobrazí sloupec Zůstatek. |
SuppressEmptyRows - Ano Ano - skryje prázdné řádky. |
ReportTitle Název sestavy. |
TurnoverTotal_DSC1 - Ne Ano - zobrazí sloupce obrat celkem. Nezobrazí sloupce obrat za prodlení periodu. Pokud je parametr nastaven na Ano, pak parametr ValueToSplitRow_DSC1 je nefunkční (není potřeba). |

Hl. kn. - obraty - položky
Číslo procesu: UCT021 |
Ident. č. sestavy: SUCT042 |
Soubor: UCT_OBZP.AM |
|
Popis sestavy: Tisk obratů na účtech v nastaveném období po periodách a jednotl. účetních knihách. |
|||
Adresa ve stromu:[Účetnictví] [Hlavní kniha] [Tisk hlavní knihy] |
|||
Parametry sestavy:
AccountType - 0 Typ účtu: 0 - vše; 1 - pouze analytické účty; 2 - pouze sběrné účty. |
CanGrow - Ano Ano - zobrazí dlouhý text na více řádků. |
IgnoreConsolidationAccounts - Ne Ano - v sestavách se nezobrazí účty, označené v účetním rozvrhu jako Účet pro podnik konsolidačního celku. Pokud je parametr nastaven na Ano, v sestavě se zobrazí jen analytické účty (nastavení parametru AccountType se v tomto případě nebere v úvahu). |
IgnoreTaxUndeductAccounts - Ne Ano - v sestavách se nezobrazí účty, označené v účetním rozvrhu jako Daňově neuznatelné. Pokud je parametr nastaven na Ano, v sestavě se zobrazí jen analytické účty (nastavení parametru AccountType se v tomto případě nebere v úvahu). |
IncomeStatement - Ne Ano - zobrazí jen výsledkové účty. |
NewPage - Ne Ano - každé setřídění se zobrazí na nové straně. |
OffBalanceSheetAccounts - Ne Ano - započítává závěrkové a otvírkové operace. |
ReportTitle Název sestavy. |
ShowDescription - Ano Ano - zobrazí zkratku a popis analytické osy, Ne - zobrazí zkratku analytické osy. |
ShowAllConditions - Ne Ano - v záhlaví se zobrazí všechny filtrovací podmínky; Ne - v záhlaví se zobrazí filtrovací podmínky stejně jako na spodním panelu Hlavní knihy (při větším počtu filtrovacích podmínek se nezobrazí všechny). |
SuppressEmptyRows - Ano Ano - skryje prázdné řádky. |
ValueToSplitRow_DSC1 - 100000000 Hodnota, při které se mají částky zobrazit ve dvou řádcích. |

Hl. kn. - obraty po položkách
Číslo procesu: UCT021 |
Ident. číslo sestavy: SUCT044 |
Soubor: UCT_OBZR.AM |
Popis sestavy: Tisk obratů na účtech v nastaveném období za jednotlivé účetní knihy, střediska, kódy zakázek, kódy zboží a periody. |
||
Adresa ve stromu: [Účetnictví] [Hlavní kniha] [Tisk hlavní knihy] |
||
Parametry sestavy:
AccountType - 0 Typ účtu: 0 - vše; 1 - pouze analytické účty; 2 - pouze sběrné účty. |
CanGrow - Ano Ano - zobrazí dlouhý text na více řádků. |
IgnoreConsolidationAccounts - Ne Ano - v sestavách se nezobrazí účty, označené v účetním rozvrhu jako Účet pro podnik konsolidačního celku. Pokud je parametr nastaven na Ano, v sestavě se zobrazí jen analytické účty (nastavení parametru AccountType se v tomto případě nebere v úvahu). |
IgnoreTaxUndeductAccounts - Ne Ano - v sestavách se nezobrazí účty, označené v účetním rozvrhu jako Daňově neuznatelné. Pokud je parametr nastaven na Ano, v sestavě se zobrazí jen analytické účty (nastavení parametru AccountType se v tomto případě nebere v úvahu). |
IncomeStatement - Ne Ano - zobrazí jen výsledkové účty. |
NewPage - Ne Ano - každé setřídění se zobrazí na nové straně. |
OffBalanceSheetAccounts - Ne Ano - započítává závěrkové a otvírkové operace. |
ReportTitle Název sestavy. |
ShowAllConditions - Ne Ano - v záhlaví se zobrazí všechny filtrovací podmínky; Ne - v záhlaví se zobrazí filtrovací podmínky stejně jako na spodním panelu Hlavní knihy (při větším počtu filtrovacích podmínek se nezobrazí všechny). |
ShowDescription - Ano Ano - zobrazí zkratku a popis analytické osy, Ne - zobrazí zkratku analytické osy. |
SuppressEmptyRows - Ano Ano - skryje prázdné řádky. |
ValueToSplitRow_DSC1 - 100000000 Hodnota, při které se mají částky zobrazit ve dvou řádcích. |

Hl. kn. - obraty po položkách - XL
Číslo procesu: UCT021 |
Ident. č. sestavy: SUCT045 |
Soubor: UCT_OBZRX.AM |
Popis sestavy: Tisk obratů na účtech v nastaveném období za jednotlivé účetní knihy, střediska, kódy zakázek, kódy zboží a periody. Tisk na šířku. |
||
Adresa ve stromu: [Účetnictví] [Hlavní kniha] [Tisk hlavní knihy] |
||
Parametry sestavy:
AccountType - 0 Typ účtu: 0 - vše; 1 - pouze analytické účty; 2 - pouze sběrné účty. |
CanGrow - Ano Ano - zobrazí dlouhý text na více řádků. |
IgnoreConsolidationAccounts - Ne Ano - v sestavách se nezobrazí účty, označené v účetním rozvrhu jako Účet pro podnik konsolidačního celku. Pokud je parametr nastaven na Ano, v sestavě se zobrazí jen analytické účty (nastavení parametru AccountType se v tomto případě nebere v úvahu). |
IgnoreTaxUndeductAccounts - Ne Ano - v sestavách se nezobrazí účty, označené v účetním rozvrhu jako Daňově neuznatelné. Pokud je parametr nastaven na Ano, v sestavě se zobrazí jen analytické účty (nastavení parametru AccountType se v tomto případě nebere v úvahu). |
IncomeStatement - Ne Ano - zobrazí jen výsledkové účty. |
NewPage - Ne Ano - každé setřídění se zobrazí na nové straně. |
OffBalanceSheetAccounts - Ne Ano - započítává závěrkové a otvírkové operace. |
ReportTitle Název sestavy. |
ShowAllConditions - Ne Ano - v záhlaví se zobrazí všechny filtrovací podmínky; Ne - v záhlaví se zobrazí filtrovací podmínky stejně jako na spodním panelu Hlavní knihy (při větším počtu filtrovacích podmínek se nezobrazí všechny). |
ShowDescription - Ano Ano - zobrazí zkratku a popis analytické osy, Ne - zobrazí zkratku analytické osy. |
SuppressEmptyRows - Ano Ano - skryje prázdné řádky. |

Hl. kn. dle pár. symb. - pouze nespár.
Číslo procesu: UCT021; UCT009; UCT025 |
Ident. č. sestavy: SUCT267 |
Soubor: UCT_HLKG.AM |
Popis sestavy: Tisk hlavní knihy včetně pohybů na účtech, které jsou setříděny podle zvoleného kritéria (datum dokladu, párovací symbol, středisko, kód zakázky, kód zboží, protiúčet, částka, typ účetního dokladu, prvotního dokladu). Na sestavě se zobrazí součty za jednotlivé hodnoty třídícího kritéria. |
||
Adresa ve stromu: [Účetnictví] [Základní nastavení účetnictví] [Párovací symboly] |
||
Parametry sestavy:
Viz parametry sestavy Hl. kn. - an. účty podle setřídění. Odlišně jsou nastaveny tyto parametry:
Setrideni - 1 |
PouzeNesparovane - Ano |

Hl. kn. dle párovacích symbolů
Číslo procesu: UCT021; UCT009; UCT025 |
Ident. č. sestavy: SUCT266 |
Soubor: UCT_HLKG.AM |
Popis sestavy: Tisk hlavní knihy včetně pohybů na účtech, které jsou setříděny podle zvoleného kritéria (datum dokladu, párovací symbol, středisko, kód zakázky, kód zboží, protiúčet, částka, typ účetního dokladu, prvotního dokladu). Na sestavě se zobrazí součty za jednotlivé hodnoty třídícího kritéria. |
||
Adresa ve stromu: [Účetnictví] [Základní nastavení účetnictví] [Párovací symboly] |
||
Parametry sestavy:
Viz parametry sestavy Hl. kn. - an. účty podle setřídění. Odlišně jsou nastaveny tyto parametry:
Setrideni - 1 |

Hlavní kniha - analytické účty
Číslo procesu: UCT021; UCT002; UCT020 |
Ident. číslo sestavy: SUCT030 |
Soubor: UCT_HLKN.AM |
Popis sestavy: Tisk hlavní knihy včetně pohybů na účtech. |
||
Adresa ve stromu: [Účetnictví] [Hlavní kniha] [Tisk hlavní knihy] |
||
Parametry sestavy:
AccountType - 0 Typ účtu: 0 - vše; 1 - pouze analytické účty; 2 - pouze sběrné účty. |
DescriptionCanGrow - Ne Ano - popis rozdělí na více řádků. |
IgnoreCloseOp - Ne Ano - ignoruje závěrkové operace. |
IgnoreOpenOp - Ne Ano - ignoruje otvírkové operace. |
Report_Title Název sestavy. |
ShowAllConditions - Ne Ano - v záhlaví se zobrazí všechny filtrovací podmínky; Ne - v záhlaví se zobrazí filtrovací podmínky stejně jako na spodním panelu Hlavní knihy (při větším počtu filtrovacích podmínek se nezobrazí všechny). |
ShowPrimaryDocCounterAcc - Ne Ano - v sestavě se zobrazí sloupce Prvotní doklad a Protiúčet; Ne - zobrazí se Popis. |
ValueToSplitRow - 10000000 Hodnota, při které se mají částky zobrazit ve dvou řádcích. |
Vysledovka - Ne Ano - tiskne jen účty 5, 6. |

Hlavní kniha - analytické účty XL
Číslo procesu: UCT021; UCT002; UCT020 |
Ident. číslo sestavy: SUCT033 |
Soubor: UCT_HLKNX.AM |
Popis sestavy: Tisk hlavní knihy včetně pohybů na účtech. Tisk na šířku. |
||
Adresa ve stromu: [Účetnictví] [Hlavní kniha] [Tisk hlavní knihy] |
||
Parametry sestavy:
AccountType - 0 Typ účtu: 0 - vše; 1 - pouze analytické účty; 2 - pouze sběrné účty. |
DescriptionCanGrow - Ne Ano - popis rozdělí na více řádků. |
IgnoreCloseOp - Ne Ano - ignoruje závěrkové operace. |
IgnoreOpenOp - Ne Ano - ignoruje otvírkové operace. |
Report_Title Název sestavy. |
ShowAllConditions - Ne Ano - v záhlaví se zobrazí všechny filtrovací podmínky; Ne - v záhlaví se zobrazí filtrovací podmínky stejně jako na spodním panelu Hlavní knihy (při větším počtu filtrovacích podmínek se nezobrazí všechny). |
ShowPrimaryDocCounterAcc - Ne Ano - v sestavě se zobrazí sloupce Prvotní doklad a Protiúčet; Ne - zobrazí se Popis. |
ValueToSplitRow - 10000000 Hodnota, při které se mají částky zobrazit ve dvou řádcích. |
Vysledovka - Ne Ano - tiskne jen účty 5, 6. |

Hlavní kniha - obraty celkem
Číslo procesu: UCT021 |
Ident. č. sestavy: SUCT332 |
Soubor: UCT_OBZ.AM |
Popis sestavy: Tisk celkových obratů na účtech v nastaveném období. |
||
Adresa ve stromu: [Účetnictví] [Hlavní kniha] [Tisk hlavní knihy] |
||
Parametry sestavy:
Viz parametry sestavy Hl. kn. - obraty. Odlišně jsou nastaveny tyto parametry:
TurnoverTotal_DSC1 - Ano |

Hlavní kniha - párovací symboly
Číslo procesu: UCT025 |
Ident. č. sestavy: SUCT334 |
Soubor: UCT_ParSymb.AM |
Popis sestavy: Sestavu lze spustit nad Hlavní knihou a zobrazí pro saldokontní účty hodnoty ze záložky Párovací symboly. Saldo celkem odpovídá zůstatku na účtu. |
||
Adresa ve stromu: [Účetnictví] [Hlavní kniha] [Tisk hlavní knihy] |
||
Parametry sestavy:
ShowNilWithoutMatchSymbol - Ne Ne - pokud součet položek účetního deníku bez párovacího symbolu je nula, tyto položky se v sestavě nezobrazí, Ano - v sestavě se zobrazí všechny položky. |

Kontrola ekonomických analýz
Číslo procesu: VYH001 |
Ident. č. sestavy: SUCT046 |
Soubor: UCT_OBK.AM |
Popis sestavy: Sestava je určena pro kontrolu Rozvahy a Výkazu zisku a ztráty. Zobrazí seznam analytických účtů, obsažených v analýzách. U každého účtu je uvedeno číslo řádku ekonomické analýzy, do kterého je napočítán. Pod čarou se zobrazí účty, nezařazené do analýz, a také otvírkový a závěrkové účty, na kterých není nulový zůstatek. Pokud nebyla provedena účetní závěrka za předchozí rok, pod čarou se zobrazí také výsledkové účty s nenulovým zůstatkem. |
||
Adresa ve stromu: [Účetnictví] [Hlavní kniha] [Tisk hlavní knihy] |
||
Parametry sestavy:
Anal1 - 15 Číslo hlavičky ekonomické analýzy č. 1. |
Anal2 - 16 Číslo hlavičky ekonomické analýzy č. 2. |
Anal3 - 4 Číslo hlavičky ekonomické analýzy č. 3. |
Col1 - 3 Sloupec z analýzy č. 1. |
Col2 - 1 Sloupec z analýzy č. 2. |
Col3 - 1 Sloupec z analýzy č. 3. |
Kontroluj_i_sberne - 0 0 - pouze analytické účty; 1 - pouze sběrné; 2 - analytické i sběrné. |
ShowAllAccounts - Ano Ano - zobrazí všechny účty. |
ShowAllConditions - Ne Ano - v záhlaví se zobrazí všechny filtrovací podmínky; Ne - v záhlaví se zobrazí filtrovací podmínky stejně jako na spodním panelu Hlavní knihy (při větším počtu filtrovacích podmínek se nezobrazí všechny). |
Typ_sbernych_uctu - 123 1 - jednomístné; 2 - dvojmístné; 3 - trojmístné; lze zadat i kombinace. |

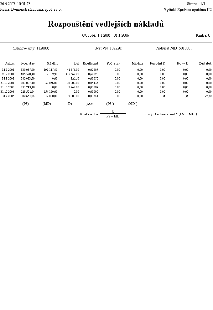
Rozpouštění vedlejších nákladů
Číslo procesu: UCT019 |
Ident. č. sestavy: SUCT197 |
Soubor: HLB_VEDN.AM |
Popis sestavy: Sestava se spouští funkcí pro rozpouštění vedlejších nákladů a zobrazuje obraty na skladových účtech, účtu vedlejších pořizovacích nákladů a návrh jejich rozpuštění do nákladů. Pouští se skriptem HLB_VEDN_MO.PAS z filtru Hlavní knihy nebo ze stromu. |
||
Adresa ve stromu: [Účetnictví] [Funkce] |
||
Parametry sestavy:
Bez parametrů. |

Ekonomické analýzy
Výsledovka
Číslo procesu: VYH001 |
Ident. č. sestavy: SUCT317 |
Soubor: UCT_EA_INCSTMT.AM |
Popis sestavy: Sestava se spouští ze skriptu "UCT_EKA_INCSTMT.pas" ([Účetnictví] [Ekonomické analýzy] [Tisk ekonomických analýz]). Zobrazí výsledovku. |
||
Adresa ve stromu: |
||
Parametry sestavy:
Sign - 23;30;250;40;Název firemního adresáře+"\Pictures\"+Zkratka přihlášeného uživatele+".png" Tisk obrázku s podpisem: 1. pozice: výška obrázku; 2. pozice: vzdálenost od levého okraje; 3. pozice: vzdálenost obrázku od horního okraje dané sekce; 4. pozice: šířka obrázku; 5. pozice Cesta a název obrázku (např. DEMO\Pictures\NOVÁK.png). |


Výsledovka ve zkráceném rozsahu
Číslo procesu: VYH001 |
Ident. č. sestavy: SUCT321 |
Soubor: UCT_EA_INCSTMTS.AM |
Popis sestavy: Sestava se spouští ze skriptu "UCT_EA_INCSTMTS.pas" ( [Účetnictví] [Ekonomické analýzy] [Tisk ekonomických analýz]). Zobrazí výsledovku ve zkráceném rozsahu. |
||
Adresa ve stromu: - |
||
Parametry sestavy:
Sign - 23;30;250;40;Název firemního adresáře+"\Pictures\"+Zkratka přihlášeného uživatele+".png" Tisk obrázku s podpisem: 1. pozice: výška obrázku; 2. pozice: vzdálenost od levého okraje; 3. pozice: vzdálenost obrázku od horního okraje dané sekce; 4. pozice: šířka obrázku; 5. pozice Cesta a název obrázku (např. DEMO\Pictures\NOVÁK.png). |


Výsledovka neziskové organizace
Číslo procesu: VYH001 |
Ident. č. sestavy: SUCT318 |
Soubor: UCT_EA_MOINCSTMT.AM |
Popis sestavy: Sestava se spouští ze skriptu "UCT_EA_MOINCSTMT.pas" ( [Účetnictví] [Ekonomické analýzy] [Tisk ekonomických analýz] [Neziskové organizace]). Zobrazí výsledovku neziskové organizace. |
||
Adresa ve stromu: - |
||
Parametry sestavy:
Sign - 23;30;250;40;Název firemního adresáře+"\Pictures\"+Zkratka přihlášeného uživatele+".png" Tisk obrázku s podpisem: 1. pozice: výška obrázku; 2. pozice: vzdálenost od levého okraje; 3. pozice: vzdálenost obrázku od horního okraje dané sekce; 4. pozice: šířka obrázku; 5. pozice Cesta a název obrázku (např. DEMO\Pictures\NOVÁK.png). |



Rozvaha
Číslo procesu: VYH001 |
Ident. č. sestavy: SUCT315 |
Soubor: UCT_EA_BALANCE.AM |
"opis sestavy: Sestava se spouští ze skriptu "UCT_EKA_BALANCE.pas" ([Účetnictví] [Ekonomické analýzy] [Tisk ekonomických analýz]). Zobrazí rozvahu. |
||
Adresa ve stromu: |
||
Parametry sestavy:
Sign - 23;30;254;40;Název firemního adresáře+"\Pictures\"+Zkratka přihlášeného uživatele+".png" Tisk obrázku s podpisem: 1. pozice: výška obrázku; 2. pozice: vzdálenost od levého okraje; 3. pozice: vzdálenost obrázku od horního okraje dané sekce; 4. pozice: šířka obrázku; 5. pozice Cesta a název obrázku (např. DEMO\Pictures\NOVÁK.png). |




Rozvaha ve zkráceném rozsahu - rozšířená
Číslo procesu: VYH001 |
Ident. č. sestavy: SUCT320 |
Soubor: UCT_EA_BALANCES.AM |
Popis sestavy: Sestava se spouští ze skriptu "UCT_EA_BALANCES.pas" ( [Účetnictví] [Ekonomické analýzy] [Tisk ekonomických analýz]). Zobrazí rozvahu ve zkráceném rozsahu - rozšířenou. |
||
Adresa ve stromu: - |
||
Parametry sestavy:
Sign - 23;30;254;40;Název firemního adresáře+"\Pictures\"+Zkratka přihlášeného uživatele+".png" Tisk obrázku s podpisem: 1. pozice: výška obrázku; 2. pozice: vzdálenost od levého okraje; 3. pozice: vzdálenost obrázku od horního okraje dané sekce; 4. pozice: šířka obrázku; 5. pozice Cesta a název obrázku (např. DEMO\Pictures\NOVÁK.png). |


Rozvaha ve zkráceném rozsahu - základní
Číslo procesu: VYH001 |
Ident. č. sestavy: SUCT343 |
Soubor: UCT_EA_BALANCESS.AM |
Popis sestavy: Sestava se spouští ze skriptu "UCT_EA_BALANCESS.pas" ( [Účetnictví] [Ekonomické analýzy] [Tisk ekonomických analýz]). Zobrazí rozvahu ve zkráceném rozsahu - základní. |
||
Adresa ve stromu: - |
||
Parametry sestavy:
Sign - 23;30;255;40;Název firemního adresáře+"\Pictures\"+Zkratka přihlášeného uživatele+".png" Tisk obrázku s podpisem: 1. pozice: výška obrázku; 2. pozice: vzdálenost od levého okraje; 3. pozice: vzdálenost obrázku od horního okraje dané sekce; 4. pozice: šířka obrázku; 5. pozice Cesta a název obrázku (např. DEMO\Pictures\NOVÁK.png). |

Rozvaha neziskové organizace
Číslo procesu: VYH001 |
Ident. č. sestavy: SUCT316 |
Soubor: UCT_EA_MOBALANCE.AM |
Popis sestavy: Sestava se spouští ze skriptu "UCT_EA_MOBALANCE.pas" ( [Účetnictví] [Ekonomické analýzy] [Tisk ekonomických analýz] [Neziskové organizace]). Zobrazí rozvahu neziskové organizace. |
||
Adresa ve stromu: - |
||
Parametry sestavy:
Sign - 23;29;188;40;Název firemního adresáře+"\Pictures\"+Zkratka přihlášeného uživatele+".png" Tisk obrázku s podpisem: 1. pozice: výška obrázku; 2. pozice: vzdálenost od levého okraje; 3. pozice: vzdálenost obrázku od horního okraje dané sekce; 4. pozice: šířka obrázku; 5. pozice Cesta a název obrázku (např. DEMO\Pictures\NOVÁK.png). |





Přehled o peněžních tocích
Číslo procesu: VYH001 |
Ident. č. sestavy: SUCT342 |
Soubor: UCT_EA_CashFlow2016.AM |
"opis sestavy: Sestava se spouští ze skriptu Přehled o peněžních tocích a zobrazí jmenovaný výkaz. |
||
Adresa ve stromu: |
||
Parametry sestavy:
Sign - 23;30;250;40;Název firemního adresáře+"\Pictures\"+Zkratka přihlášeného uživatele+".png" Tisk obrázku s podpisem: 1. pozice: výška obrázku; 2. pozice: vzdálenost od levého okraje; 3. pozice: vzdálenost obrázku od horního okraje dané sekce; 4. pozice: šířka obrázku; 5. pozice Cesta a název obrázku (např. DEMO\Pictures\NOVÁK.png). |


Ekonomická analýza za období
Číslo procesu: VYH001 |
Ident. č. sestavy: SUCT028 |
Soubor: UCT_EKANOB.AM |
Popis sestavy: Tisk aktuální ekonomické analýzy. Pokud je při výpočtu analýzy vybráno setřídění Datum, zobrazí se také hodnoty za poslední periodu/den sledovaného období. |
||
Adresa ve stromu: [Účetnictví] [Ekonomické analýzy] [Tisk ekonomických analýz] |
||
Parametry sestavy:
Column - 1 Sloupec. |
Filtres - Ano Ano - zobrazí filtr, na kterém byla sestava spuštěna. |
KontrolaVypocAnalyzy - Ano Ano - kontrola vypočtení analýzy. |
ShowAllConditions - Ne Ano - v záhlaví se zobrazí všechny filtrovací podmínky; Ne - v záhlaví se zobrazí filtrovací podmínky stejně jako na spodním panelu Hlavní knihy (při větším počtu filtrovacích podmínek se nezobrazí všechny). |

Ekonomická analýza 4 sloupce
Číslo procesu: VYH001 |
Ident. č. sestavy: SUCT026 |
Soubor: UCT_EKAN4S.AM |
Popis sestavy: Tisk hodnot ekonomické analýzy jednotlivých řádků a sloupců s 1- 4 sloupci. |
||
Adresa ve stromu: [Účetnictví] [Ekonomické analýzy] [Tisk ekonomických analýz] |
||
Parametry sestavy:
Filtres - Ano Ano - zobrazí filtr, na kterém byla sestava spuštěna. |
Show_Null_lines - Ano Ano - zobrazí nulové řádky. |
ShowAllConditions - Ne Ano - v záhlaví se zobrazí všechny filtrovací podmínky; Ne - v záhlaví se zobrazí filtrovací podmínky stejně jako na spodním panelu Hlavní knihy (při větším počtu filtrovacích podmínek se nezobrazí všechny). |
Title - Vyplněná hodnota parametru se zobrazí jako titul sestavy. Pokud není parametr vyplněn, zobrazí se původní název |

Ekonomická analýza 4 sloupce (na šířku)
Číslo procesu: VYH001 |
Ident. č. sestavy: SUCT333 |
Soubor: UCT_EKAN4S_X.AM |
Popis sestavy: Tisk hodnot ekonomické analýzy jednotlivých řádků a sloupců s 1- 4 sloupci (na šířku). |
||
Adresa ve stromu: [Účetnictví] [Ekonomické analýzy] [Tisk ekonomických analýz] |
||
Parametry sestavy:
Filtres - Ano Ano - zobrazí filtr, na kterém byla sestava spuštěna. |
Show_Null_lines - Ano Ano - zobrazí nulové řádky. |
ShowAllConditions - Ne Ano - v záhlaví se zobrazí všechny filtrovací podmínky; Ne - v záhlaví se zobrazí filtrovací podmínky stejně jako na spodním panelu Hlavní knihy (při větším počtu filtrovacích podmínek se nezobrazí všechny). |
Title - Vyplněná hodnota parametru se zobrazí jako titul sestavy. Pokud není parametr vyplněn, zobrazí se původní název |

Kontrola účtů v ekonomické analýze
Číslo procesu: VYH001 |
Ident. číslo sestavy: SUCT040 |
Soubor: UCT_EKAK.AM |
Popis sestavy: Sestava zobrazuje u každého účtů počet jeho výskytu v aktuální ekonomické analýze. |
||
Adresa ve stromu: [Účetnictví] [Ekonomické analýzy] [Tisk ekonomických analýz] |
||
Parametry sestavy:
AllColumns - Ne Ano - zobrazí výskyt ve všech sloupcích ekonomické analýzy. |
CountFromColumns - 1 Číslo sloupce, ze kterého se napočte výskyt (1-9). Parametr se bere v úvahu, pokud parametr AllColumns = Ne. |

Ekonomická analýza - definice
Číslo procesu: VYH001 |
Ident. číslo sestavy: SUCT020 |
Soubor: UCT_EKAN04.AM |
Popis sestavy: Definice řádků aktuálního sloupce ekonomické analýzy. |
||
Adresa ve stromu: [Účetnictví] [Ekonomické analýzy] [Tisk ekonomických analýz] |
||
Parametry sestavy:
NoteKindAltTitle Typ poznámky pro alternativní název. |
ShowAllColums - Ano Ano - zobrazí všechny sloupce. |
ShowAllConditions - Ne Ano - v záhlaví se zobrazí všechny filtrovací podmínky; Ne - v záhlaví se zobrazí filtrovací podmínky stejně jako na spodním panelu Hlavní knihy (při větším počtu filtrovacích podmínek se nezobrazí všechny). |
UseAlterTitle - Ne Ano - použít alternativní název pro EA z poznámky. |

Ekonomická analýza - definice (podle účtů)
Číslo procesu: VYH001 |
Ident. č. sestavy: SUCT021 |
Soubor: UCT_EKAN05.AM |
Popis sestavy: Sestava zobrazí seznam účtů s uvedením, na kterém řádku aktuální ekonomické analýzy se nacházejí, a informaci o použitém definičním vztahu. |
||
Adresa ve stromu: - [Účetnictví] [Ekonomické analýzy] [Tisk ekonomických analýz] |
||
Parametry sestavy:
NoteKindAltTitle Typ poznámky pro alternativní název. |
ShowAllColums - Ano Ano - zobrazí všechny sloupce. |
ShowAllConditions - Ne Ano - v záhlaví se zobrazí všechny filtrovací podmínky; Ne - v záhlaví se zobrazí filtrovací podmínky stejně jako na spodním panelu Hlavní knihy (při větším počtu filtrovacích podmínek se nezobrazí všechny). |
ShowDefRelation - Ano Ano - zobrazí definiční vztahy. |
ShowFilters - Ano Ano - zobrazí popis filtru. |
ShowOnlyAccounts - Ne Ano - zobrazí pouze účty. |
UseAlterTitle - Ne Ano - použít alternativní název pro EA z poznámky. |

Ekonomická analýza - setříděná
Číslo procesu: VYH001 |
Ident. číslo sestavy: SUCT023 |
Soubor: UCT_EKANT.AM |
Popis sestavy: Tisk ekonomické analýzy podle zvoleného setřídění. Data lze setřídit podle řady, střediska, kódu zakázky, kódu zboží, data nebo podle sloupce (v libovolném pořadí). Ve výstupu se zobrazí i součty hodnot u prvního třídícího kritéria. |
||
Adresa ve stromu: [Účetnictví] [Ekonomické analýzy] [Tisk ekonomických analýz] |
||
Parametry sestavy:
Filters - Ano Ano - zobrazí filtr, na kterém byla sestava spuštěna. |
GenerovatMezisoucty - Ano Vytvářet mezisoučty. |
NotInterAktiv - Ne Ano - nezobrazí úvodní formulář pro zadání podmínek třídění. |
ShowAllConditions - Ne Ano - v záhlaví se zobrazí všechny filtrovací podmínky; Ne - v záhlaví se zobrazí filtrovací podmínky stejně jako na spodním panelu Hlavní knihy (při větším počtu filtrovacích podmínek se nezobrazí všechny). |
Sloupec - 0 Výběr sloupce pro zobrazení hodnot. |
ValueToSplitRow - 1000000 Hodnota, při které se mají částky zobrazit ve dvou řádcích. |
Zobrazit Zobrazit parametry. |

Ekonomická analýza data
Číslo procesu: VYH001 |
Ident. číslo sestavy: SUCT027 |
Soubor: UCT_EKAND.AM |
Popis sestavy: Tisk jednotlivých řádků ekonomické analýzy s uvedením hodnot za vybraná kritéria. |
||
Adresa ve stromu: - [Účetnictví] [Ekonomické analýzy] [Tisk ekonomických analýz] |
||
Parametry sestavy:
Filters - Ano Ano - zobrazí filtr, na kterém byla sestava spuštěna. |
Sloupec - 0 Výběr sloupce pro zobrazení hodnot. |
GenerovatMezisoucty - Ano Ano - vytvářet mezisoučty. |
Zobrazit Zobrazit parametry. |
NotInterAktiv - Ne Ano - nezobrazí formulář. |
ShowAllConditions - Ne Ano - v záhlaví se zobrazí všechny filtrovací podmínky; Ne - v záhlaví se zobrazí filtrovací podmínky stejně jako na spodním panelu Hlavní knihy (při větším počtu filtrovacích podmínek se nezobrazí všechny). |
ValueToSplitRow - 1000000 Hodnota, při které se mají částky zobrazit ve dvou řádcích. |

Rozvaha podle středisek
Čísl procesu: VYH001 |
Ident. číslo sestavy: SUCT273 |
Soubor: UCT_EKA.AM |
Popis sestavy: Sestava zobrazí jednotlivé řádky ekonomické analýzy, která má dva a více sloupců, v setřídění středisko / období / řádek ekonomické analýzy / sloupec ekonomické analýzy. Při použití tlačítka Export na zobrazené sestavě se vyexportují data za jednotlivá střediska do listů tabulky, období do sloupců tabulky, řádky ekonomické analýzy do řádků tabulky a sloupce ekonomické analýzy jako další řádek tabulky. Sestava umožňuje ukládání parametrů do „*.xml“ souboru. |
||
Adresa ve stromu: [Účetnictví] [Ekonomické analýzy] [Tisk ekonomických analýz] |
||
Parametry sestavy:
Viz parametry sestavy Tisk ekonomické analýzy.


Rozvaha podle středisek za období
Čísl procesu: VYH001 |
Ident. číslo sestavy: SUCT274 |
Soubor: UCT_EKA.AM |
Popis sestavy: Sestava zobrazí jednotlivé řádky ekonomické analýzy, která má dva a více sloupců, v setřídění středisko / řádek ekonomické analýzy / sloupec ekonomické analýzy, za období, které je zadáno při výpočtu ekonomické analýzy pomocí kláves Alt + F9. Při použití tlačítka Export na zobrazené sestavě se vyexportují data za jednotlivá střediska do sloupců tabulky, řádky ekonomické analýzy do řádků tabulky a sloupce ekonomické analýzy jako další řádek tabulky. Sestava umožňuje ukládání parametrů do „*.xml“ souboru. |
||
Adresa ve stromu: [Účetnictví] [Ekonomické analýzy] [Tisk ekonomických analýz] |
||
Parametry sestavy:
Viz parametry sestavy Tisk ekonomické analýzy.


Rozvaha podle zakázek
Čísl procesu: VYH001 |
Ident. číslo sestavy: SUCT275 |
Soubor: UCT_EKA.AM |
Popis sestavy: Sestava zobrazí jednotlivé řádky ekonomické analýzy, která má dva a více sloupců, v setřídění zakázka / období / řádek ekonomické analýzy / sloupec ekonomické analýzy. Při použití tlačítka Export na zobrazené sestavě se vyexportují data za jednotlivé zakázky do listů tabulky, období do sloupců tabulky, řádky ekonomické analýzy do řádků tabulky a sloupce ekonomické analýzy jako další řádek tabulky. Sestava umožňuje ukládání parametrů do „*.xml“ souboru. |
||
Adresa ve stromu: [Účetnictví] [Ekonomické analýzy] [Tisk ekonomických analýz] |
||
Parametry sestavy:
Viz parametry sestavy Tisk ekonomické analýzy.


Rozvaha podle zakázek za období
Čísl procesu: VYH001 |
Ident. číslo sestavy: SUCT276 |
Soubor: UCT_EKA.AM |
Popis sestavy: Sestava zobrazí jednotlivé řádky ekonomické analýzy, která má dva a více sloupců, v setřídění zakázka / řádek ekonomické analýzy / sloupec ekonomické analýzy, za období, které je zadáno při výpočtu ekonomické analýzy pomocí kláves Alt + F9. Při použití tlačítka Export na zobrazené sestavě se vyexportují data za jednotlivé zakázky do sloupců tabulky, řádky ekonomické analýzy do řádků tabulky a sloupce ekonomické analýzy jako další řádek tabulky. Sestava umožňuje ukládání parametrů do „*.xml“ souboru. |
||
Adresa ve stromu: [Účetnictví] [Ekonomické analýzy] [Tisk ekonomických analýz] |
||
Parametry sestavy:
Viz parametry sestavy Tisk ekonomické analýzy.


Rozvaha por. pl. a skuteč. za období
Čísl procesu: VYH001 |
Ident. číslo sestavy: SUCT278 |
Soubor: UCT_EKA.AM |
Popis sestavy: Sestava zobrazí jednotlivé řádky ekonomické analýzy, která má dva a více sloupců, v setřídění kniha / řádek ekonomické analýzy / sloupec ekonomické analýzy, za období, které je zadáno při výpočtu ekonomické analýzy pomocí kláves Alt + F9. Při použití tlačítka Export na zobrazené sestavě se vyexportují data za jednotlivé knihy do sloupců tabulky, řádky ekonomické analýzy do řádků tabulky a sloupce ekonomické analýzy jako další řádek tabulky. Sestava umožňuje ukládání parametrů do „*.xml“ souboru. |
||
Adresa ve stromu: [Účetnictví] [Ekonomické analýzy] [Tisk ekonomických analýz] |
||
Parametry sestavy:
Viz parametry sestavy Tisk ekonomické analýzy.


Rozvaha por. plánu a skutečnosti
Čísl procesu: VYH001 |
Ident. číslo sestavy: SUCT277 |
Soubor: UCT_EKA.AM |
Popis sestavy: Sestava zobrazí jednotlivé řádky ekonomické analýzy, která má dva a více sloupců, v setřídění kniha / období / řádek ekonomické analýzy / sloupec ekonomické analýzy. Při použití tlačítka Export na zobrazené sestavě se vyexportují data za jednotlivé knihy do listů tabulky, období do sloupců tabulky, řádky ekonomické analýzy do řádků tabulky a sloupce ekonomické analýzy jako další řádek tabulky. Sestava umožňuje ukládání parametrů do „*.xml“ souboru. |
||
Adresa ve stromu: [Účetnictví] [Ekonomické analýzy] [Tisk ekonomických analýz] |
||
Parametry sestavy:
Viz parametry sestavy Tisk ekonomické analýzy.


Výsledovka podle středisek
Čísl procesu: VYH001 |
Ident. číslo sestavy: SUCT253 |
Soubor: UCT_EKA.AM |
Popis sestavy: Sestava zobrazí jednotlivé řádky ekonomické analýzy, která má jeden sloupec, v setřídění středisko / období / řádek ekonomické analýzy. Při použití tlačítka Export na zobrazené sestavě se vyexportují data za jednotlivá střediska do listů tabulky, období do sloupců tabulky a řádky ekonomické analýzy do řádků tabulky. Sestava umožňuje ukládání parametrů do „*.xml“ souboru. |
||
Adresa ve stromu: [Účetnictví] [Ekonomické analýzy] [Tisk ekonomických analýz] |
||
Parametry sestavy:
Viz parametry sestavy Tisk ekonomické analýzy.


Výsledovka podle středisek za období
Čísl procesu: VYH001 |
Ident. číslo sestavy: SUCT268 |
Soubor: UCT_EKA.AM |
Popis sestavy: Sestava zobrazí jednotlivé řádky ekonomické analýzy, která má jeden sloupec, v setřídění středisko / řádek ekonomické analýzy, za období, které je zadáno při výpočtu ekonomické analýzy pomocí kláves Alt + F9. Při použití tlačítka Export na zobrazené sestavě se vyexportují data za střediska do sloupců tabulky a řádky ekonomické analýzy do řádků tabulky. Sestava umožňuje ukládání parametrů do „*.xml“ souboru. |
||
Adresa ve stromu: [Účetnictví] [Ekonomické analýzy] [Tisk ekonomických analýz] |
||
Parametry sestavy:
Viz parametry sestavy Tisk ekonomické analýzy.


Výsledovka podle zakázek
Čísl procesu: VYH001 |
Ident. číslo sestavy: SUCT269 |
Soubor: UCT_EKA.AM |
Popis sestavy: Sestava zobrazí jednotlivé řádky ekonomické analýzy, která má jeden sloupec, v setřídění zakázka / období / řádek ekonomické analýzy. Při použití tlačítka export na zobrazené sestavě se vyexportují data za jednotlivé zakázky do listů tabulky, období do sloupců tabulky a řádky ekonomické analýzy do řádků tabulky. Sestava umožňuje ukládání parametrů do „*.xml“ souboru. |
||
Adresa ve stromu: [Účetnictví] [Ekonomické analýzy] [Tisk ekonomických analýz] |
||
Parametry sestavy:
Viz parametry sestavy Tisk ekonomické analýzy.


Výsledovka podle zakázek za období
Čísl procesu: VYH001 |
Ident. číslo sestavy: SUCT270 |
Soubor: UCT_EKA.AM |
Popis sestavy: Sestava zobrazí jednotlivé řádky ekonomické analýzy, která má jeden sloupec, v setřídění zakázka / řádek ekonomické analýzy, za období, které je zadáno při výpočtu ekonomické analýzy pomocí kláves Alt + F9. Při použití tlačítka Export na zobrazené sestavě se vyexportují data za zakázky do sloupců tabulky a řádky ekonomické analýzy do řádků tabulky. Sestava umožňuje ukládání parametrů do „*.xml“ souboru. |
||
Adresa ve stromu: [Účetnictví] [Ekonomické analýzy] [Tisk ekonomických analýz] |
||
Parametry sestavy:
Viz parametry sestavy Tisk ekonomické analýzy.


Výsledovka porov. pl. a skut. za období
Čísl procesu: VYH001 |
Ident. číslo sestavy: SUCT272 |
Soubor: UCT_EKA.AM |
Popis sestavy: Sestava zobrazí jednotlivé řádky ekonomické analýzy, která má jeden sloupec, v setřídění kniha / řádek ekonomické analýzy, za období, které je zadáno při výpočtu ekonomické analýzy pomocí kláves Alt + F9. Při použití tlačítka Export na zobrazené sestavě se vyexportují data za knihy do sloupců tabulky a řádky ekonomické analýzy do řádků tabulky. Sestava umožňuje ukládání parametrů do „*.xml“ souboru. |
||
Adresa ve stromu: [Účetnictví] [Ekonomické analýzy] [Tisk ekonomických analýz] |
||
Parametry sestavy:
Viz parametry sestavy Tisk ekonomické analýzy.


Výsledovka porovnání pl. a skuteč.
Čísl procesu: VYH001 |
Ident. číslo sestavy: SUCT271 |
Soubor: UCT_EKA.AM |
Popis sestavy: Sestava zobrazí jednotlivé řádky ekonomické analýzy, která má jeden sloupec, v setřídění kniha / období / řádek ekonomické analýzy. Při použití tlačítka export na zobrazené sestavě se vyexportují data za jednotlivé knihy do listů tabulky, období do sloupců tabulky a řádky ekonomické analýzy do řádků tabulky. Sestava umožňuje ukládání parametrů do „*.xml“ souboru. |
||
Adresa ve stromu: [Účetnictví] [Ekonomické analýzy] [Tisk ekonomických analýz] |
||
Parametry sestavy:
Viz parametry sestavy Tisk ekonomické analýzy.


Časové rozlišení
Inventarizace časového rozlišení
Číslo procesu: |
Ident. č. sestavy: |
Soubor: AccrualsInventory.AM |
Popis sestavy: Sestava pro inventarizaci časového rozlišení. Je určena pro účty, kdy dochází nejdříve k zaúčtování časového rozlišení a pak v dalším období k zaúčtování do nákladů. Pokud se před číslem dokladu zobrazí vykřičník, znamená to, že k datu inventarizace je na dokladu časového rozlišení položka, ke které nebyl vytvořen interní doklad. |
||
Adresa ve stromu: [Účetnictví - Časové rozlišení] |
||
Parametry sestavy:
AccBooks - U Knihy účetnictví oddělené středníkem. |
AccrualsAccounts - 381;382;384 Účty časového rozlišení. |
AllowCancelled - Ne Ano - Povolit zpracování stornovaných dokladů. |
AllowIsHidden - Ano Povolit zpracování skrytých záznamů. |
CurrentMultiCompanyAccountingBook - Ano Ano - Kniha účetnictví dle aktuální firmy. |
CurrentRecord - Ne Ano - Zpracovat aktuální záznam. |
DisableItemFilter - Ano Ano - Vypnout zobrazovací filtr na položkách. |
EvaluationFilter - Ne Ano - Zpracovat záznamy z kontejneru. |
GroupByCurrency - Ne Ano - Doklady se seskupí podle měny. |
IgnoreFieldRight - Ne Ano - Ignorovat právo na pole. |
IgnoreSelection - Ne Ano - Zpracovat záznamy bez ohledu na označené záznamy. |
InventoryToDate - 00.00.0000 Inventarizace k datu. |
LiabilitiesAccounts - 384 Pasivní účty - u zůstatku z Hlavní knihy se otočí znaménko. |
OnlyBrowse - Ano Ano - Spustit pouze v prohlížení. |
OnlyConfirmed - Ne Ano - Zpracovat pouze potvrzené doklady. |
OnlyRecWithRight - Ano Ano - Zpracovat pouze záznamy na které má uživatel právo. |
ReportTitle Lze nadefinovat vlastní Název sestavy. |
ShowBothCurr - Ano Ano - Zobrazí částky v měně dokladu i v měně firmy. |

Kontroly zaúčtování
Kontrola zaúčtování DPH
Číslo procesu: UCT033 |
Ident. č. sestavy: SUCT354 |
Soubor: CHECKVAT_LIST.AM |
Popis sestavy: Sestava zobrazí doklady, zobrazené ve funkci Kontrola zaúčtování DPH. |
||
Adresa ve stromu: |
||
Parametry sestavy:
bez parametrů |

Kontrola zaúčtování pohledávek, závazků a plateb
Číslo procesu: UCT002; UCT032; UCT036 |
Ident. č. sestavy: SUCT355 |
Soubor: CHECKRELATIONSPAYMENTS_LIST.AM |
Popis sestavy: Sestava zobrazí doklady, zobrazené ve funkci Kontrola zaúčtování pohledávek, závazků a plateb. |
||
Adresa ve stromu: |
||
Parametry sestavy:
bez parametrů |

KK Obrat MD faktur vydaných
Číslo procesu: UCT002 |
Ident. č. sestavy: SUCT326 |
Soubor: KK_VF_OBRMD.AM |
Popis sestavy: Sestava pro kontrolu obratu Md. Spouští se nad filtrem potvrzených faktur s Datem úč. případu v příslušném období. Obrat a jeho kumulace, zobrazené v sestavě, odpovídá obratům na odběratelských / dodavatelských účtech v Hlavní knize. |
||
Adresa ve stromu: [Účetnictví] [Kontroly zaúčtování] |
||
Parametry sestavy:
Accounts - Možno zadat více účtů oddělených středníkem - implicitně prázdné - zpracují se všechny doklady. |
DateFrom - 0.0.0000 Datum od. implicitně je nastaveno na začátek měsíce předcházející aktuálnímu. |
DateTo - 0.0.0000 Datum od. implicitně je nastaveno na konec měsíce předcházející aktuálnímu. |
NoInteractive - Ne Ne - Zobrazí formulář pro zadání datum od/do, Ano - Nezobrazí formulář. |

KK Platby faktur vydaných
Číslo procesu: UCT002; UCT020 |
Ident. číslo sestavy: SUCT081 |
Soubor: KKPLVF01.AM |
Popis sestavy: Sestava zobrazuje seznam plateb faktur vydaných a čerpání záloh v zadaném období v setřídění podle účtů, na který by doklady měly být zaúčtovány. Sestava se používá ke kontrole obratu Dal analytických účtů 311. |
||
Adresa ve stromu: [Účetnictví] [Kontroly zaúčtování] [Kontrola obratu D VF] |
||
Parametry sestavy:
Do_Data - 0.0.0000 Zpracovat doklady do data. |
FiltrFA - Ne Ano - kontrola běží na kontejneru faktur vydaných. |
FiltrPDOBVY - Ne Ano - kontrola běží na kontejneru pokladních dokladů a bankovních výpisů. |
NoInteraktive - Ne Ano - skryje vstupní formulář. |
Od_Data - 0.0.0000 Zpracovat doklady od data. |
VyberFa - Ne Ano - kontrola běží na filtru faktur vydaných. |

KK Obrat D faktur přijatých
Číslo procesu: UCT002 |
Ident. č. sestavy: SUCT327 |
Soubor: KK_PF_OBRD.AM |
Popis sestavy: Sestava pro kontrolu obratu Dal. Spouští se nad filtrem potvrzených faktur s Datem úč. případu v příslušném období. Obrat a jeho kumulace, zobrazené v sestavě, odpovídá obratům na odběratelských / dodavatelských účtech v Hlavní knize. |
||
Adresa ve stromu: [Účetnictví] [Kontroly zaúčtování] |
||
Parametry sestavy:
Accounts - Možno zadat více účtů oddělených středníkem - implicitně prázdné - zpracují se všechny doklady. |
DateFrom - 0.0.0000 Datum od. implicitně je nastaveno na začátek měsíce předcházející aktuálnímu. |
DateTo - 0.0.0000 Datum od. implicitně je nastaveno na konec měsíce předcházející aktuálnímu. |
NoInteractive - Ne Ne - Zobrazí formulář pro zadání datumu od/do, Ano - Nezobrazí formulář. |

KK Platby faktur přijatých
Číslo procesu: UCT020; UCT002 |
Ident. č. sestavy: SUCT080 |
Soubor: KKPLPF01.AM |
Popis sestavy: Sestava zobrazuje seznam plateb faktur přijatých a čerpání záloh s datem úč. případu v zadaném období v setřídění podle účtů, na který by doklady měly být zaúčtovány. Sestava se používá ke kontrole obratu Má dáti analytických účtů 321. |
||
Adresa ve stromu: [Účetnictví] [Kontroly zaúčtování] [Kontrola obratu MD PF] |
||
Parametry sestavy:
Do_Data - 0.0.0000 Zpracovat doklady do data. |
FiltrFA - Ne Ano - kontrola běží na kontejneru faktur přijatých. |
FiltrPDOBVY - Ne Ano - kontrola běží na kontejneru pokladních dokladů a bankovních výpisů. |
NoInteraktive - Ne Ano - skryje vstupní formulář. |
Od_Data - 0.0.0000 Zpracovat doklady od data. |
VyberFa - Ne Ano - kontrola běží na filtru faktur přijatých. |

KK Zálohy
Číslo procesu: |
Ident. č. sestavy: SUCT305 |
Soubor: CC_ADVANCES.AM |
Popis sestavy: Sestava zobrazuje seznam záloh přijatých / poskytnutých s datem uskutečnění v zadaném období, seznam plateb záloh s datem vystavení v zadaném období, seznam faktur s čerpáním záloh s datem čerpání v zadaném období a seznam kurzových pokladních dokladů s datem vystavení v zadaném období. Všechny doklady jsou na sestavě setříděny podle účtů, na které by měly být zaúčtovány, a seřazeny chronologicky podle data. Používá se ke kontrole obratu Má dáti a obratu Dal analytických účtů 324 a 314. |
||
Adresa ve stromu: [Účetnictví] [Kontroly zaúčtování] |
||
Parametry sestavy:
Date_From - 0.0.0000 Zpracovat doklady od data. |
Date_To - 0.0.0000 Zpracovat doklady do data. |
NoInteraktive - Ne Ano - nezobrazí vstupní formulář. |

KK Pokladní doklady
Číslo procesu: UCT020 |
Ident. číslo sestavy: SUCT082 |
Soubor: KK_PDO.AM |
Popis sestavy: Sestava zobrazuje seznam položek pokladních dokladů v zadaném období v setřídění podle účtů, na který by doklady měly být zaúčtovány. Používáme ji ke kontrole obratů účtů 211. |
||
Adresa ve stromu: [Účetnictví] [Kontroly zaúčtování] |
||
Parametry sestavy:
Do_data - 0.0.0000 Zpracovat doklady do data. |
NoInteraktive - Ne Ano - skryje vstupní formulář. |
Od_data - 0.0.0000 Zpracovat doklady od data. |

KK Bankovních výpisů
Číslo procesu: UCT020; UCT006; UCT007 |
Ident. č. sestavy: SUCT079 |
Soubor: KK_BVY.AM |
Popis sestavy: Sestava zobrazuje seznam položek bankovních výpisů v zadaném období v setřídění podle účtů, na který by doklady měly být zaúčtovány. Používáme ji ke kontrole obratů analytických účtů 221. |
||
Adresa ve stromu: [Účetnictví] [Kontroly zaúčtování] |
||
Parametry sestavy:
DatumDo - 0.0.0000 Zpracovat doklady do data. |
DatumOd - 0.0.0000 Zpracovat doklady od data. |
NeInteraktiv - Ne Ano - skryje vstupní formuláře. |

Kontrola zaúčtování skladů
Číslo procesu: UCT009; UCT010; UCT011; UCT012 |
Ident. č. sestavy: SUCT356 |
Soubor: CHECKSTOCKLIST.AM |
Popis sestavy: Sestava zobrazí doklady, zobrazené ve funkci Kontrola zaúčtování skladů. |
||
Adresa ve stromu: |
||
Parametry sestavy:
bez parametrů |

KK Skladová evidence
Číslo procesu: UCT020; UCT009-012 |
Ident. číslo sestavy: SUCT085 |
Soubor: KK_SKL01_SQL.AM |
Popis sestavy: Sestava zobrazuje seznam skladových dokladů s datem 1. potvrzení (u převodek 2. potvrzení) v zadaném období v setřídění podle účtů, na které by doklady měly být zaúčtovány (dle účtu zadaného ve skladu v druhu účtování nebo v poli Účet). Používáme ji ke kontrole obratů skladových účtů. |
||
Adresa ve stromu: [Účetnictví] [Kontroly zaúčtování] |
||
Parametry sestavy:
Do_data - 0.0.0000 Zpracovat doklady do data. |
DrillDown - Ne Ano - pokud i par. "OrderByArticle", tak se zobrazí pro každé zboží rozpad na doklady. |
FiltPre - 2 0 - ignorují se převodky; 1 - kontejner převodek; 2 - všechny doklady dle data. |
FiltPri - 2 0 - ignorují se příjemky; 1 - kontejner příjemek; 2 - všechny příjemky dle data. |
FiltVyd - 2 0 - ignorují se výdejky; 1 - kontejner výdejek; 2 - všechny výdejky dle data. |
FiltVyr - 2 0 - ignorují se průvodky; 1 - kontejner průvodek; 2 - všechny průvodky dle data. |
FiltZbo - 2 0 - vše; 1 - kontejner; 2 - jen typ zbožní, rozpis zboží, obaly. |
Nesumovat - Ne Ano - Nesumuje položky za doklad a účet. |
NoInteraktive - Ne Ano - skryje vstupní formulář. |
Od_data - 0.0.0000 Zpracovat doklady od data. |
OrderByArticle - Ne Ano - položky dokladu seskupí podle zboží. |
PouzeSklady - Ne Zobrazí pouze vybrané listové sklady, musí být čárka na začátku i na konci. |
PouzeSUctem - Ano Zobrazí pouze řádky, kde je účet. |

Kontrola zaúčtování majetku
Číslo procesu: UCT037 |
Ident. č. sestavy: SUCT357 |
Soubor: CHECKASSET.AM |
Popis sestavy: Sestava zobrazí doklady, zobrazené ve funkci Kontrola zaúčtování majetku. |
||
Adresa ve stromu: |
||
Parametry sestavy:
bez parametrů |

KK majetek
Číslo procesu: UCT037 |
Ident. číslo sestavy: SMAJ038 |
Soubor: AssetCrossCheck.AM |
Popis sestavy: Křížová kontrola majetku. |
||
Adresa ve stromu: [Majetek] [Kniha majetku] [Kontroly účtování] [Účetnictví] [Kontroly zaúčtování] |
||
Parametry sestavy:
DateFrom Datum od. Hodnota se předvyplní do pole ve formuláři. |
DateTo Datum do. Hodnota se předvyplní do pole ve formuláři. |
GroupByAccount - 0 Seskupí podle účtu 0 - majetkového, 1 - pořízení, 2 - odpisového, 3 - oprávkového. |
Interactive - Ano Ano - zobrazí vstupní formulář; Ne - nezobrazí vstupní formulář. |
InventoryNumber - Ne Ne - tiskne číslo karty majetku; Ano - místo čísla se tiskne inventární číslo karty. |
PlanTypeAbbr - U Zkratka typu plánu, jehož hodnoty se mají zobrazit (lze zadat více typů plánů, oddělených středníkem). |
Title Text vyplněný v hodnotě parametru, se zobrazí jako název sestavy při tisku. |

Saldo ostatních pohledávek podle účtu
Číslo procesu:UCT032 |
Ident. č. sestavy: SUCT338 |
Soubor: OPENITEMLIST.AM |
Popis sestavy: Sestava obsahuje seznam nezaplacených ostatních pohledávek seskupený podle pohledávkového účtu. U každého dokladu je vyčísleno brutto, zaplaceno a saldo. Za každý účet je k dispozici celkové saldo. |
||
Adresa ve stromu: [Účetnictví] [Kontroly zaúčtování] |
||
Parametry sestavy:
Viz parametry sestavy Saldokonto - základní informace. Odlišně jsou nastaveny tyto parametry:
InvoiceOut - Ne |
InvoiceIn - Ne |
Liability - Ne |
OrderByAccount - Ano |
OrderByCompany - Ne |
ProvidedAdvances - Ne |
ReceivedAdvances - Ne |
ShowExchangeRate - Ano |

Saldo ostatních závazků podle účtu
Číslo procesu:UCT032 |
Ident. č. sestavy: SUCT339 |
Soubor: OPENITEMLIST.AM |
Popis sestavy: Sestava obsahuje seznam nezaplacených ostatních závazků seskupený podle závazkového účtu. U každého dokladu je vyčísleno brutto, zaplaceno a saldo. Za každý účet je k dispozici celkové saldo. |
||
Adresa ve stromu: [Účetnictví] [Kontroly zaúčtování] |
||
Parametry sestavy:
Viz parametry sestavy Saldokonto - základní informace. Odlišně jsou nastaveny tyto parametry:
InvoiceOut - Ne |
InvoiceIn - Ne |
OrderByAccount - Ano |
OrderByCompany - Ne |
ProvidedAdvances - Ne |
Receivable - Ne |
ReceivedAdvances - Ne |
ShowExchangeRate - Ano |

Souhrn výstupních složek mezd dle kontace
Číslo procesu: |
Ident. číslo sestavy: SUCT346 |
Soubor: PREMPACC_PrCompO.AM |
Popis sestavy: Spustitelné z knihy Zaúčtování mezd. Sestava zobrazuje seznam mzdových složek sumovaných dle kontací a dle vybrané osy - implicitně dle střediska. |
||
Adresa ve stromu: [Účetnictví] [Kontroly zaúčtování] |
||
Parametry sestavy:
Accfield -Pole pro účtovací osu Implicitně středisko, ale je možné zadat jakoukoli jinou účtovací osu (Kód zakázky - ContractCode, Zboží - ArticleCode apod.) |

Kontrola zaúčtování mezd
Číslo procesu: |
Ident. číslo sestavy: SUCT173 |
Soubor: MZU_UCTO.AM |
Popis sestavy: Kontrola správnosti zaúčtování mezd. Spustitelné z knihy Zaúčtování mezd. |
||
Adresa ve stromu: [Účetnictví] [Kontroly zaúčtování] |
||
Parametry sestavy:
NoInteractive - Ne Ano - nezobrazovat vstupní formulář. |
Sorting - Setřídění podle STR; ZAK; ZBO; UCET; UCED. |
Sorting2 -setřídění položek v tabulce . Setřídění podle STR; ZAK; ZBO; UCET; UCED. |
SumTotal - Ano Zobrazovat součet. |

Přecenění k rozvahovému dni
Přecenění závazků a pohledávek k RD - návrh
Číslo procesu: UCT022 |
Ident. č. sestavy: SUCT335 |
Soubor: ORP_OVERRATEPRINT.AM |
Popis sestavy: Zobrazí návrh přecenění závazků a pohledávek k rozvahovému dni. Sestava je spustitelná z funkce Přecenění závazků a pohledávek spustitelné ze stromového menu v uzlu [Účetnictví][Přecenění k rozvahovému dni][Přecenění závazků a pohledávek]. |
||
Adresa ve stromu: |
||
Parametry sestavy:
bez parametrů |

Přecenění závazků a pohledávek k RD
Číslo procesu: UCT022 |
Ident. č. sestavy: SUCT336 |
Soubor: INT_OVERRATE.AM |
Popis sestavy: Zobrazí interní doklady vzniklé z přecenění závazků a pohledávek k rozvahovému dni. |
||
Adresa ve stromu:[Účetnictví][Přecenění k rozvahovému dni][Přecenění závazků a pohledávek] |
||
Parametry sestavy:
bez parametrů |

Návrh přecenění banky a pokladny
Číslo procesu: UCT022 |
Ident. č. sestavy: SUCT344 |
Soubor: INT_OVERRATE.AM |
Popis sestavy: Zobrazí návrh přecenění banky a pokladny. Sestavu lze spustit pouze z formuláře pro přecenění. |
||
Adresa ve stromu: |
||
Parametry sestavy:
bez parametrů |

Opravné položky k pohledávkám
Přehled opravných položek
Číslo procesu: UCT038 |
Ident. č. sestavy: SUCT345 |
Soubor: CORR_ITEM.AM |
Popis sestavy: Sestava zobrazí přehled existujících opravných položek k pohledávkám setříděných za jednotlivé typy. V rámci typů jsou pak pohledávky seřazené za zákazníka. Pro každou pohledávku je zobrazen přehled za poslední tři roky.
[Účetnictví][Opravné položky k pohledávkám][Přehled opravných položek]. |
||
Adresa ve stromu: |
||
Parametry sestavy:
Title Název sestavy. |

Spotřební daň
Spotřební daň
Číslo procesu: ZAK016 |
Ident. číslo sestavy: SZAK151 |
Soubor: EXCISETAX.AM |
Popis sestavy: Evidence vybraných výrobků podléhajících spotřební dani. |
||
Adresa ve stromu: [Účetnictví] [Funkce] [Spotřební daně] |
||
Parametry sestavy:
DateFrom - 0.0.0000 Zdaňovací období - datum od. |
DateTo - 0.0.0000 Zdaňovací období - datum do. |
MandantID - -1 Číslo mandanta z Dod./Odb. (číslo představuje vlastní firmu). |
ProductionStockList - VYR;NV Seznam zkratek výrobních skladů, oddělených ";". |
