Finance
Bankovní příkazy
Bankovní příkaz
Číslo procesu: FIN003 |
Ident. číslo sestavy: SFIN024 |
Soubor: BPR_DOK02.AM |
Popis sestavy: Bankovní příkaz. Setřídění podle K2. |
||
Adresa ve stromu: [Finance] [Banka] [Tisk dokladů - seznamy] |
||
Parametry sestavy:
Grouping - Ne Ano - seskupí položky podle sumace; Ne - neseskupí. |
OnlyConfirmed - Ne Ano - zpracuje pouze potvrzené doklady. |
PublishedAccount - Ne Ano - před účtem, který je zveřejněn v registru plátců DPH, zobrazí hvězdičku. |
ShowBothCurrs - Ne Ano - zobrazí obě měny. Zobrazí částku dokladu v měně i částku přepočtenou na měnu mandanta podle aktuálního kurzu. |
ShowFirm - Ano Ano - zobrazí sloupec Firma, Ne - nezobrazí. |
ShowSwiftAndIBAN - Ne Ano - IBAN a SWIFT se zobrazí, pro každou knihu bank. účtů je musíme zadat do knihy s nulovým prefixem. |
ShowSwiftAndIBANInItem - Ne Ano - zobrazí IBAN a SWIFT pro jednotlivé položky bankovního příkazu. |
ShowTradingPartnerName - Ne Ano - zobrazí místo Zkratky firmy Název firmy (ořezaný). |
ShowTradingPartnerNameCanGrow - Ne Ano - zobrazí celý název firmy (i na více řádků). |
Sorting - 3 V závislosti na hodnotě se setřídí položky. Hodnota parametru 0 setřídí podle zákazníka; 1 - podle částky (vzestupně); 2 - podle účtu; 3 - podle K2. |

Bankovní příkaz - seskupené platby
Číslo procesu: FIN003 |
Ident. číslo sestavy: SFIN031 |
Soubor: BPR_DOK02.AM |
Popis sestavy: Bankovní příkaz. Položky zobrazí seskupené podle zákazníků |
||
Adresa ve stromu: [Finance] [Banka] [Tisk dokladů - seznamy] |
||
Parametry sestavy:
Viz parametry sestavy Bankovní příkaz. Odlišně jsou nastaveny tyto parametry:
Grouping - Ano |

Platební avízo
Číslo procesu: FIN003 |
Ident. číslo sestavy: SFIN037 |
Soubor: HB_PaymentNotice.AM |
Popis sestavy: Platební avízo. Sestava zobrazí rozpis seskupených plateb dle konkrétního dodavatele. V datu dokladu se uvádí Datum KH, pokud je nulové, tak Datum účetního případu. |
||
Adresa ve stromu: [Finance] [Banka] [Tisk dokladů - seznamy] |
||
Parametry sestavy:
SupplFromMandant- Zobrazí typ dodatku z parametru mandanta. |
PrintAlll - vytiskne seskupené platby pro všechny skupiny. |
PrintUngrouped - vytiskne Platební avízo i pro neseskupené položky. |

Bankovní příkaz - třídění dle dodavatele
Číslo procesu: FIN003 |
Ident. číslo sestavy: SFIN029 |
Soubor: BPR_DOK02.AM |
Popis sestavy: Bankovní příkaz - položky jsou seřazeny podle dodavatele. |
||
Adresa ve stromu: [Finance] [Banka] [Tisk dokladů - seznamy] |
||
Parametry sestavy:
Viz parametry sestavy Bankovní příkaz. Odlišně jsou nastaveny tyto parametry:
Sorting - 0 |

Bankovní příkaz - třídění dle čísla účtu
Číslo procesu: FIN003 |
Ident. číslo sestavy: SFIN030 |
Soubor: BPR_DOK02.AM |
Popis sestavy: Bankovní příkaz - položky jsou seřazeny podle čísla účtu. |
||
Adresa ve stromu: [Finance] [Banka] [Tisk dokladů - seznamy] |
||
Parametry sestavy:
Viz parametry sestavy Bankovní příkaz. Odlišně jsou nastaveny tyto parametry:
Sorting - 2 |

Hromadný příkaz k úhradě
Číslo procesu: ZAS014 |
Ident. číslo sestavy: SFIN005 |
Soubor: BPR_DOK01.AM |
Popis sestavy: Bankovní příkaz |
||
Adresa ve stromu: [Finance] [Banka] [Tisk dokladů - seznamy] |
||
Parametry sestavy:
VetsiMezeryMeziRadky - Ne Ne - zachová standardní řádkování; Ano - zvětší mezery mezi řádky. |

Bankovní výpisy
Bankovní výpis
Číslo procesu:FIN002, EXP010, ZAS015 |
Id. číslo sestavy: SFIN006 |
Soubor: BVY_DOK01.AM |
Popis sestavy: Bankovní výpis |
||
Adresa ve stromu: [Finance] [Banka] [Tisk dokladů - seznamy] |
||
Parametry sestavy:
DisplayAssignement - Ne Ano - zobrazí zaúčtování dokladu. |
ShowBothCurrs- Ne Ano - zobrazí obě měny, částky v měně i přepočet na měnu mandanta podle aktuálního kurzu. |

Bankovní výpisy dle protiúčtu
Číslo procesu: FIN002 |
Identifikační číslo sestavy: SFIN028 |
Soubor: BVY_SEZ03.AM |
Popis sestavy: Bankovní výpisy - dle protiúčtu. Sestava zobrazuje položky bankovních výpisů setříděné dle protiúčtu. Pozn.: Do sestavy nejsou zahrnuty všechny doklady z knihy bankovních výpisů. |
||
Adresa ve stromu: [Finance] [Banka] [Tisk dokladů - seznamy] |
||
Parametry sestavy:
CompanySorting - Ano Ano - setřídí podle firmy. |
CounterAccountFilter - Ano Filtr protiúčtů (oddělte středníkem). |
Currency Ano - Setřídění podle měny. |
DateFrom - 0.0.0000 Datum od. |
DateTo - 0.0.0000 Datum do. |
ChooseCustomer Ano - umožní zadat do formuláře zákazníky, za které se pak zobrazuje výstup. Podmínkou je mít nastavený parametr CompanySorting na True. |
NewPage - Ano Ano - nová stránka. |
NoInteractive - Ano Ano - nezobrazovat vstupní formulář. |
ShowBothCurrs - Ne Ano - zobrazí obě měny, částky v měně dokladu i přepočtené na měnu mandanta. |

Seznam bankovních výpisů
Číslo proces: FIN002 |
Ident. číslo sestavy: SFIN007 |
Soubor: BVY_SEZ01.AM |
Popis sestavy: Seznam bankovních výpisů, rozdělených podle příslušného účtu včetně sumáře. |
||
Adresa ve stromu: [Finance] [Banka] [Tisk dokladů - seznamy] |
||
Parametry sestavy:
ShowBothCurrs - Ne Ano - zobrazí obě měny, částky v měně dokladu i přepočtené na měnu mandanta. |

Kniha bankovních dokladů - podrobná
Číslo procesu: FIN002 |
Ident. číslo sestavy: SFIN008 |
Soubor: BVY_SEZ02.AM |
Popis sestavy: Po spuštění sestavy zadáte parametry od - do (tj., od kterého do kterého data se mají doklady zobrazit). Údaje se zobrazují v měně bankovního účtu a v měně firmy. Je-li měna bankovního účtu shodná s měnou firmy, pak se zobrazují údaje pouze jednou. Celkový součet je pouze v měně firmy, protože nelze sčítat různé měny dohromady. V případě že používáte k přecenění bankovních účtů položku typu P (příjmovou) nebo V (výdajovou) bez hodnoty v měně, kde je vyčíslený pouze kurzový rozdíl, tato částka se napočítá do počátečních stavů účtu. |
||
Adresa ve stromu:[Finance] [Banka] [Tisk dokladů - seznamy] |
||
Parametry sestavy:
FromDate - 0.0.0000 Od data. |
ToDate - 0.0.0000 Do data. |
ShowBothCurrs - Ne Ano - zobrazí obě měny, částky v měně dokladu i přepočtené na měnu mandanta. |
SortBy - 0 Třídí položky podle: 0 - čísla dokladu a čísla položky dokladu; 1 - čísla dokladu, data vystavení položky a podle čísla položky. |

Výpis bankovních dokladů
Číslo procesu: FIN002 |
Ident. číslo sestavy: SFIN009 |
Soubor: BVY_VYP01.AM |
Popis sestavy: Výpis bankovních výpisů za sebou, včetně položek. |
||
Adresa ve stromu: [Finance] [Banka] [Tisk dokladů - seznamy] |
||
Parametry sestavy:
ShowBothCurrs - Ne Ano - zobrazí obě měny, částky v měně dokladu i přepočtené na měnu mandanta. |

Zůstatky bankovních účtů ke dni
Číslo procesu: FIN002,UCT007 |
Ident. číslo sestavy: SFIN036 |
Soubor: BankAccountBalance.AM |
Popis sestavy: Sestava zobrazí zůstatky bankovních účtů ke zvolenému dni. Po spuštění sestavy se zobrazí vstupní formulář pro zadání "K datu". Na formuláři je možné si zatrhnout zobrazení v měně, částky dokladu se pak zobrazují v měně dokladu i v měně firmy. |
||
Adresa ve stromu: [Finance] [Banka] [Tisk dokladů - seznamy] |
||
Parametry sestavy:
AccBooks - U Knihy účetnictví (oddělené středníkem), ze kterých se zůstatek hlavní knihy napočte. |
Account - Ano Ano - pokud je zvoleno setřídění dle zkratky bankovního účtu, zobrazí se účet bankovního účtu. |
BothCurr - Ne Ano - zobrazí obě měny - částky dokladu v měně bankovního účtu i v měně firmy. |
CurrentOwnCompanyAccountingBook - Ne Ano - pokud je v nastavení pro firmy uvedená kniha účetnictví (Správa multi company/Účtování/ Zaúčtovat do knihy), pak se ignoruje hodnota parametru AccBooks - "[U] Knihy účetnictví odděleny středníkem" a zůstatek "Hlavní knihy" se napočte pro tuto účetní knihu. |
DateTo - 0.0.0000 K datu. |
IgnoreBooks - Zkratky knih (oddělené středníkem), které se nemají zobrazit. |
Interactive - Ano Ano - zobrazí vstupní formulář;Ne - nezobrazí vstupní formulář. |
Title - Název sestavy. |
ShowGenLedgerBalance - Ano Ano - u každého účtu banky se zobrazí zůstatek na účtu z Hlavní knihy a vyčíslí se rozdíl mezi částkou salda účtu a hlavní knihou. |
ShowTotalAmount - Ne Ano - zobrazí součet bankovních účtů v měně vlastní firmy. |
SortBy - 0 Setřídit podle: 0 - účet bankovního účtu; 1 - zkratka bankovního účtu. |
ZeroBalance - Ne Ano - zobrazí i bankovní s nulovým zůstatkem. |

Pokladní doklady
Pokladní doklad
Číslo procesu:FIN001, EXP010, ZAS015 |
Ident. č. sestavy: SFIN001 |
Soubor: PDO_DOK01.AM |
Popis sestavy: Pokladní doklad (pokud bude parametr "DisplayAssignement" nastaven na hodnotu "Ano", zobrazí i zaúčtování dokladu). Sestava respektuje nastavení ve správě multicompany V evidenčním čísle dokladu zobrazovat K2 číslo. Pokud volba nebude zatržená, při platbě dokladu se zobrazí evidenční číslo dokladu. |
||
Adresa ve stromu: [Finance] [Pokladna] [Tisk dokladů - seznamy] |
||
Parametry sestavy:
BarCode - Ne Ano - zobrazí čárový kód. |
BusinessRegister - 1 Zobrazí se informace o obchodním rejstříku z Nastavení vlastních firem. 0 – nezobrazí informace o obchodním rejstříku, 1 – zobrazí maximálně dvouřádkový text o obchodním rejstříku, 2 – zobrazí maximálně čtyřřádkový text o obchodním rejstříku. |
DisableItemFilter - Ne Vypnout zobrazovací filtr na položkách. |
DisplayAssignement - Ne Ano - zobrazí zaúčtování pokladních dokladů. |
K2Info - Ano Ano - Zobrazí informativní text o dokladu vystaveném systémem K2. |
LogoPictureFooter - 0 Parametr upravuje zobrazení loga patičky. Pokud je parametr prázdný, zobrazí logo podle nastavení parametru Obrázek v patičce ve funkci Správce - Systém - Správa vlastních firem. 0 - nezobrazí se nic, ale místo zůstane volné (pro hlavičkový papír), 1 - žádný obrázek ani prázdné místo. Název souboru s příponou png - konkrétní obrázek v adresáři Pictures dané firmy. |
LogoPictureHeader - Parametr upravuje zobrazení loga hlavičky. Pokud je parametr prázdný, zobrazí logo podle nastavení parametru Obrázek v patičce ve funkci Správce - Systém - Správa vlastních firem. 0 - nezobrazí se nic, ale místo zůstane volné (pro hlavičkový papír), 1 - žádný obrázek ani prázdné místo. Název souboru s příponou png - konkrétní obrázek v adresáři Pictures dané firmy. |
OneAddress - Ne Ano - firma a adresa se na vícepoložkovém dokladu se stejnou firmou zobrazí jen jednou (u první položky). |
OneLineItem - Ne Ano - zobrazí položku do jednoho řádku, Ne - zobrazí rozšířené informace k položce včetně například adresy. |
ShowAccInfo - Ne Ano - zobrazovat středisko, kód zakázky, kód zboží. |
ShowDescription - Ne Ano - zobrazit popis z hlavičky dokladu. |
ShowRate - Ne Ano - zobrazí kurz platby. |
Sign - @Vyst;;; Parametr má 5 pozic: 1. pozice určuje osobu, jejíž podpis se má zobrazit. Může jít o obrázek pojmenovaný dle Logname uživatele, který doklad vystavil (@Vyst) nebo doklad tiskne - tedy dle aktuálního přihlášení (@akt), nebo konkrétní Logname.
Implicitně se bere hodnota zadaná v poli Razítko v Nastavení vlastních firem. Zde se zadá cesta a název souboru. Cestu lze zadat pomocí aliasu. Místo komkrétního názvu souboru lze zadat %s. Obrázek musí být vždy ve formátu xxx.png. Pokud není vyplněno v Nastavení vlastních firem, pak se hledá soubor v adresáři Pictures.
Příklad zadání v poli Razítko v Nastavení vlastních firem: pomocí alias: k2*DEMO\Pictures\razitko.png (hledá se obrázek v cestě mandanta. Soubor razitko.png v adresáři Pictures) pomocí %s: k2*DEMO\Razitka\%s.png (takto zadaná hodnota umožní zobrazit bitmapy s podpisem všem uživatelům, kteří doklady vystavují nebo jsou aktuálně přihlášení a mají soubor ve formátu PNG v adresáři (v tomto případě uživatelem vytvořený adresář Razitka).
2. pozice: výška obrázku. 3. pozice: vzdálenost od levého okraje. 4. pozice: vzdálenost obrázku od horního okraje dané sekce. 5. pozice: šířka obrázku. Příklad: (Sign - @vyst;27;47;0;83) Tiskne podpis uživatele, který doklad vystavil, vysoký 27 bodů, odsazený zleva o 47 bodů, u horního okraje. Obrázek je široký 83 bodů.
Pokud je parametr nastavený na hodnotu 0, pak se razítko nezobrazí. |

Pokladní kniha
Číslo procesu: FIN001 |
Ident. číslo sestavy: SFIN002 |
Soubor: PDO_SEZ01.AM |
Popis sestavy: Po spuštění sestavy se zobrazí vstupní formulář pro zadání "Data od" a "Data do". Na formuláři je možné si zatrhnout zobrazení v měně, částky dokladu se potom zobrazují v měně dokladu i v měně mandanta. Je-li měna pokladny shodná s měnou mandanta, údaje se zobrazují pouze jednou. |
||
Adresa ve stromu: [Finance] [Pokladna] [Tisk dokladů - seznamy] |
||
Parametry sestavy:
FromDate - 0.0.0000 Od data. |
NoInteractive - Ne Ano - nezobrazovat vstupní formulář. |
ShowBothCurrs - Ne Ano - zobrazí obě měny, částky dokladu v měně dokladu i přepočtené na měnu mandanta. |
ShowVarSym - Ano Ano - zobrazí var. symbol; Ne - zobrazí číslo faktury. |
ToDate - 0.0.0000 Do data. |

Pokladní kniha na šířku
Číslo procesu: FIN001 |
Ident. číslo sestavy: SFIN002 |
Soubor: PDO_SEZ02.AM |
Popis sestavy: Po spuštění sestavy se zobrazí vstupní formulář pro zadání "Data od" a "Data do". Na formuláři je možné si zatrhnout zobrazení v měně, částky dokladu se potom zobrazují v měně dokladu i v měně mandanta. Je-li měna pokladny shodná s měnou mandanta, údaje se zobrazují pouze jednou. |
||
Adresa ve stromu: [Finance] [Pokladna] [Tisk dokladů - seznamy] |
||
Parametry sestavy:
FromDate - 0.0.0000 Od data. |
NoInteractive - Ne Ano - nezobrazovat vstupní formulář. |
ShowBothCurrs - Ne Ano - zobrazí obě měny, částky v měně dokladu i částky přepočtené na měnu mandanta. |
ToDate - 0.0.0000 Do data. |

Zůstatky pokladen ke dni
Číslo procesu: FIN001,UCT006 |
Ident. číslo sestavy: SFIN035 |
Soubor: CashBalance.AM |
Popis sestavy: Sestava zobrazí zůstatky pokladen ke zvolenému dni. Po spuštění sestavy se zobrazí vstupní formulář pro zadání "K datu". Na formuláři je možné si zatrhnout zobrazení v měně, částky dokladu se pak zobrazují v měně dokladu i v měně firmy. |
||
Adresa ve stromu: [Finance] [Pokladna] [Tisk dokladů - seznamy] |
||
Parametry sestavy:
AccBooks - U Knihy účetnictví (oddělené středníkem), ze kterých se zůstatek hlavní knihy napočte. |
Account - Ano Ano - pokud je zvoleno setřídění dle zkratky pokladny, zobrazí se účet pokladny. |
BothCurr - Ne Ano - zobrazí obě měny - částky dokladu v měně pokladny i v měně firmy. |
CurrentOwnCompanyAccountingBook - Ne Ano - pokud je v nastavení pro firmy uvedená kniha účetnictví (Správa multi company/Účtování/ Zaúčtovat do knihy), pak se ignoruje hodnota parametru AccBooks - "[U] Knihy účetnictví odděleny středníkem" a zůstatek "Hlavní knihy" se napočte pro tuto účetní knihu. |
DateTo - 0.0.0000 K datu. |
IgnoreBooks - Zkratky knih (oddělené středníkem), které se nemají zobrazit. |
Interactive - Ano Ano - zobrazí vstupní formulář;Ne - nezobrazí vstupní formulář. |
Title - Název sestavy. |
ShowGenLedgerBalance - Ano Ano - u každého účtu pokladny se zobrazí zůstatek na účtu z Hlavní knihy a vyčíslí se rozdíl mezi částkou salda účtu a hlavní knihou. |
ShowTotalAmount - Ne Ano - zobrazí součet pokladen v měně vlastní firmy. |
SortBy - 0 Setřídit podle: 0 - účet pokladny; 1 - zkratka pokladny. |
ZeroBalance - Ne Ano - zobrazí i pokladny s nulovým zůstatkem. |

Inventarizace pokladen
Číslo procesu: FIN001 |
Ident. číslo sestavy: SFIN039 |
Soubor: bankNotes.AM |
Popis sestavy: Inventarizace pokladen. Sestava se tiskne nad pokladním dokladem s provedenou inventurou pokladen (V prewiev pokladního dokladu se zobrazuje malé modré i. . Sestava zobrazí seznam bankovek a mincí k danému datu, která jsou uložená v XML poli nad pokladním dokladem s provedenou inventurou pokladen. |
||
Adresa ve stromu: |
||
Parametry sestavy:

Mincovka
Mincovka
Číslo procesu: FIN001 |
Ident. číslo sestavy: SFIN025 |
Soubor: CASHBRLIST.AM |
Popis sestavy: Mincovka umožní rozpočítat částku do vybraných nominálních hodnot a naopak z počtu bankovek nebo mincí vypočte celkovou částku. Po zadání parametrů Mincovka rozlišuje mince a bankovky, a to jak ve formuláři, tak v sestavě Mincovka. Mincovku můžeme vytvořit také v EUR. |
||
Adresa ve stromu: [Finance] [Pokladna] |
||
Parametry sestavy:
Currency - CZK Umožní zadat kód měny. |
RateOfVAT - N Sazba DPH pro vytvářený pokladní doklad. |
ReceiptForm - Ne Kompletní cesta a název spouštěné sestavy pokladního dokladu |
SeparateCoinsInForm - Ne Ano - ve formuláři oddělí mince od bankovek. |
SeparateCoinsInReport - Ne Ano - v sestavě Mincovka oddělí mince od bankovek. |

Pokladní složenka
Číslo procesu: FIN001 |
Ident. číslo sestavy: SFIN027 |
Soubor: CASHBRLIST2.AM |
Popis sestavy: Sestava se spouští z Mincovky tlačítkem "Pokladní složenka". Jedná se o doklad s předvyplněnými údaji, sloužící ke vkladu příslušné částky na bankovní účet. |
||
Adresa ve stromu: |
||
Parametry sestavy:
Account Účet. |
Bank Banka. |
BankCode Kód banky. |
Clear - Ano Ano - prázdná složenka. |
Currency Měna účtu. |

Saldokonto
Saldokonto podle zákazníků
Číslo procesu: FIN015 |
Ident. číslo sestavy: SCIS143 |
Soubor: OPENITEMLIST_CUSTOMER.AM |
Popis sestavy: Nad knihou Saldokonto zobrazí saldo za firmy a v rámci firem pak za jednotlivé typy dokladů. |
||
Adresa ve stromu: [Finance] [Saldokonto] |
||
Parametry sestavy:
bez parametrů |

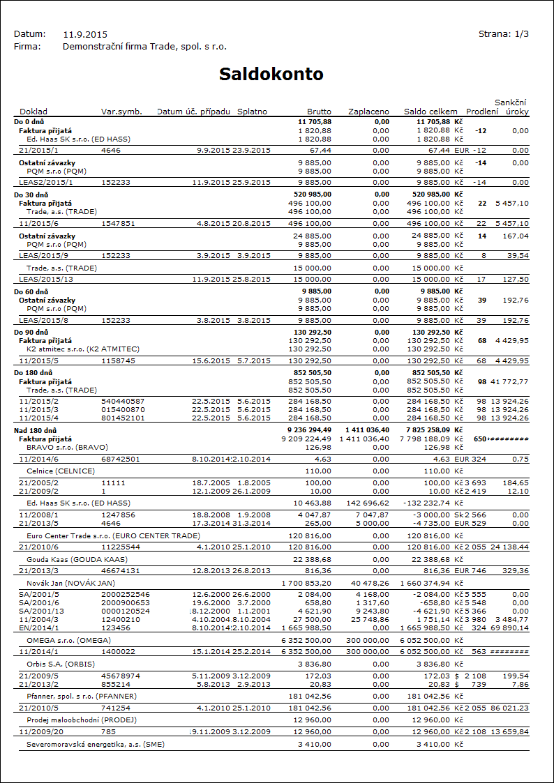
Saldokonto
Saldokonto - základní informace
Saldokonto vyhodnocujeme v modulech Faktury vydané, Faktury přijaté, Zálohy přijaté, Zálohy poskytnuté, Ostatní pohledávky a Ostatní závazky. Buď vyhodnocujeme každý modul zvlášť, nebo formou kombinace těchto modulů. Ve stromovém menu jsou k dispozici různé varianty zobrazení a setřídění saldokontních sestav.
Saldokonto můžeme tisknout:
- ze stromového menu Finance/Saldokonto/Saldokonto výběrem konkrétního setřídění a stisknutím klávesy Enter,
- z F9 nad kterýmkoliv modulem - sestava Saldokonto (OpenItemList.Am), Saldokonto na šířku (OpenItemList_X.Am)

Obr.: Formulář sestavy Saldokonto
Popis polí pro seskupování záznamů:
Kniha |
Setřídí záznamy podle knihy. |
Středisko |
Setřídí záznamy podle střediska. Můžeme si určit, která střediska chceme zobrazovat vyplněním polí od, do. |
Referent |
Setřídí záznamy podle referenta. |
Způsob platby |
Setřídí záznamy podle způsoby platby. |
Stát dod./odb. |
Setřídí záznamy podle státu dodavatele/odběratele. |
Dodavatel/Odběratel |
Setřídí záznamy podle dodavatele/odběratele. Zatrhnutím pole Zobrazovat na nové stránce se bude každý dodavatel/odběratel zobrazovat na zvláštní straně. |
Účet |
Setřídí záznamy podle účtu faktury. |
Lhůty |
Setřídí záznamy podle lhůt. Implicitně jsou nastaveny "0;30;60;90;180" denní lhůta. Můžeme je změnit. |
Měna |
Setřídí záznamy podle měny. |
Dodavatel/Odběratel podle lhůt |
Setřídí záznamy podle lhůt. Ke lhůtám přiřadí všechny doklady s dodavateli a odběrateli vyhovujícími dané lhůtě. |
Popis polí pro zobrazování záznamů:
Faktury vydané |
Zobrazí faktury vydané. |
Faktury přijaté |
Zobrazí faktury přijaté. |
Přijaté zálohy |
Zobrazí zálohy přijaté. |
Poskytnuté zálohy |
Zobrazí zálohy poskytnuté. |
Ostatní pohledávky |
Zobrazí ostatní pohledávky. |
Ostatní závazky |
Zobrazí ostatní závazky. |
Kontejner |
Po zatržení tohoto pole se budou tisknout doklady z kontejneru. |
Filtr |
Po zatržení tohoto pole se budou tisknout doklady z filtru. |
Odběratel Dodavatel |
Zatržením pole určíme, že se budou tisknout doklady pouze toho dodavatele/odběratele, na němž máme v knize (nad kterou spouštíme Saldokonto) pravítko. |
Faktury - detail |
Zobrazí se jednotlivé doklady (pokud není zatrženo, zobrazí se jen sumy za zvolené setřídění). |
Kurz |
U dokladů v cizí měně zobrazí kurz. |
Saldo před a po datu splatnosti |
Zobrazí doklady se saldem ve lhůtě a se saldem po datu splatnosti. |
Platby |
K zaplaceným dokladům zobrazí číslo dokladu, kterým byla platba provedena, datum zaplacení a částku. |
Bank. příkazy považovat za platbu |
Po zatržení tohoto pole se budou do plateb zahrnovat i bankovní příkazy. |
Platební morálka |
Zobrazuje nezaplacené i zaplacené doklady, výši prodlení a sankční úroky. Platební morálka je podrobněji popsána v následující kapitole Platební morálka. |
Zobrazit nadřízeného dod./odb. |
K nadřízenému dodavateli/odběrateli přiřadí doklady patřící podřízenému dodavateli / odběrateli. |
Zobrazit penále a prodlení |
Zobrazí sankční úroky a počet dnů prodlení. |
Popis polí pro nastavení hodnot:
Min. rozdíl |
Je to výše salda (částka, která zbývá zaplatit), od které se doklady budou v sestavě zobrazovat. Skript přepočítává částky dokladů na měnu mandanta. Např. pokud je min. rozdíl „10" (Kč), zobrazí i doklad se saldem 0,40 EUR (v kurzu 1 EUR = 25 Kč). Pokud je minimální rozdíl „0", zobrazí i zcela zaplacené doklady. |
Do data |
Zobrazí saldo do data, které ve formuláři v poli Do data stanovíme. |
Název sestavy |
Zde můžeme nastavit název sestavy. |
Seřadit fakt. podle |
Doklady seřadíme podle data splatnosti, čísla dokladu nebo podle salda. |
Součty zobrazit v měně mandanta |
Součty za jednotlivé dodavatele/odběratele budou zobrazeny v měně mandanta. |
Zobrazit inventarizaci pohledávek a závazků dohromady |
Popsáno v Účetnictví v kapitole Inventarizace závazků a pohledávek. |
Automatický výběr dokladů |
Automaticky se nafiltrují doklady s Datem úč. případu a nezaplacené k zadanému datu a až nad tímto filtrem sestava prochází jednotlivé doklady a jejich platby. Umožní zrychlit zobrazení saldokonta nad velkým množstvím dokladů. Pokud je zatrženo:
|
Firma z fakturační adresy |
Pokud je zapnuto, doklady se seskupí podle firmy, zadané ve fakturační adrese, a v názvu firmy se zobrazí název firmy uvedené ve fakturační adrese dokladu. |
Seskupit podle typu dokladu |
Parametr je implicitně nastavený na hodnotu Ano. Pokud bude mít hodnotu Ne a budou se zobrazovat jen doklady nákupu nebo jen doklady prodeje, nezobrazí se seskupení za typ dokladu. Využití např. při setřídění podle účtu, kdy zobrazím v rámci účtu faktury i ostatní pohledávky. |
Ve formuláři můžeme nastavení parametrů uložit pomocí tlačítka Uložit jako parametry sestavy. Pokud před uložením parametrů sestavy zatrhneme pole Příště nezobrazovat (parametr sestavy NoInteractive = „ANO"), při dalším spuštění se již nebude zobrazovat úvodní formulář a použijí se uložené parametry. Pro opětovné spuštění úvodního formuláře musíme nastavit parametr sestavy NoInteractive na hodnotu „NE" (v záložce Parametry sestavy v F9).
Seznam parametrů saldokonta
AccBooks - U Knihy účetnictví (oddělené středníkem), ze kterých se zůstatek hlavní knihy napočte. |
AllowCancelled - Ano Povolit zpracování stornovaných dokladů. Zobrazí stornované doklady, na kterých je navedená platba. Jedná se o nekorektní stav, který je třeba opravit. |
CompanyByIdNo - Ne Ano - seskupí doklady podle IČ; Ne - seskupí doklady podle názvu dodavatele/odběratele. |
CompanyByInvoiceAddress - Ne Ano - seskupí doklady prodeje podle firmy, zadané ve fakturační adrese, a v názvu firmy se zobrazí název firmy uvedené ve fakturační adrese dokladu; Ne - seskupí doklady podle dodavatele/odběratele. |
CompanyByPage - Ne Ano - každý dod./odb. se zobrazí na nové stránce. |
Contractor - Ne Ano - zobrazí faktury aktivního dodavatele. |
ContractorAdv - Ne Ano - zobrazí poskytnuté zálohy pro aktivního dodavatele. |
ContractorLiability - Ne Ano - zobrazí ostatní závazky pro aktivního dodavatele. |
CostCentreDoc - Ne Ano - třídí doklady podle střediska z hlavičky dokladu; Ne - třídí podle střediska z položky dokladu. |
CostCentreFrom Filtr středisek "od" podle zkratky. |
CostCentreTo Filtr středisek "do" podle zkratky. |
CurrentOwnCompanyAccountingBook - Ne Ano - pokud je v nastavení pro firmy uvedená kniha účetnictví (Správa multi company/Účtování/ Zaúčtovat do knihy), pak se ignoruje hodnota parametru AccBooks - "[U] Knihy účetnictví odděleny středníkem" a zůstatek "Hlavní knihy" se napočte pro tuto účetní knihu. |
Customer - Ne Ano - zobrazí faktury aktuálního odběratele. |
CustomerAdv - Ne Ano - zobrazí zálohy pro aktivního odběratele. |
CustomerReceivable - Ne Ano - zobrazí ostatní pohledávky pro aktivního odběratele. |
CustomerAccTerms - Ne Ano - Seskupí dod./odb. podle termínů. |
Date_From - 0.0.0000 Datum "od" pro Platební morálku, omezení pro platby a faktury a zálohy. |
Date_To - 0.0.0000 Datum "do" - pro Saldo, omezení pro platby a faktury a zálohy. |
FirmCurrency - Ne Ano - zobrazí součty za grupy v měně mandanta. |
GroupByDocumentType - Ano Ne - pokud se budou zobrazovat jen doklady nákupu nebo jen doklady prodeje, nezobrazí se seskupení za typ dokladu. |
IgnoreFieldRight - Ne Ano - ignoruje právo na pole. |
IgnoreInvoiceDay - Ne Ano - ignoruje datum UZP. |
InvoiceIN - Ano Ano - zobrazí faktury přijaté. |
InvoiceIN_F - Ne Ano - spustí se nad kontejnerem faktur přijatých. |
InvoiceIN_S - Ne Ano - spustí se nad filtrem faktur přijatých. |
InvoiceOUT - Ano Ano - zobrazí faktury vydané. |
InvoiceOUT_F - Ne Ano - spustí se nad kontejnerem faktur vydaných. |
InvoiceOUT_S - Ne Ano - spustí se nad filtrem faktur vydaných. |
ItemOrder - 0 Seřadí faktury podle: 0 - data splatnosti; 1 - čísla dokladu; 2 - salda. |
Liability - Ano Ano - zobrazí ostatní závazky. |
Liability_F - Ne Ano - spustí se nad kontejnerem ostatních závazků. |
Liability_S - Ne Ano - spustí se nad filtrem ostatních závazků. |
ListOfTerms - 0;30;60;90;180 Seznam lhůt oddělených ";". |
MinDiff - 0,01 Minimální rozdíl. |
NoInteractive - Ne Ano - nezobrazí se formulář salda; Ne - zobrazí se formulář salda. |
OnlyBrowse - Ne Ano - spustit pouze v prohlížení |
OnlyConfirmed - Ne Ano - zobrazí potvrzené doklady a z nepotvrzených jen ty, na kterých je navedená nějaká platba. Nepotvrzené doklady se zobrazí s Brutto částkou 0. |
OrderByAccount - Ne Ano - setřídění podle účtu. |
OrderByBook - Ne Ano - setřídění podle knihy. |
OrderByCentre - Ne Ano - setřídí podle střediska z položek dokladu. Pokud je položka bez stř., tak se bere stř. z hlavičky dokladu. Hodnota "Ano" nezobrazí platby |
OrderByCompany - Ano Ano - setřídění podle firmy. |
OrderByCurrency - Ano Ano - setřídění podle měny. |
OrderByPayMethod - Ne Ano - setřídění podle způsobu platby. |
OrderByState - Ne Ano - setřídění podle států. |
OrderByTerms - Ne Ano - setřídění podle lhůt. |
Paid - Ne Ano - bankovní příkazy jsou považovány za platbu. |
PaymentMorale - Ne Ano - zobrazí platební morálku. |
ProvidedAdvances - Ano Ano - zobrazí poskytnuté zálohy. |
ProvidedAdvances _F - Ne Ano - spustí se nad kontejnerem záloh poskytnutých. |
ProvidedAdvances_S - Ne Ano - spustí se nad filtrem záloh poskytnutých. |
Receivable - Ano Ano - zobrazí ostatní pohledávky. |
Receivable_F - Ne Ano - spustí se nad kontejnerem ostatních pohledávek. |
Receivable_S - Ne Ano - spustí se nad filtrem ostatních pohledávek. |
ReceivedAdvances - Ano Ano - zobrazí přijaté zálohy. |
ReceivedAdvances_F - Ne Ano - spustí se nad kontejnerem záloh přijatých. |
ReceivedAdvances_S - Ne Ano - spustí se nad filtrem záloh přijatých. |
ReportTitle Název sestavy. |
ShowBalanceBefAft - Ne Ano - zobrazí saldo před a po datu splatnosti. |
ShowCompanyAbbr - Ano Ano - zobrazí zkratku dod./odb.. |
ShowCompanyIDNo - Ne Ano - zobrazí IČ dod./odb.. |
ShowCompanyVATRegNo - Ne Ano - zobrazí DIČ dod./odb.. |
ShowCreditNotes - Ne Ano - zobrazí dobropisy. |
ShowExchangeRate - Ne Ano - zobrazí kurz. |
ShowGenLedgerBalance - Ano Ano - pokud je zapnuto setřídění podle Účtu a současně není zapnuto žádné nadřízené setřídění (tj. Kniha, Středisko, Způsob platby, Stát, Dod/Odb.), u každého účtu se zobrazí zůstatek na účtu z Hlavní knihy a vyčíslí se rozdíl mezi částkou salda účtu a hlavní knihou. |
ShowInvoices - Ano Ano - zobrazí detail faktury a zálohy. |
ShowPayments - Ne Ano - zobrazí platby. |
ShowPenalty - Ano Ano - zobrazí penále a prodlení; Ne - zobrazí Datum UZP a název dod./odb.. |
ShowSuperior - Ne Ano - zobrazí nadřízeného dod./odb.. |
ShowUnpaidInvInTerm - Ano Ano - zobrazí všechny nezaplacené faktury s datem úč. případu od-do data. |
SurveyTogether - Ne Ano - zobrazí závazky a pohledávky dohromady. |
UseExchangeRate2 - Ano Ano - použít kurz 2 (kurzové rozdíly). |
Pro hromadné odeslání emailem je třeba nastavit parametry:
- OrderByCompany - Dodavatel/Odběratel=ANO
- CompanyByPage - Zobrazit na nové stránce=ANO
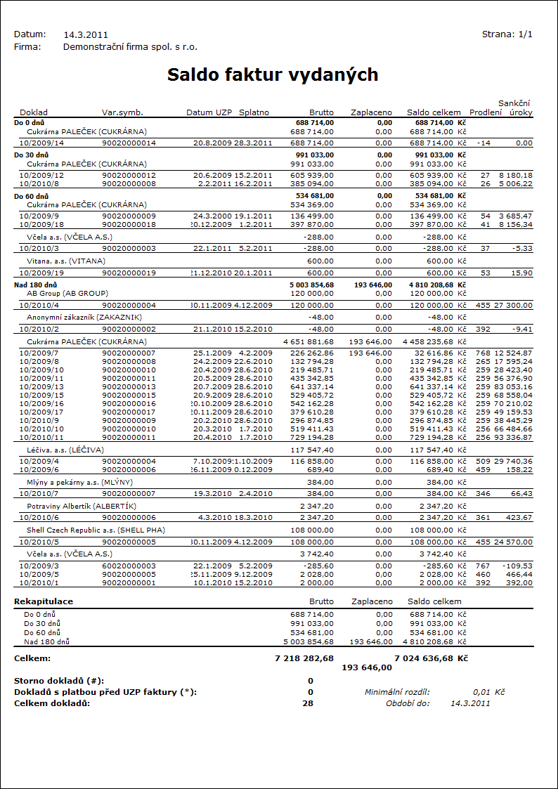
Saldokonto dodavatelů a odběratelů
Číslo procesu: FIN015, CIS003 |
Ident. č. sestavy: SCIS060 |
Soubor: OPENITEMLIST.AM |
Popis sestavy: Seznam nezaplacených faktur, záloh, ostatních pohledávek a závazků seskupený podle firem. U každého dokladu je vyčísleno saldo, prodlení a penále. Za každou firmu je k dispozici celkové saldo. Sestava se spouští s úvodním formulářem pro možnost nastavení parametrů dle potřeby. |
||
Adresa ve stromu: [Finance] [Saldokonto] [Saldokonto] |
||
Parametry sestavy:
Viz parametry sestavy Saldokonto - základní informace.

Saldokonto dodavatelů a odběratelů na šířku
Č. procesu:FIN015 |
Ident. č. sest.: SCIS063 |
Soubor: OPENITEMLIST_X.AM |
Popis sestavy: Seznam nezaplacených faktur, záloh, ostatních pohledávek a závazků seskupený podle firem. U každého dokladu je vyčísleno saldo, prodlení a penále. Za každou firmu je k dispozici celkové saldo. Sestava se spouští s úvodním formulářem pro možnost nastavení parametrů dle potřeby. Sestava je na šířku. |
||
Adresa ve stromu: [Finance] [Saldokonto] [Saldokonto] |
||
Parametry sestavy:
CompanyByIdNo - Ne Ano - seskupí doklady podle IČ; Ne - seskupí doklady podle názvu dodavatele/odběratele. |
CompanyByInvoiceAddress - Ne Ano - seskupí doklady prodeje podle firmy, zadané ve fakturační adrese, a v názvu firmy se zobrazí název firmy uvedené ve fakturační adrese dokladu; Ne - seskupí doklady podle dodavatele/odběratele. |
CompanyByPage - Ne Ano - každý dod./odb. se zobrazí na nové stránce. |
Contractor - Ne Ano - zobrazí faktury aktivního dodavatele. |
ContractorAdv - Ne Ano - zobrazí poskytnuté zálohy pro aktivního dodavatele. |
ContractorLiability - Ne Ano - zobrazí ostatní závazky pro aktivního dodavatele. |
CostCentreDoc - Ne Ano - třídí doklady podle střediska z hlavičky dokladu; Ne - třídí podle střediska z položky dokladu. |
CostCentreFrom Filtr středisek "od" podle zkratky. |
CostCentreTo Filtr středisek "do" podle zkratky. |
Customer - Ne Ano - zobrazí faktury aktuálního odběratele. |
CustomerAdv - Ne Ano - zobrazí přijaté zálohy pro aktivního odběratele. |
CustomerAccTerms - Ne Ano - Seskupí dod./odb. podle termínů. |
CustomerReceivable - Ne Ano - zobrazí ostatní pohledávky pro aktivního odběratele. |
Date_From - 0.0.0000 Datum "od" pro Platební morálku, omezení pro platby a faktury a zálohy. |
Date_To - 0.0.0000 Datum "do" - pro Saldo, omezení pro platby a faktury a zálohy. |
FirmCurrency - Ne Ano - zobrazí součty za grupy v měně mandanta. |
IgnoreFieldRight - Ne Ano - ignoruje právo na pole. |
IgnoreInvoiceDay - Ne Ano - ignoruje datum UZP. |
InvoiceIN - Ano Ano - zobrazí faktury přijaté. |
InvoiceIN_F - Ne Ano - spustí se nad kontejnerem faktur přijatých. |
InvoiceIN_S - Ne Ano - spustí se nad filtrem faktur přijatých. |
InvoiceOUT - Ano Ano - zobrazí faktury vydané. |
InvoiceOUT_F - Ne Ano - spustí se nad kontejnerem faktur vydaných. |
InvoiceOUT_S - Ne Ano - spustí se nad filtrem faktur vydaných. |
ItemOrder - 0 Seřadí faktury podle: 0-data splatnosti; 1-čísla dokladu; 2-salda. |
Liability - Ano Ano - zobrazí ostatní závazky. |
Liability_F - Ne Ano - spustí se nad filtrem ostatních závazků. |
Liability_S - Ne Ano - spustí se nad výběrem ostatních závazků. |
ListOfTerms - 0 (30;60;90;180) Seznam lhůt oddělených ";". |
MinDiff - 0,01 Minimální rozdíl. |
NoInteractive - Ne Ano - nezobrazí se formulář salda; Ne - zobrazí se formulář salda. |
OrderByAccount - Ne Ano - setřídění podle účtu. |
OrderByBook - Ne Ano - setřídění podle knihy. |
OrderByCentre - Ne Ano - setřídí podle střediska z položek dokladu. Pokud je položka bez stř., tak se bere stř. z hlavičky dokladu. Hodnota "Ano" nezobrazí platby |
OrderByCompany - Ano Ano - setřídění podle firmy. |
OrderByCurrency - Ano Ano - setřídění podle měny. |
OrderByPayMethod - Ne Ano - setřídění podle způsobu platby. |
OrderByState - Ne Ano - setřídění podle států. |
OrderByTerms - Ne Ano - setřídění podle lhůt. |
Paid - Ne Ano - bankovní příkazy jsou považovány za platbu. |
PaymentMorale - Ne Ano - zobrazí platební morálku. |
ProvidedAdvances - Ano Ano - zobrazí poskytnuté zálohy. |
ProvidedAdvances _F - Ne Ano - spustí se nad filtrem záloh poskytnutých. |
ProvidedAdvances_S - Ne Ano - spustí se nad výběrem záloh poskytnutých. |
Receivable - Ano Ano - zobrazí ostatní pohledávky. |
Receivable_F - Ne Ano - spustí se nad kontejnerem ostatních pohledávek. |
Receivable_S - Ne Ano - spustí se nad filtrem ostatních pohledávek. |
ReceivedAdvances - Ano Ano - zobrazí přijaté zálohy. |
ReceivedAdvances_F - Ne Ano - spustí se nad kontejnerem záloh přijatých. |
ReceivedAdvances_S - Ne Ano - spustí se nad filtrem záloh přijatých. |
ReportTitle Název sestavy. |
ShowBalanceBefAft - Ne Ano - zobrazí saldo před a po datu splatnosti. |
ShowCompanyAbbr - Ano Ano - zobrazí zkratku dod./odb.. |
ShowCompanyIDNo - Ne Ano - zobrazí IČ dod./odb.. |
ShowCompanyVATRegNo - Ne Ano - zobrazí DIČ dod./odb.. |
ShowCreditNotes - Ne Ano - zobrazí dobropisy. |
ShowExchangeRate - Ne Ano - zobrazí kurz. |
ShowInvoices - Ano Ano - zobrazí detail faktury a zálohy. |
ShowPayments - Ne Ano - zobrazí platby. |
ShowPenalty - Ano Ano - zobrazí penále a prodlení; Ne - zobrazí Datum UZP a název dod./odb.. |
ShowSuperior - Ne Ano - zobrazí nadřízeného dod./odb.. |
ShowUnpaidInvInTerm - Ano Ano - zobrazí nezaplacené faktury s datem splatnosti ve lhůtě. |
SurveyTogether - Ne Ano - zobrazí závazky a pohledávky dohromady. |
UseExchangeRate2 - Ano Ano - použít kurz 2 (kurzové rozdíly). |

Saldokonto - porovnání za období
Č. procesu:FIN015 |
Ident. č. sest.: SCIS139 |
Soubor: OPENITEMLIST_X02.AM |
Popis sestavy: Seznam nezaplacených faktur, záloh, ostatních pohledávek a závazků ke dvěma různým datům a zaplacená částka mezi těmito daty. Ve vstupním formuláři sestavy zadáme Datum od a Datum do. V sestavě se zobrazí Brutto, Zaplaceno k 1. datu, Saldo k 1. datu, Zaplaceno k 2. datu, Saldo k 2. datu. V posledním sloupci se zobrazí částka, zaplacená za vybrané období. Za každou měnu je k dispozici celkové saldo. Sestava je na šířku. |
||
Adresa ve stromu: [Finance] [Saldokonto] [Saldokonto] |
||
Parametry sestavy:
CompanyByIdNo - Ne Ano - seskupí doklady podle IČ; Ne - seskupí doklady podle názvu dodavatele/odběratele. |
CompanyByInvoiceAddress - Ne Ano - seskupí doklady prodeje podle firmy, zadané ve fakturační adrese, a v názvu firmy se zobrazí název firmy uvedené ve fakturační adrese dokladu; Ne - seskupí doklady podle dodavatele/odběratele. |
CompanyByPage - Ne Ano - každý dod./odb. se zobrazí na nové stránce. |
Contractor - Ne Ano - zobrazí faktury aktivního dodavatele. |
ContractorAdv - Ne Ano - zobrazí poskytnuté zálohy pro aktivního dodavatele. |
ContractorLiability - Ne Ano - zobrazí ostatní závazky pro aktivního dodavatele. |
CostCentreDoc - Ne Ano - třídí doklady podle střediska z hlavičky dokladu; Ne - třídí podle střediska z položky dokladu. |
CostCentreFrom Filtr středisek "od" podle zkratky. |
CostCentreTo Filtr středisek "do" podle zkratky. |
Customer - Ne Ano - zobrazí faktury aktuálního odběratele. |
CustomerAdv - Ne Ano - zobrazí přijaté zálohy pro aktivního odběratele. |
CustomerAccTerms - Ne Ano - Seskupí dod./odb. podle termínů. |
CustomerReceivable - Ne Ano - zobrazí ostatní pohledávky pro aktivního odběratele. |
Date_From - 0.0.0000 Datum od - první datum, ke kterému vyhodnocujeme saldo. |
Date_To - 0.0.0000 Datum do - druhé datum, ke kterému vyhodnocujeme saldo. |
FirmCurrency - Ne Ano - zobrazí součty za grupy v měně mandanta. |
IgnoreFieldRight - Ne Ano - ignoruje právo na pole. |
IgnoreInvoiceDay - Ne Ano - ignoruje datum UZP. |
InvoiceIN - Ano Ano - zobrazí faktury přijaté. |
InvoiceIN_F - Ne Ano - spustí se nad kontejnerem faktur přijatých. |
InvoiceIN_S - Ne Ano - spustí se nad filtrem faktur přijatých. |
InvoiceOUT - Ano Ano - zobrazí faktury vydané. |
InvoiceOUT_F - Ne Ano - spustí se nad kontejnerem faktur vydaných. |
InvoiceOUT_S - Ne Ano - spustí se nad filtrem faktur vydaných. |
ItemOrder - 0 Seřadí faktury podle: 0-data splatnosti; 1-čísla dokladu; 2-salda. |
ListOfTerms - 0;30;60;90;180 Seznam lhůt oddělených ";". |
MinDiff - 0,01 Minimální rozdíl. |
NoInteractive - Ne Ano - nezobrazí se formulář salda; Ne - zobrazí se formulář salda. |
OrderByAccount - Ne Ano - setřídění podle účtu. |
OrderByBook - Ne Ano - setřídění podle knihy. |
OrderByCentre - Ne Ano - setřídí podle střediska z položek dokladu. Pokud je položka bez stř., tak se bere stř. z hlavičky dokladu. Hodnota "Ano" nezobrazí platby |
OrderByCompany - Ano Ano - setřídění podle firmy. |
OrderByCurrency - Ano Ano - setřídění podle měny. |
OrderByPayMethod - Ne Ano - setřídění podle způsobu platby. |
OrderByState - Ne Ano - setřídění podle států. |
OrderByTerms - Ne Ano - setřídění podle lhůt. |
Paid - Ne Ano - bankovní příkazy jsou považovány za platbu. |
PaymentMorale - Ne Ano - zobrazí platební morálku. |
ProvidedAdvances - Ano Ano - zobrazí poskytnuté zálohy. |
ProvidedAdvances _F - Ne Ano - spustí se nad kontejnerem záloh poskytnutých. |
ProvidedAdvances_S - Ne Ano - spustí se nad filtrem záloh poskytnutých. |
Receivable - Ano Ano - zobrazí ostatní pohledávky. |
Receivable_F - Ne Ano - spustí se nad filtrem ostatních pohledávek. |
Receivable_S - Ne Ano - spustí se nad výběrem ostatních pohledávek. |
ReceivedAdvances - Ano Ano - zobrazí přijaté zálohy. |
ReceivedAdvances_F - Ne Ano - spustí se nad kontejnerem záloh přijatých. |
ReceivedAdvances_S - Ne Ano - spustí se nad filtrem záloh přijatých. |
ReportTitle Název sestavy. |
ShowBalanceBefAft - Ne Ano - zobrazí saldo před a po datu splatnosti. |
ShowCompanyAbbr - Ano Ano - zobrazí zkratku dod./odb.. |
ShowCompanyIDNo - Ne Ano - zobrazí IČ dod./odb.. |
ShowCompanyVATRegNo - Ne Ano - zobrazí DIČ dod./odb.. |
ShowCreditNotes - Ne Ano - zobrazí dobropisy. |
ShowExchangeRate - Ne Ano - zobrazí kurz. |
ShowInvoices - Ano Ano - zobrazí detail faktury a zálohy. |
ShowPayments - Ne Ano - zobrazí platby. |
ShowPenalty - Ano Ano - zobrazí penále a prodlení; Ne - zobrazí Datum UZP a název dod./odb.. |
ShowSuperior - Ne Ano - zobrazí nadřízeného dod./odb.. |
ShowUnpaidInvInTerm - Ano Ano - zobrazí nezaplacené faktury s datem splatnosti ve lhůtě. |
SurveyTogether - Ne Ano - zobrazí závazky a pohledávky dohromady. |
UseExchangeRate2 - Ano Ano - použít kurz 2 (kurzové rozdíly). |

Saldokonto podle data splatnosti
Č. procesu:FIN015 |
Ident. č. sest.: SCIS142 |
Soubor: OIL_MaturityDay.AM |
Popis sestavy: Seznam nezaplacených dokladů seskupený podle data splatnosti. Po spuštění se zadá Datum splatnosti a minimální rozdíl. U dokladů se zobrazí částky v měně mandanta. |
||
Adresa ve stromu: |
||
Parametry sestavy:
Pozn.: V sestavě nejsou funkční všechny parametry, ale pouze parametry zde uvedené.
CompanyByInvoiceAddress - Ne Ano - v názvu firmy se zobrazí název firmy uvedené ve fakturační adrese dokladu; Ne - zobrazí se dodavatel/odběratel. |
FirmCurrency - Ne Ano - zobrazí součty za grupy v měně mandanta. |
IgnoreFieldRight - Ne Ano - ignoruje právo na pole. |
IgnoreInvoiceDay - Ne Ano - ignoruje datum UZP. |
MinDiff - 0,01 Minimální rozdíl. |
OnlyBrowse - Ne Ano - spustit pouze v prohlížení |
OnlyConfirmed - Ne Ano - zobrazí potvrzené doklady a z nepotvrzených jen ty, na kterých je navedená nějaká platba. Nepotvrzené doklady se zobrazí s Brutto částkou 0. |
ReportTitle Název sestavy. |
ShowCompanyAbbr - Ano Ano - zobrazí zkratku dod./odb.. |
ShowCompanyIDNo - Ne Ano - zobrazí IČ dod./odb.. |
ShowCompanyVATRegNo - Ne Ano - zobrazí DIČ dod./odb.. |
ShowExchangeRate - Ne Ano - zobrazí kurz. |
UseExchangeRate2 - Ano Ano - použít kurz 2 (kurzové rozdíly). |

Saldokonto nákup
Saldo faktur podle dodavatele podrobné
Číslo procesu: FIN015 |
Ident. č. sestavy: SCIS082 |
Soubor: OPENITEMLIST.AM |
|
Popis sestavy: Seznam nezaplacených faktur přijatých seskupených podle dodavatele. U každé faktury je vyčísleno saldo, prodlení a penále. U každého dodavatele je vyčísleno Saldo po splatnosti a Saldo ve lhůtě. U částečně zaplacených faktur jsou zobrazeny platby, u faktur v cizí měně je zobrazen přepočet na Kč. |
|||
Adresa ve stromu: [Finance] [Saldokonto] [Saldokonto nákup] |
|||
Parametry sestavy:
Viz parametry sestavy Saldokonto - základní informace. Odlišně jsou nastaveny tyto parametry:
InvoiceOut - Ne |
Liability - Ne |
OrderByCurrency - Ne |
ProvidedAdvances - Ne |
Receivable - Ne |
ReceivedAdvances - Ne |
ShowalanceBefAft - Ano |
ShowExchangeRate - Ano |
ShowPayments - Ano |

Saldo nákup podle dodavatele podrobné
Číslo procesu: FIN015 |
Ident. č. sestavy: SCIS138 |
Soubor: OPENITEMLIST.AM |
|
Popis sestavy: Seznam nezaplacených faktur přijatých, záloh poskytnutých a ostatních závazků seskupených podle dodavatele. U každého dokladu je vyčísleno saldo, prodlení a penále. U každého dodavatele je vyčísleno Saldo po splatnosti a Saldo ve lhůtě zvlášť pro každý typ dokladu. U částečně zaplacených dokladů jsou zobrazeny platby, u dokladů v cizí měně je zobrazen přepočet na Kč. |
|||
Adresa ve stromu: [Finance] [Saldokonto] [Saldokonto nákup] |
|||
Parametry sestavy:
Viz parametry sestavy Saldokonto - základní informace. Odlišně jsou nastaveny tyto parametry:
InvoiceOut - Ne |
OrderByCurrency - Ne |
Receivable - Ne |
ReceivedAdvances - Ne |
ShowalanceBefAft - Ano |
ShowExchangeRate - Ano |
ShowPayments - Ano |

Saldo faktur podle lhůt a dodavatele
Číslo procesu: FIN015 |
Ident. č. sestavy: SCIS103 |
Soubor: OPENITEMLIST.AM |
Popis sestavy: Seznam nezaplacených faktur přijatých seskupený podle lhůt po splatnosti a podle dodavatele. U každé faktury je vyčísleno saldo, prodlení a penále. Za každou lhůtu a dodavatele je k dispozici celkové saldo. |
||
Adresa ve stromu: [Finance] [Saldokonto] [Saldokonto nákup] |
||
Parametry sestavy:
Viz parametry sestavy Saldokonto - základní informace. Odlišně jsou nastaveny tyto parametry:
CustomerAccTerms - Ano |
InvoiceOut - Ne |
Liability - Ne |
OrderByCurrency - Ne |
OrderByTerms - Ano |
ProvidedAdvances - Ne |
Receivable - Ne |
ReceivedAdvances - Ne |
ShowExchangeRate - Ano |

Saldo nákup podle lhůt
Číslo procesu:FIN015 |
Ident. č. sestavy: SCIS099 |
Soubor: OPENITEMLIST.AM |
Popis sestavy: Sestava obsahuje seznam nezaplacených faktur přijatých, záloh poskytnutých a ostatních závazků seskupený podle lhůt po splatnosti. U každého dokladu je vyčísleno saldo, prodlení a penále. Za každou lhůtu je k dispozici celkové saldo. |
||
Adresa ve stromu: [Finance] [Saldokonto] [Saldokonto nákup] |
||
Parametry sestavy:
Viz parametry sestavy Saldokonto - základní informace. Odlišně jsou nastaveny tyto parametry:
CustomerAccTerms - Ano |
InvoiceOut - Ne |
OrderByCurrency - Ne |
OrderByCompany - Ne |
OrderByTerms - Ano |
Receivable - Ne |
ReceivedAdvances - Ne |

Saldo faktur podle účtu
Číslo procesu:FIN015 |
Ident. č. sestavy: SCIS101 |
Soubor: OPENITEMLIST.AM |
Popis sestavy: Sestava obsahuje seznam nezaplacených faktur přijatých seskupený podle závazkového účtu. U každé faktury je vyčísleno brutto, zaplaceno a saldo. Za každý účet je k dispozici celkové saldo. |
||
Adresa ve stromu: [Finance] [Saldokonto] [Saldokonto nákup] |
||
Parametry sestavy:
Viz parametry sestavy Saldokonto - základní informace. Odlišně jsou nastaveny tyto parametry:
InvoiceOut - Ne |
Liability - Ne |
OrderByAccount - Ano |
OrderByCompany - Ne |
ProvidedAdvances - Ne |
Receivable - Ne |
ReceivedAdvances - Ne |
ShowExchangeRate - Ano |

Platební morálka k dodavatelům
Číslo procesu: FIN015 |
Ident. č. sestavy: SCIS095 |
Soubor: OPENITEMLIST.AM |
Popis sestavy: Sestava zobrazuje platební morálku k jednotlivým dodavatelům za zadané období. Faktury a ostatní závazky jsou seskupeny podle dodavatelů. Za každého dodavatele jsou doklady rozčleněny na zaplacené a nezaplacené před datem splatnosti a nezaplacené po datu splatnosti. Do sestavy je možné zahrnout i zálohy poskytnuté zatržením parametru ProvidedAdvances při spuštění sestavy. |
||
Adresa ve stromu: [Finance] [Saldokonto] [Saldokonto nákup] |
||
Parametry sestavy:
Viz parametry sestavy Saldokonto - základní informace. Odlišně jsou nastaveny tyto parametry:
InvoiceOut - Ne |
OrderByCurrency - Ne |
ProvidedAdvances - Ne |
Receivable - Ne |
ReceivedAdvances - Ne |
ShowBalanceBeAft - Ano |

Saldokonto nákup na šířku
Saldo faktur podle dodavatele podrobné (š)
Číslo procesu: FIN015 |
Ident. č. sestavy: SCIS088 |
Soubor: OPENITEMLIST_X.AM |
|
Popis sestavy: Seznam nezaplacených faktur přijatých seskupených podle dodavatele. U každé faktury je vyčísleno saldo, prodlení a penále. U každého dodavatele je vyčísleno Saldo po splatnosti v jednotlivých lhůtách. U částečně zaplacených faktur jsou zobrazeny platby, u faktur v cizí měně je zobrazen přepočet na Kč. Sestava je na šířku. |
|||
Adresa ve stromu: [Finance] [Saldokonto] [Saldokonto nákup] [Saldokonto nákup_na šířku] |
|||
Parametry sestavy:
Viz parametry sestavy Saldokonto - základní informace. Odlišně jsou nastaveny tyto parametry:
InvoiceOut - Ne |
Liability - Ne |
OrderByCurrency - Ne |
ProvidedAdvances - Ne |
Receivable - Ne |
ReceivedAdvances - Ne |
ShowExchangeRate - Ano |
ShowPayments - Ano |

Saldo nákup podle dodavatele podrobné (š)
Číslo procesu: FIN015 |
Ident. č. sestavy: SCIS136 |
Soubor: OPENITEMLIST_X.AM |
|
Popis sestavy: Seznam nezaplacených faktur přijatých, záloh poskytnutých a ostatních závazků seskupených podle dodavatele. U každého dokladu je vyčísleno saldo, prodlení a penále. U každého dodavatele je vyčísleno Saldo v jednotlivých lhůtách. U částečně zaplacených dokladů jsou zobrazeny platby, u dokladů v cizí měně je zobrazen přepočet na Kč. Sestava je na šířku. |
|||
Adresa ve stromu: [Finance] [Saldokonto] [Saldokonto nákup] [Saldokonto nákup_na šířku] |
|||
Parametry sestavy:
Viz parametry sestavy Saldokonto - základní informace. Odlišně jsou nastaveny tyto parametry:
InvoiceOut - Ne |
OrderByCurrency - Ne |
Receivable - Ne |
ReceivedAdvances - Ne |
ShowalanceBefAft - Ne |
ShowExchangeRate - Ano |
ShowPayments - Ano |

Saldo faktur podle dodavatele a lhůt (š)
Číslo procesu:FIN015 |
Ident. č. sestavy: SCIS105 |
Soubor: OPENITEMLIST_X.AM |
|
Popis sestavy: Seznam nezaplacených faktur přijatých seskupený podle lhůt po splatnosti. U každé faktury je vyčísleno saldo, prodlení a penále. Za každou lhůtu je k dispozici celkové saldo. Sestava je na šířku. |
|||
Adresa ve stromu: [Finance] [Saldokonto] [Saldokonto nákup] [Saldokonto nákup na šířku] |
|||
Parametry sestavy:
Viz parametry sestavy Saldokonto na šířku. Odlišně jsou nastaveny tyto parametry:
InvoiceOut - Ne |
Liability - Ne |
OrderByCurrency - Ne |
ProvidedAdvances - Ne |
Receivable - Ne |
ReceivedAdvances - Ne |
ShowExchangeRate - Ano |

Saldo faktur podle dodavatele podrobné bez lhůt (š)
Číslo procesu: FIN015 |
Identifikační číslo sestavy: SCIS108 |
Soubor: OPENITEMLIST_X01.AM |
Popis sestavy: Seznam nezaplacených přijatých faktur. U každé faktury je vyčísleno saldo, prodlení a penále. U každého dodavatele je vyčísleno Saldo ve splatnosti a Saldo po splatnosti. Sestava je na šířku. |
||
Adresa ve stromu: [Finance] [Saldokonto] [Saldokonto nákup] [Saldokonto nákup na šířku] |
||
Parametry sestavy:
CompanyByIdNo - Ne Ano - seskupí doklady podle IČ; Ne - seskupí doklady podle názvu dodavatele/odběratele. |
CompanyByInvoiceAddress - Ne Ano - seskupí doklady prodeje podle firmy, zadané ve fakturační adrese, a v názvu firmy se zobrazí název firmy uvedené ve fakturační adrese dokladu; Ne - seskupí doklady podle dodavatele/odběratele. |
CompanyByPage - Ne Ano - každý dod./odb. se zobrazí na nové stránce. |
Contractor - Ne Ano - zobrazí faktury aktivního dodavatele. |
ContractorAdv - Ne Ano - zobrazí poskytnuté zálohy pro aktivního dodavatele. |
ContractorLiability - Ne Ano - zobrazí ostatní závazky pro aktivního dodavatele. |
CostCentreDoc - Ne Ano - třídí doklady podle střediska z hlavičky dokladu; Ne - třídí podle střediska z položky dokladu. |
CostCentreFrom Filtr středisek "od" podle zkratky. |
CostCentreTo Filtr středisek "do" podle zkratky. |
Customer - Ne Ano - zobrazí faktury aktuálního odběratele. |
CustomerAdv - Ne Ano - zobrazí přijaté zálohy pro aktivního odběratele. |
CustomerAccTerms - Ne Ano - Seskupí dod./odb. podle termínů. |
Customerreceivable - Ne Ano - zobrazí ostatní pohledávky pro aktivního odběratele. |
Date_From - 0.0.0000 Datum "od" pro Platební morálku, omezení pro platby a faktury a zálohy. |
Date_To - 0.0.0000 Datum "do" - pro Saldo, omezení pro platby a faktury a zálohy. |
FirmCurrency - Ne Ano - zobrazí součty za grupy v měně mandanta. |
IgnoreFieldRight - Ne Ano - ignoruje právo na pole. |
IgnoreInvoiceDay - Ne Ano - ignoruje datum UZP. |
InvoiceIN - Ano Ano - zobrazí faktury přijaté. |
InvoiceIN_F - Ne Ano - spustí se nad filtrem faktur přijatých. |
InvoiceIN_S - Ne Ano - spustí se nad výběrem faktur přijatých. |
InvoiceOUT - Ne Ano - zobrazí faktury vydané. |
InvoiceOUT_F - Ne Ano - spustí se nad filtrem faktur vydaných. |
InvoiceOUT_S - Ne Ano - spustí se nad výběrem faktur vydaných. |
ItemOrder - 0 Seřadí faktury podle: 0 - data splatnosti; 1 - čísla dokladu; 2 - salda. |
Liability - Ano Ano - zobrazí ostatní závazky. |
Liability_F - Ne Ano - spustí se nad filtrem ostatních závazků. |
Liability_S - Ne Ano - spustí se nad výběrem ostatních závazků. |
ListOfTerms - 0;30;60;90;180 Seznam lhůt oddělených ";". |
MinDiff - 0,01 Minimální rozdíl. |
NoInteractive - Ne Ano - nezobrazí se formulář salda; Ne - zobrazí se formulář salda. |
OrderByAccount - Ne Ano - setřídění podle účtu. |
OrderByBook - Ne Ano - setřídění podle knihy. |
OrderByCentre - Ne Ano - setřídí podle střediska z položek dokladu. Pokud je položka bez stř., tak se bere stř. z hlavičky dokladu. Hodnota "Ano" nezobrazí platby |
OrderByCompany - Ano Ano - setřídění podle firmy. |
OrderByCurrency - Ne Ano - setřídění podle měny. |
OrderByPayMethod - Ne Ano - setřídění podle způsobu platby. |
OrderByState - Ne Ano - setřídění podle států. |
OrderByTerms - Ne Ano - setřídění podle lhůt. |
Paid - Ne Ano - bankovní příkazy jsou považovány za platbu. |
PaymentMorale - Ne Ano - zobrazí platební morálku. |
ProvidedAdvances - Ne Ano - zobrazí poskytnuté zálohy. |
ProvidedAdvances _F - Ne Ano - spustí se nad filtrem záloh poskytnutých. |
ProvidedAdvances_S - Ne Ano - spustí se nad výběrem záloh poskytnutých. |
Receivable - Ano Ano - zobrazí ostatní pohledávky. |
Receivable_F - Ne Ano - spustí se nad filtrem ostatních pohledávek. |
Receivable_S - Ne Ano - spustí se nad výběrem ostatních pohledávek. |
ReceivedAdvances - Ano Ano - zobrazí přijaté zálohy. |
ReceivedAdvances_F - Ne Ano - spustí se nad filtrem záloh přijatých. |
ReceivedAdvances_S - Ne Ano - spustí se nad výběrem záloh přijatých. |
ReportTitle Název sestavy. |
ShowBalanceBefAft - Ano Ano - zobrazí saldo před a po datu splatnosti. |
ShowCompanyAbbr - Ano Ano - zobrazí zkratku dod./odb.. |
ShowCompanyIDNo - Ne Ano - zobrazí IČ dod./odb.. |
ShowCompanyVATRegNo - Ne Ano - zobrazí DIČ dod./odb.. |
ShowCreditNotes - Ne Ano - zobrazí dobropisy. |
ShowExchangeRate - Ne Ano - zobrazí kurz. |
ShowInvoices - Ano Ano - zobrazí detail faktury a zálohy. |
ShowPayments - Ne Ano - zobrazí platby. |
ShowPenalty - Ano Ano - zobrazí penále a prodlení; Ne - zobrazí Datum UZP a název dod./odb.. |
ShowSuperior - Ne Ano - zobrazí nadřízeného dod./odb.. |
ShowUnpaidInvInTerm - Ano Ano - zobrazí nezaplacené faktury s datem splatnosti ve lhůtě. |
SurveyTogether - Ne Ano - zobrazí závazky a pohledávky dohromady. |
UseExchangeRate2 - Ano Ano - použít kurz 2 (kurzové rozdíly). |

Saldokonto prodej
Saldo faktur podle zákazníka podrobné
Číslo procesu: FIN015 |
Ident. č. sestavy: SCIS081 |
Soubor: OPENITEMLIST.AM |
|
Popis sestavy: Seznam nezaplacených faktur vydaných seskupených podle zákazníka. U každé faktury je vyčísleno saldo, prodlení a penále. U každého zákazníka je vyčísleno Saldo po splatnosti a Saldo ve lhůtě. U částečně zaplacených faktur jsou zobrazeny platby, u faktur v cizí měně je zobrazen přepočet na Kč. |
|||
Adresa ve stromu: [Finance] [Saldokonto] [Saldokonto prodej] |
|||
Parametry sestavy:
Viz parametry sestavy Saldokonto - základní informace. Odlišně jsou nastaveny tyto parametry:
InvoiceIN - Ne |
Liability - Ne |
OrderByCurrency - Ne |
ProvidedAdvances - Ne |
Receivable - Ne |
ReceivedAdvances - Ne |
ShowalanceBefAft - Ano |
ShowExchangeRate - Ano |
ShowPayments - Ano |

Saldo prodej podle zákazníka podrobné
Číslo procesu: FIN015 |
Ident. č. sestavy: SCIS140 |
Soubor: OPENITEMLIST.AM |
|
Popis sestavy: Seznam nezaplacených faktur vydaných, záloh přijatých a ostatních pohledávek seskupených podle zákazníka. U každého dokladu je vyčísleno saldo, prodlení a penále. U každého zákazníka je vyčísleno Saldo po splatnosti a Saldo ve lhůtě zvlášť pro každý typ dokladu. U částečně zaplacených dokladů jsou zobrazeny platby, u faktur v cizí měně je zobrazen přepočet na Kč. |
|||
Adresa ve stromu: [Finance] [Saldokonto] [Saldokonto prodej] |
|||
Parametry sestavy:
Viz parametry sestavy Saldokonto - základní informace. Odlišně jsou nastaveny tyto parametry:
InvoiceIN - Ne |
Liability - Ne |
OrderByCurrency - Ne |
ProvidedAdvances - Ne |
ShowalanceBefAft - Ano |
ShowExchangeRate - Ano |
ShowPayments - Ano |

Saldo faktur podle lhůt a zákazníka
Číslo procesu: FIN015 |
Ident. č. sestavy: SCIS102 |
Soubor: OPENITEMLIST.AM |
Popis sestavy: Seznam nezaplacených faktur vydaných seskupený podle lhůt po splatnosti a podle zákazníka. U každé faktury je vyčísleno saldo, prodlení a penále. Za každou lhůtu a zákazníka je k dispozici celkové saldo. |
||
Adresa ve stromu: [Finance] [Saldokonto] [Saldokonto prodej] |
||
Parametry sestavy:
Viz parametry sestavy Saldokonto - základní informace. Odlišně jsou nastaveny tyto parametry:
CustomerAccTerms - Ano |
InvoiceIN - Ne |
Liability - Ne |
OrderByCurrency - Ne |
OrderByTerms - Ano |
ProvidedAdvances - Ne |
Receivable - Ne |
ReceivedAdvances - Ne |
ShowExchangeRate - Ano |

Saldo prodej podle lhůt
Číslo procesu:FIN015 |
Ident. č. sestavy: SCIS098 |
Soubor: OPENITEMLIST.AM |
Popis sestavy: Sestava obsahuje seznam nezaplacených faktur vydaných, záloh přijatých a ostatních pohledávek seskupený podle lhůt po splatnosti. U každého dokladu je vyčísleno saldo, prodlení a penále. Za každou lhůtu je k dispozici celkové saldo. |
||
Adresa ve stromu: [Finance] [Saldokonto] [Saldokonto prodej] |
||
Parametry sestavy:
Viz parametry sestavy Saldokonto - základní informace. Odlišně jsou nastaveny tyto parametry:
CustomerAccTerms - Ano |
InvoiceIN - Ne |
Liability - Ne |
OrderByCurrency - Ne |
OrderByCompany - Ne |
OrderByTerms - Ano |
ProvidedAdvances - Ne |

Saldo faktur podle účtu
Číslo procesu:FIN015 |
Ident. č. sestavy: SCIS100 |
Soubor: OPENITEMLIST.AM |
Popis sestavy: Sestava obsahuje seznam nezaplacených faktur vydaných seskupený podle pohledávkového účtu. U každé faktury je vyčísleno brutto, zaplaceno a saldo. Za každý účet je k dispozici celkové saldo. |
||
Adresa ve stromu: [Finance] [Saldokonto] [Saldokonto prodej] |
||
Parametry sestavy:
Viz parametry sestavy Saldokonto - základní informace. Odlišně jsou nastaveny tyto parametry:
InvoiceIN - Ne |
Liability - Ne |
OrderByAccount - Ano |
OrderByCompany - Ne |
ProvidedAdvances - Ne |
Receivable - Ne |
ReceivedAdvances - Ne |
ShowExchangeRate - Ano |

Platební morálka zákazníků
Číslo procesu: FIN015 |
Ident. č. sestavy: SCIS094 |
Soubor: OPENITEMLIST.AM |
Popis sestavy: Sestava zobrazuje platební morálku jednotlivých zákazníků za zadané období. Faktury a ostatní pohledávky jsou seskupeny podle zákazníků. Za každého zákazníka jsou doklady rozčleněny na zaplacené a nezaplacené před datem splatnosti a nezaplacené po datu splatnosti. Do sestavy je možné zahrnout i zálohy přijaté zatržením parametru ReceivedAdvances při spuštění sestavy. |
||
Adresa ve stromu: [Finance] [Saldokonto] [Saldokonto prodej] |
||
Parametry sestavy:
Viz parametry sestavy Saldokonto - základní informace. Odlišně jsou nastaveny tyto parametry:
InvoiceIN - Ne |
Liability - Ne |
OrderByCurrency - Ne |
ProvidedAdvances - Ne |
ReceivedAdvances - Ne |
ShowBalanceBeAft - Ano |

Saldokonto prodej na šířku
Saldo faktur podle zákazníka podrobné (š)
Číslo procesu: FIN015 |
Ident. č. sestavy: SCIS087 |
Soubor: OPENITEMLIST_X.AM |
|
Popis sestavy: Seznam nezaplacených faktur vydaných seskupených podle zákazníka. U každé faktury je vyčísleno saldo, prodlení a penále. U každého zákazníka je vyčísleno Saldo po splatnosti v jednotlivých lhůtách. U částečně zaplacených faktur jsou zobrazeny platby, u faktur v cizí měně je zobrazen přepočet na Kč. Sestava je na šířku. |
|||
Adresa ve stromu: [Finance] [Saldokonto] [Saldokonto prodej] [Saldokonto prodej na šířku] |
|||
Parametry sestavy:
Viz parametry sestavy Saldokonto - základní informace. Odlišně jsou nastaveny tyto parametry:
InvoiceIN - Ne |
Liability - Ne |
OrderByCurrency - Ne |
ProvidedAdvances - Ne |
Receivable - Ne |
ReceivedAdvances - Ne |
ShowalanceBefAft - Ne |
ShowExchangeRate - Ano |
ShowPayments - Ano |

Saldo prodej podle zákazníka podrobné (š)
Číslo procesu: FIN015 |
Ident. č. sestavy: SCIS135 |
Soubor: OPENITEMLIST_X.AM |
|
Popis sestavy: Seznam nezaplacených faktur vydaných, záloh přijatých a ostatních pohledávek seskupených podle zákazníka. U každého dokladu je vyčísleno saldo, prodlení a penále. U každého zákazníka je vyčísleno Saldo v jednotlivých lhůtách. U částečně zaplacených faktur jsou zobrazeny platby, u faktur v cizí měně je zobrazen přepočet na Kč. Sestava je na šířku. |
|||
Adresa ve stromu: [Finance] [Saldokonto] [Saldokonto prodej] [Saldokonto prodej na šířku] |
|||
Parametry sestavy:
Viz parametry sestavy Saldokonto - základní informace. Odlišně jsou nastaveny tyto parametry:
InvoiceIN - Ne |
Liability - Ne |
OrderByCurrency - Ne |
ProvidedAdvances - Ne |
ShowalanceBefAft - Ne |
ShowExchangeRate - Ano |
ShowPayments - Ano |

Saldo faktur podle zákazníka a lhůt (š)
Číslo procesu:FIN015 |
Ident. č. sestavy: SCIS104 |
Soubor: OPENITEMLIST_X.AM |
|
Popis sestavy: Seznam nezaplacených faktur vydaných seskupený podle lhůt po splatnosti. U každé faktury je vyčísleno saldo, prodlení a penále. Za každou lhůtu je k dispozici celkové saldo. Sestava je na šířku. |
|||
Adresa ve stromu: [Finance] [Saldokonto] [Saldokonto prodej] [Saldokonto prodej na šířku] |
|||
Parametry sestavy:
Viz parametry sestavy Saldokonto na šířku. Odlišně jsou nastaveny tyto parametry:
InvoiceIN - Ne |
Liability - Ne |
OrderByCurrency - Ne |
ProvidedAdvances - Ne |
Receivable - Ne |
ReceivedAdvances - Ne |
ShowExchangeRate - Ano |

Saldo faktur podle zákazníka podrobné bez lhůt (š)
Číslo procesu: FIN015 |
Identifikační číslo sestavy: SCIS109 |
Soubor: OPENITEMLIST_X01.AM |
Popis sestavy: Sestava zobrazuje saldo vydaných faktur na šířku. |
||
Adresa ve stromu: [Finance] [Saldokonto] [Saldokonto prodej] [Saldokonto prodej na šířku] |
||
Parametry sestavy:
Viz parametry sestavy Saldo faktur podle dodavatele podrobné bez lhůt (š). Odlišně jsou nastaveny tyto parametry:
InvoiceIN - Ne |
Liability - Ne |
OrderByCurrency - Ne |
ShowBalanceBeAft - Ano |
ProvidedAdvances - Ne |
Receivable - Ne |
ReceivedAdvances - Ne |

Inventarizace pohledávek a závazků
Inventarizace pohledávek
Číslo procesu: UCT026 FIN015 |
Ident. číslo sestavy: SCIS106 |
Soubor: OIL_SURVEY.AM |
Popis sestavy: Inventarizace pohledávek k jednotlivým zákazníkům. |
||
Adresa ve stromu: [Finance] [Saldokonto] [Inventarizace pohledávek a závazků] |
||
Parametry sestavy:
Viz parametry sestavy Inventarizace pohledávek a závazků. Odlišně jsou nastaveny tyto parametry:
InvoiceIN - Ne |
Liability - Ne |
ReceivedAdvances - Ne |

Inventarizace pohledávek a potvrzení o bezdlužnosti
Číslo procesu: UCT026 FIN015 |
Ident. číslo sestavy: SCIS144 |
Soubor: OIL_SURVEY.AM |
Popis sestavy: Inventarizace pohledávek k jednotlivým zákazníkům. Pro zákazníky, kteří k datu inventarizace mají všechny pohledávky zaplaceny, se vytiskne potvrzení o bezdlužnosti. |
||
Adresa ve stromu: [Finance] [Saldokonto] [Inventarizace pohledávek a závazků] |
||
Parametry sestavy:
Viz parametry sestavy Inventarizace pohledávek a závazků. Odlišně jsou nastaveny tyto parametry:
ConfirmNoReceivable_DSC1 - Ano |
InvoiceIN - Ne |
Liability - Ne |
ReceivedAdvances - Ne |

Inventarizace závazků
Číslo procesu: UCT026 FIN015 |
Ident. číslo sestavy: SCIS107 |
Soubor: OIL_SURVEY.AM |
Popis sestavy: Inventarizace závazků k jednotlivým dodavatelům. |
||
Adresa ve stromu: [Finance] [Saldokonto] [Inventarizace pohledávek a závazků] |
||
Parametry sestavy:
Viz parametry sestavy Inventarizace pohledávek a závazků. Odlišně jsou nastaveny tyto parametry:
InvoiceOUT - Ne |
ProvidedAdvances - Ne |
Receivable - Ne |

Inventarizace pohledávek a závazků
Číslo procesu: UCT026,FIN015 |
Ident. číslo sestavy: SCIS129 |
Soubor: OIL_SURVEY.AM |
Popis sestavy: Inventarizace pohledávek a závazků jednotlivých odběratelů/dodavatelů. |
||
Adresa ve stromu: [Finance] [Saldokonto] [Inventarizace pohledávek a závazků] |
||
Parametry sestavy: Popis základních parametrů je uveden u sestavy Saldokonto.
BankContact_DSC1 - Ne Ano - v hlavičce se zobrazí bankovní spojení. |
ConfirmNoReceivable_DSC1 - Ne Ano - pro zákazníky, kteří mají k datu inventarizace zaplaceny všechny pohledávky, se vytiskne potvrzení o bezdlužnosti (současně musí být parametr SurveyTogether = Ne); Ne - potvrzení o bezdlužnosti se nezobrazí. |
CzechLayout_DSC1 - Ano Ano - adresa příjemce se vytiskne vpravo; Ne - adresa příjemce se vytiskne vlevo. |
Date_Closing_DSC1 - 0.0.0000 Datum uzavření. |
DateSending_DSC1 - 0.0.0000 Datum odeslání. |
ExistAddress_DSC1 - Ne Ano - nezobrazovat adresu (je obsažena v logu). |
LogoPictureOnFooter_DSC1 - Footer.wmf Název loga firmy se bude tisknout v patičce sestavy. |
LogoPictureOnHeader_DSC1 - Header.wmf Název loga firmy se bude tisknout v hlavičce sestavy. |
Sign_DSC1 - @Akt;17;13;6;54 Parametr má 5 pozic: 0. pozice nevytiskne obrázek (razítko a podpis). 1. pozice určuje osobu, jejíž podpis se má zobrazit. Může jít o obrázek pojmenovaný dle Logname uživatele, který doklad vystavil (@Vyst) nebo doklad tiskne - tedy dle aktuálního přihlášení (@Akt), nebo konkrétní Logname. Obrázek musí být vždy ve formátu Logname.png a umístěn v adresáři Pictures. 2. pozice: výška obrázku. 3. pozice: vzdálenost od levého okraje. 4. pozice: vzdálenost obrázku od horního okraje dané sekce. 5. pozice: šířka obrázku. Příklad: (Sign - @Akt;17;13;0;54) Tiskne podpis uživatele, který sestavu spustil, vysoký 17 bodů, odsazený zleva o 13 bodů, 6 bodů od horního okraje. Obrázek je široký 54 bodů. |
ShowAdvancesInBrutto - Ne Ano - zobrazí všechny částky záloh v Brutto (Brutto, Čerpáno, Zbývá dočerpat). |
ShowContacts_DSC1 - KU Zkratka dodatku "Kontaktní údaje" z Parametrů mandanta. |
ShowCreditNotes - Zobrazit dobropisy Parametr je v sestavě ignorován, protože je třeba zobrazit všechny závazky a pohledávky včetně opravných daňových dokladů. Parametr ShowCreditNotes je automaticky převzat z předka této sestavy. Nejde ho ze sestavy inventarizace odstranit. |
ShowInEuro_DSC1 - Ne Ano - zobrazí přepočet slovenských korun na euro. |
ShowInfoIssuedBy_DSC1 - Ano Ano - zobrazí údaje o tom, kdo doklad vystavil (telefon, email). |
ShowLogoFooter_DSC1 - Ano Ano - zobrazí logo v patičce sestavy. |
ShowLogoHeader_DSC1 - Ano Ano - zobrazí logo v hlavičce sestavy. |
ShowPenaltyInterests_DSC1 - Ne Ano - zobrazí úrok z prodlení. |
ShowSender_DSC1 - Ano Ano - zobrazí adresu odesílatele v okénku pro obálku; Ne - nezobrazí. |
ShowSign_DSC1 - Ano Ano - zobrazí text "Razítko a podpis"; Ne - nezobrazí. |
ShowStateCode_DSC1 - Ne Ano - zobrazí kód státu. |
SurveyTogether - Ne Ano - zobrazí závazky a pohledávky dohromady. |
Text01_DSC1 Doplňkový text patičky. |
UniversalText_DSC1 - Ano Ano - použít obecný text pro překlad do angličtiny; Ne - Použít doslovný překlad do angličtiny. |
Odlišně jsou nastaveny tyto parametry:
SurveyTogether - Ano |

Inventarizace pohledávek a závazků v knize Saldokonto k datu
Číslo procesu: UCT026 |
Ident. číslo sestavy: SCIS145 |
Soubor: InventoryToDate.AM |
Popis sestavy: Inventarizace pohledávek a závazků. Sestava zobrazí data z knihy Saldokonto k datu zadanému v poli Hodnota k datu. Sestava zobrazí Inventarizaci závazků a Inventarizaci pohledávek k jednotlivým zákazníkům. Je koncipovaná jako dopis. Sestava je alternativou k sestavě Saldokonto - inventarizace (OIL_Survey.AM). |
||
Adresa ve stromu: |
||
Parametry sestavy:
AddFooterText Doplňkový text patičky |
BankAccount - Ne Ano - zobrazí náš bankovní účet z karty zákazníka |
ByRegisterNo - Ne Ano - seskupí doklady podle IČ; Ne - seskupí doklady podle názvu dodavatele/odběratele. |
ByInvoiceAddress - Ne Ano - seskupí doklady prodeje podle firmy, zadané ve fakturační adrese, a v názvu firmy se zobrazí název firmy uvedené ve fakturační adrese dokladu; Ne - seskupí doklady podle dodavatele/odběratele. |
LateCharges - Ne Ano - zobrazí úroky z prodlení |
ReportTitle Název sestavy |
Signature Podpis. 0 - nebude se tisknout, @Vyst - obrázek toho, kdo doklad vystavil, @Akt - kdo je akt. přihlášen. |
ShowAdvancesInBrutto - Ne Ano - zobrazí všechny částky záloh v Brutto (Brutto, Čerpáno, Zbývá dočerpat). |
ShowDelayDaysToDate - Ne Ano - zobrazí prodlení |
ShowLogoFooter - Ano Zobrazí logo v patičce. |
ShowLogoHeader - Ano Zobrazí logo v hlavičce. |
SurveyTogether - Ne Ano, nerozděluje tisk zvlášť závazků a zvlášť pohledávek, ale vytiskne nadpis Inventarizace pohledávek a závazků k datu |
Podokno náhledu - Platební morálka
Číslo procesu: FIN015 |
Ident. číslo sestavy: SSPR019 |
Soubor: SUB_OPENITEMLIST.AM |
Popis sestavy: Sestava pro podokno náhledu. Saldokonto faktur přijatých a faktur vydaných. |
||
Adresa ve stromu: - |
||
Parametry sestavy:
CustomerAccTerms - Ne Ano - seskupí dod/odb podle termínů. |
Date_From - 0.0.0000 Datum od - pro Platební morálku omezení pro platby a faktury. |
Date_To - 0.0.0000 Datum do - pro Saldo omezení pro platby a faktury. |
InvoiceIN - Ano Ano - zobrazí faktury přijaté. |
InvoiceOUT - Ano Ano - zobrazí faktury vydané. |
ListOfTerms - 0;30;60;90;180 Seznam lhůt oddělených ";". |
MinDiff - 0,01 Minimální rozdíl. |
NoInteractive - Ano Ne - zobrazí se formulář salda, Ano - nezobrazí se formulář salda. |
OrderByAccount - Ne Ano - setřídění podle účtu. |
OrderByCompany - Ano Ano - setřídění podle firmy. |
OrderByCurrency - Ano Ano - setřídění podle měny. |
OrderByDocNo - Ne Ano - seskupí podle dokladů, Ne - podle data splatnosti. |
OrderByTerms - Ano Ano - setřídění podle lhůt. |
Paid - Ne Ano - nebere příkazy od uhrazeno k datu. |
PaymentMorale - Ano Ano - platební morálka. |
ReportTitle Název sestavy. |
ShowBalanceBefAft - Ne Ano - zobrazí saldo před a po datu splatnosti. |
ShowCreditNotes - Ano Ano - zobrazí dobropisy. |
ShowExchangeRate - Ne Ano - zobrazí kurz. |
ShowInvoices - Ano Ano - zobrazí faktury. |
ShowPayments - Ne Ano - zobrazí platby. |
ShowSuperior - Ne Ano - zobrazí nadřízeného dod./odb. |
ShowUnpaidInvInTerm - Ano Ano - zobrazí nezaplacené faktury s datem splatnosti ve lhůtě. |

Zápočet
Zápočet - Náhled
Číslo procesu: FIN006 |
Ident. č. sestavy: SCIS013 |
Soubor: OFFSET.AM |
Popis sestavy: Dohoda o vzájemném zápočtu pohledávek a závazků. Sestavu lze spustit z modulu Zápočet nebo nad bankovními příkazy a nad bankovními výpisy. |
||
Adresa ve stromu: [Finance] [Banka] [Tisk dokladů - seznamy] |
||
Parametry sestavy:
AdditionalParagraph Text přídavného odstavce. |
AddressShift - 0 Pomocí parametru lze posunout adresu dolů. |
CompanyByInvoiceAddress - Ne Ano - v sestavě se zobrazí fakturační adresa, zadaná na kartě Dod./Odb. (musí být označena hvězdičkou). |
CurrencyOfPaidDocs Ano - vytiskne celkové součty v měně dokladů. |
CustomersCityAndZip Město a PSČ zákazníka. |
CustomersDIC DIČ zákazníka. |
CustomerICO IČO zákazníka. |
CustomerNumber Číslo zákazníka. |
CustomerStreet Ulice zákazníka. |
Date - 0.0.0000 Datum. |
DefaultExport - Ne Ano - původní export e-mailem; Ne - nový způsob exportu e-mailem. |
Difference - 0 Rozdíl. |
HeplText Pomocný text. |
HideParagraph4 - Ne Ano - umožňuje skrýt 4. odstavec při tisku návrhu zápočtu. |
LangAccordToParams - Ne Pokud se má sestava tisknout v jazyce nastaveném v parametru "jazyk polí" a "jazyk reportu", pak je nutné nastavit hodnotu parametru na "Ano". |
LogoPictureHeader - Logo pro hlavičku. Nevyplněno - zobrazí se logo firmy ze správy multi company; 0 - Místo pro logo bude prázdné; 1 - Nezobrazí ani místo pro logo; lze zadat název obrázku *.png - obrázek musí být umístěn v adresáři PICTURES ve firemním adresáři K2. |
MarkDifference - Ne Ano - označí rozdíl. |
OffsetBook - ZA Kniha zápočtu. |
OffsetByIco - Ne Ano - do zápočtu se zahrnou doklady firem se stejným IČ. |
OneSideOffset - Ne Ano - jednostranný zápočet. |
ReportTitle Alternativní nadpis sestavy. |
ShowOffsetID - Ano Ano - zobrazí číslo zápočtu. |
ShowSuperiorName - Ne Ano - zobrazí jméno a adresu nadřízeného dodavatele (Centrály) místo pobočky. |
ShowBarCode - Ne Ano - zobrazí čárový kód. |
Sign - @Vyst;;; Parametr má 5 pozic: 1. pozice určuje osobu, jejíž podpis se má zobrazit. Může jít o obrázek pojmenovaný dle Logname uživatele, který doklad vystavil (@Vyst) nebo doklad tiskne - tedy dle aktuálního přihlášení (@akt), nebo konkrétní Logname.
Implicitně se bere hodnota zadaná v poli Razítko v Nastavení multi company. Zde se zadá cesta a název souboru. Cestu lze zadat pomocí aliasu. Místo konkrétního názvu souboru lze zadat %s. Obrázek musí být vždy ve formátu xxx.png. Pokud není vyplněno v Nastavení multi company, pak se hledá soubor v adresáři Pictures.
Příklad zadání v poli Razítko v Nastavení multi company: pomocí alias: k2*DEMO\Pictures\razitko.png (hledá se obrázek v cestě mandanta. Soubor razitko.png v adresáři Pictures) pomocí %s: k2*DEMO\Razitka\%s.png (takto zadaná hodnota umožní zobrazit bitmapy s podpisem všem uživatelům, kteří doklady vystavují nebo jsou aktuálně přihlášení a mají soubor ve formátu PNG v adresáři (v tomto případě uživatelem vytvořený adresář Razitka).
2. pozice: výška obrázku. 3. pozice: vzdálenost od levého okraje. 4. pozice: vzdálenost obrázku od horního okraje dané sekce. 5. pozice: šířka obrázku. Příklad: (Sign - @vyst;27;47;0;83) Tiskne podpis uživatele, který doklad vystavil, vysoký 27 bodů, odsazený zleva o 47 bodů, u horního okraje. Obrázek je široký 83 bodů.
Pokud je parametr nastavený na hodnotu 0, pak se razítko nezobrazí. |
UserInfoVisible - Ne Ano - zobrazí informace o uživateli. |
UserText4 UserText4. Pokud má hodnotu "0", nezobrazí se poslední část textu závěrečného odstavce (do kolika dnů má být uhrazen rozdíl). |

Jednostranný zápočet
Číslo procesu: FIN006 |
Ident. č. sestavy: SCIS013 |
Soubor: OFFSET.AM |
Popis sestavy: Oznámení o zápočtu pohledávek a závazků. Sestavu lze spustit nad bankovními příkazy i nad bankovními výpisy. |
||
Adresa ve stromu: [Finance] [Banka] [Tisk dokladů - seznamy] |
||
Parametry sestavy:
Viz parametry sestavy Zápočet - Náhled. Odlišně jsou nastaveny tyto parametry:
OneSideOffset - Ano |

Zápočet - Seznam závazků a pohledávek
Číslo procesu: FIN006 |
Ident. č. sestavy: SCIS135 |
Soubor: OFFSETLD.AM |
Popis sestavy: Zápočet - Seznam závazků a pohledávek. Sestavu lze spustit ze vstupního formuláře funkce Zápočet stiskem tlačítka Tisk faktur. |
||
Adresa ve stromu: [Finance] [Banka] [Tisk dokladů - seznamy] |
||
Parametry sestavy:
AllowCancelled Povolit zpracování stornovaných dokladů. |
CurrentRecord Zpracovat aktuální záznam. |
EvaluationFilter Zpracovat záznamy z filtru. |
IgnoreFieldRight Ignorovat právo na pole. |
IgnoreSelection Zpracovat záznamy bez ohledu na výběr. |
OffsetByIco - Ne Ano - do zápočtu se zahrnou doklady firem se stejným IČ. |
OnlyBrowse Spustit pouze v prohlížení. |
OnlyConfirmed Zpracovat pouze potvrzené doklady. |
OnlyRecWithRight Zpracovat pouze záznamy, na které má uživatel právo. |
WholeTable Zpracovat záznamy celé tabulky. |

Skonto
Skonto - Opravný daňový doklad
Číslo procesu:FIN007 |
Ident. č. sestavy: SFIN034 |
Soubor: INT_DOC03.AM |
Popis sestavy: Skonto - Opravný daňový doklad tiskne korekční interní doklady vytvořené funkcemi Uplatnění skonta - prodej a Uplatnění skonta - nákup. Sestava se dá vytisknout pouze nad interním dokladem, který má zatržen příznak Skonto a není platbou faktury. |
||
Adresa ve stromu: [Finance] [Skonto] |
||
Parametry sestavy:
Assignement - Ne Ano - zobrazí zaúčtování dokladů (údaje ze záložky Účtování interního dokladu). |
Axes - Ne Ano - Zobrazí podpůrné analytiky (středisko, kód zakázky, zboží, kód1 a 2, Referenta, Zákazník, Párovací s.), pokud jsou zadané. |
BusinessRegister - Ano Ano - zobrazí obchodní rejstřík. |
CodeOfCurrency - Ne Ano - Ano - Zobrazí kód měny (např. USD). Ne - zobrazí značku měny (např. $). |
Contacts - 1;Addr;TaxNum;Tel1;Fax1;Email1;WWW Parametr má celkem 10 pozic, pevně stanovené jsou první tři: 1. pozice: uživatel, jehož kontakty z karty uživatele (telefon, mobil, fax, email) se tisknou. Možnosti: 0 - žádné uživatelské kontakty, 1 - uživatel, který doklad vystavil, 2 - aktuálně přihlášený uživatel - který doklad tiskne. 2. pozice: "Addr" - je-li zadáno, pak se zobrazí adresa firmy. 3. pozice: "TaxNum" - je-li zadáno, pak se zobrazí IČO a DIČ. 4. - 10. pozice: vyjmenované typy elektronických adres firmy (tzn. může jich být až 7). Příklad: (Contacts - 1;Addr;;TEL1;FAX1;WWW1): Zobrazí se Adresa firmy, pod ní kontakty z karty uživatele, který doklad vystavil, (daňová čísla jsou vynechána prázdným stringem 3. pozici) následují elektronické adresy s typem Tel1, Fax1, WWW1. Pozn.: Je-li některý z údajů potlačen, nezůstává volné místo. Nicméně Výchozí pořadí v sestavě je vždy: adresa, daňová čísla, kontakty uživatele, zadané elektronické adresy firmy. |
LogoPictureFooter - 0 Parametr upravuje zobrazení loga patičky. Pokud je parametr prázdný, zobrazí logo podle nastavení parametru Obrázek v patičce ve funkci Správce - nastavení multi company. 0 - nezobrazí se nic, ale místo zůstane volné (pro hlavičkový papír), 1 - žádný obrázek ani prázdné místo. Název souboru s příponou png - konkrétní obrázek v adresáři Pictures dané firmy. |
LogoPictureHeader - Parametr upravuje zobrazení loga hlavičky. Pokud je parametr prázdný, zobrazí logo podle nastavení parametru Obrázek v hlavičce ve funkci Správce - nastavení multi company. 0 - nezobrazí se nic, ale místo zůstane volné (pro hlavičkový papír), 1 - žádný obrázek ani prázdné místo. Název souboru s příponou png - konkrétní obrázek v adresáři Pictures dané firmy. |
OwnCurrency - 0 Na dokladech v cizí měně: 0 - zobrazí částky jen v měně dokladu, 1 - zobrazí jen kurz, 2 - zobrazí daňovou rekapitulaci přepočtenou na měnu firmy, 3 - zobrazí přepočet daňové rekapitulace i kurs přepočtu. |
Sign - @Vyst;;; Parametr má 5 pozic: 1. pozice určuje osobu, jejíž podpis se má zobrazit. Může jít o obrázek pojmenovaný dle Logname uživatele, který doklad vystavil (@Vyst) nebo doklad tiskne - tedy dle aktuálního přihlášení (@akt), nebo konkrétní Logname.
Implicitně se bere hodnota zadaná v poli Razítko v Nastavení multi company. Zde se zadá cesta a název souboru. Cestu lze zadat pomocí aliasu. Místo konkrétního názvu souboru lze zadat %s. Obrázek musí být vždy ve formátu xxx.png. Pokud není vyplněno v Nastavení multi company, pak se hledá soubor v adresáři Pictures.
Příklad zadání v poli Razítko v Nastavení multi company: pomocí alias: k2*DEMO\Pictures\razitko.png (hledá se obrázek v cestě mandanta. Soubor razitko.png v adresáři Pictures) pomocí %s: k2*DEMO\Razitka\%s.png (takto zadaná hodnota umožní zobrazit bitmapy s podpisem všem uživatelům, kteří doklady vystavují nebo jsou aktuálně přihlášení a mají soubor ve formátu PNG v adresáři (v tomto případě uživatelem vytvořený adresář Razitka).
2. pozice: výška obrázku. 3. pozice: vzdálenost od levého okraje. 4. pozice: vzdálenost obrázku od horního okraje dané sekce. 5. pozice: šířka obrázku. Příklad: (Sign - @vyst;27;47;0;83) Tiskne podpis uživatele, který doklad vystavil, vysoký 27 bodů, odsazený zleva o 47 bodů, u horního okraje. Obrázek je široký 83 bodů.
Pokud je parametr nastavený na hodnotu 0, pak se razítko nezobrazí. |
TaxCreditNoteConfirmation - Ne Ano - vytiskne se potvrzení o převzetí opravného daňového dokladu. |
Title - Vyplněná hodnota parametru se zobrazí jako titul sestavy. Pokud není parametr vyplněn, zobrazí se původní název dokladu. |
VatDate - Ano Ano - Zobrazí v položkách Datum UZP; Ne - Datum UZP se nezobrazí. |

Řízení financí
Řízení financí
Číslo procesu: |
Ident. číslo sestavy: SFIN033 |
Soubor:FinancialManagement.AM |
Popis sestavy: Sestava je spustitelná nad knihou Řízení financí. Implicitně vytiskne zobrazení knihy Řízení financí podle data platby. Parametrem SortBy lze zobrazit také podle rozdílu, firmy, měny nebo bankovního účtu. |
||
Adresa ve stromu: Finance - Řízení financí - Tisk Řízení financí |
||
Parametry sestavy:
SortBy -0 Setřídit podle: 0 – Data platby, 1 – Prodlení, 2 – Rozdílu, 3 – Firmy, 4 – Měny, 5 – Bankovního účtu. |
ShowDocuments - Ne Ano - zobrazí doklady. |


Upomínky
Upomínky
Číslo procesu: EXP011 |
Ident. číslo sestavy: SFIN033 |
Soubor:REM_DOC01.AM |
Popis sestavy: Sestava je spustitelná nad knihou Upomínky. Je možný hromadný export do „*.pdf" a rozesílání emailem. |
||
Adresa ve stromu: Finance - Upomínky - Tisk upomínky |
||
Parametry sestavy:
AddressFromCustomer - Ne Ano - zobrazí se adresa z karty zákazníka (Zobrazí se korespondenční adresa - pokud je zadaná a označená hvězdičkou jako výchozí, jinak se zobrazí výchozí fakturační adresa zákazníka. Pokud ani tato není zadána, pak se zobrazí adresa zákazníka.), Ne - adresa se zobrazí z první faktury vydané na upomínce (korespondenční adresa, pokud není zadaná vytiskne se fakturační adresa, pokud není zadaná vytiskne se adresa zákazníka. Jednoduché adresy nejsou řešeny, tzn. adresy se vytisknout ve výše zmíněném sledu, pokud jsou zadány výběrem zákazníka.). |
BarCode - Ne Ano - zobrazí se čárový kód. |
BusinessRegister - 1 Zobrazí se informace o obchodním rejstříku z Nastavení multi company. 0 – nezobrazí informace o obchodním rejstříku, 1 – zobrazí maximálně dvouřádkový text o obchodním rejstříku, 2 – zobrazí maximálně čtyřřádkový text o obchodním rejstříku. |
Contacts - 1;Addr;TaxNum;Tel1;Fax1;Email1;WWW Parametr má celkem 10 pozic, pevně stanovené jsou první tři: 1. pozice: uživatel, jehož kontakty z karty uživatele (telefon, mobil, fax, email) se tisknou. Možnosti: 0 - žádné uživatelské kontakty, 1 - uživatel, který doklad vystavil, 2 - aktuálně přihlášený uživatel - který doklad tiskne. 2. pozice: "Addr" - je-li zadáno, pak se zobrazí adresa firmy. 3. pozice: "TaxNum" - je-li zadáno, pak se zobrazí IČO a DIČ. 4. - 10. pozice: vyjmenované typy elektronických adres firmy (tzn. může jich být až 7). Příklad: (Contacts - 1;Addr;;TEL1;FAX1;WWW1): Zobrazí se Adresa firmy, pod ní kontakty z karty uživatele, který doklad vystavil, (daňová čísla jsou vynechána prázdným stringem 3. pozici) následují elektronické adresy s typem Tel1, Fax1, WWW1. |
ChooseBankContact Zkratka našeho bankovního účtu, který se zobrazí na upomínce. Pokud je parametr zadán, nebere se v úvahu nastavení parametru ShowBankContacts. |
LangAccordtoParams - Ne Pokud se má sestava tisknout v jazyce nastaveném v parametru "jazyk polí" a "jazyk reportu", pak je nutné nastavit hodnotu parametru na "Ano". |
LateCharges - Ne Ano - zobrazí sloupec úrok z prodlení. |
LeftEnvelopeWindow - Ne Ano - adresa odběratele se tiskne vpravo (určeno pro zasílání dokladů poštou v zahraničí, kde je okénko pro obálku vlevo); Ne - adresa odběratele vlevo. |
LogoPictureFooter - Footer.wmf Název souboru zobrazující logo patičky. |
LogoPictureHeader - Header.wmf Název souboru zobrazující logo hlavičky. |
ShowBankContacts - Ano Ano - zobrazí náš bankovní účet z Karty Dod./Odb. Ne - zobrazí náš bankovní účet z prvního dokladu v upomínce. |
ShowExchangeRate - Ne Ano - zobrazí kurz. |
ShowICAndDIC - Ne Ano - zobrazí IČO a DIČ odběratele. |
ShowInfoIssuedBy - Ano Ano - zobrazí údaje k tomu, kdo vystavil (tel., email,..). |
Sign - @Vyst;;; Parametr má 5 pozic: 1. pozice určuje osobu, jejíž podpis se má zobrazit. Může jít o obrázek pojmenovaný dle Logname uživatele, který doklad vystavil (@Vyst) nebo doklad tiskne - tedy dle aktuálního přihlášení (@akt), nebo konkrétní Logname.
Implicitně se bere hodnota zadaná v poli Razítko v Nastavení multi company. Zde se zadá cesta a název souboru. Cestu lze zadat pomocí aliasu. Místo komkrétního názvu souboru lze zadat %s. Obrázek musí být vždy ve formátu xxx.png. Pokud není vyplněno v Nastavení multi company, pak se hledá soubor v adresáři Pictures.
Příklad zadání v poli Razítko v Nastavení multi company: pomocí alias: k2*DEMO\Pictures\razitko.png (hledá se obrázek v cestě mandanta. Soubor razitko.png v adresáři Pictures) pomocí %s: k2*DEMO\Razitka\%s.png (takto zadaná hodnota umožní zobrazit bitmapy s podpisem všem uživatelům, kteří doklady vystavují nebo jsou aktuálně přihlášení a mají soubor ve formátu PNG v adresáři (v tomto případě uživatelem vytvořený adresář Razitka).
2. pozice: výška obrázku. 3. pozice: vzdálenost od levého okraje. 4. pozice: vzdálenost obrázku od horního okraje dané sekce. 5. pozice: šířka obrázku. Příklad: (Sign - @vyst;27;47;0;83) Tiskne podpis uživatele, který doklad vystavil, vysoký 27 bodů, odsazený zleva o 47 bodů, u horního okraje. Obrázek je široký 83 bodů.
Pokud je parametr nastavený na hodnotu 0, pak se razítko nezobrazí. |
SupplEnterText Zkratka dodatku pro úvodní text. Pokud je zadána, zobrazí se v úvodním odstavci text tohoto dodatku. |
SupplCloseText Zkratka dodatku pro závěrečný text. Pokud je zadána, zobrazí se v závěrečném odstavci text tohoto dodatku. |
Term - Ano Lhůta ve dnech, do které má být provedena platba. |
TextBody Text na konci sestavy. |

Penalizace
Penalizační faktura
Číslo procesu: EXP012 |
Ident. č. sestavy: SZAK024 |
Soubor: FAV_PEN3.AM |
Popis sestavy: Penalizační faktura se seznamem faktur, za které se fakturují úroky z prodlení. |
||
Adresa ve stromu: |
||
Parametry sestavy:
CzechLayout - Ano Ne - nezobrazí adresu odesílatele v okénku pro obálku; Ano - adresa odběratele se tiskne vpravo; Ne - adresa odběratele se tiskne vlevo. |
ExistAddress - Ne Ano - dodavatelská adresa je součástí loga (hlavičkového papíru), proto se nezobrazí; Ne - dodavatelská adresa není součásti loga, proto se zobrazí. |
ExistBankContacts - Ne Ano - bankovní kontakt je součásti loga (hlavičkového papíru), proto se nezobrazí; Ne - bankovní kontakt není součásti loga, proto se zobrazí. |
ExistICOandDIC - Ne Ano - IČO A DIČ je součásti loga (hlavičkového papíru), proto se nezobrazí; Ne - IČO A DIČ není součásti loga, proto se zobrazí. |
ExistOR - Ano Ano - informace o obch. rejstříku je součásti loga (hlav. papíru), proto se nezobrazí; Ne - informace o obch. rejstříku není součásti loga, proto se zobrazí. |
ExistTelFax - Ne Ano - telefon a fax je součásti loga (hlav. papíru), proto se nezobrazí; Ne - telefon a fax není součásti loga, proto se zobrazí. |
LogoPictureFooter - Footer.wmf Název souboru zobrazující logo patičky. |
LogoPictureHeader - Header.wmf Název souboru zobrazující logo hlavičky. |
NumberOfDays - 0 Používá se při tisku speciální penalizační faktury, lze zde nastavit počet dnů k uhrazení. |
ProportionalFont - Ne Ano - dodatky se tisknou fontem typu Verdana; Ne - dodatky se tisknou fontem Courier New. |
Recipient - Ne Parametr ovlivňuje, jaký adresát se zobrazí na sestavě. Pokud je hodnota parametru Ano a existuje adresát, pak má přednost a zobrazí se na sestavě. Pokud neexistuje, zobrazí se odběratel z faktury. Při hodnotě Ne se vždy bere odběratel z faktury. |
ShowBankContacts - KB Zobrazí bankovní kontakty z parametru mandanta. |
ShowBarCode - Ano Ano - zobrazí čárový kód; Ne - nezobrazí. |
ShowContacts - KU Zkratka dodatku zobrazující další kontaktní údaje z Parametrů mandanta. |
ShowDraftLabel - Ne Ano - v sestavě zobrazí "NÁVRH", pokud je doklad nepotvrzený; Ne - "NÁVRH" se nezobrazí. |
ShowLogoFooter - Ano Ano - zobrazí logo v patičce. |
ShowLogoHeader - Ano Ano - zobrazí logo v hlavičce. |
ShowNumberOfCustomer - Ano Ano - zobrazí zkratku odběratele. |
ShowRate - Ne Ano - zobrazí řádek s přepočtem a kurzem. |
ShowSender - Ano Ano - zobrazí adresu odesílatele v okénku pro obálku; Ne - nezobrazí adresu odesílatele v okénku pro obálku. |
